Beamforming for Multi-Bit Intelligent Reflecting Surface with Phase Shift-Dependent Power Consumption Model
Abstract
1. Introduction
- In the single-user scenario, we consider a practical PS-DPC model and formulate a multi-bit IRS beamforming optimization problem to minimize the total system power consumption. The proposed PS-DPC model for the multi-bit IRS is better suited to the actual IRS-aided systems, in which the problem formulation and beamforming optimization are more challenging than the 1-bit IRS scenario. To deal with the difficulty of the implicit and nonlinear relationship between the PS-DPC and the phase shifts, we introduce a selection matrix to explicitly represent the PS-DPC and the phase shift matrix, respectively, and then propose a generalized Benders decomposition (GBD)-based algorithm to solve this mixed-integer nonlinear programming (MINLP) problem.
- We generalize the multi-bit IRS beamforming optimization problem to the multi-user scenario. We also solve the intractable implicit and nonlinear issue by explicitly representing the PS-DPC and the phase shift matrix, respectively. Then, we propose a coordinate descent (CD)-based algorithm and a genetic algorithm (GA)-based scheme to optimize the beamforming matrix of the BS and IRS, respectively. The CD algorithm has better performance, while the genetic algorithm has lower computational complexity.
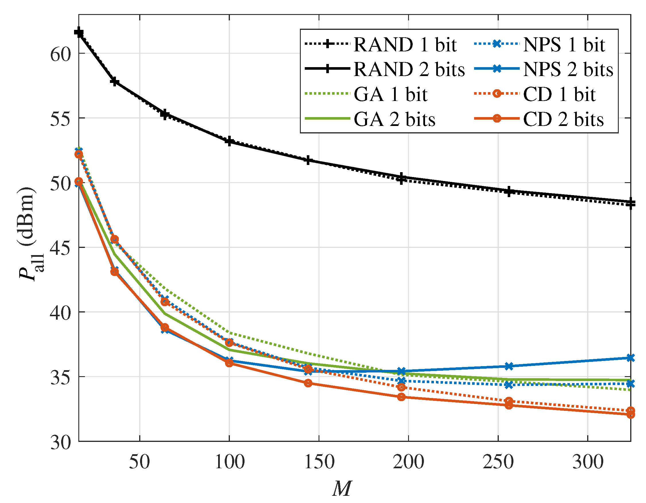
- We present a range of simulation results that illustrate the effectiveness of our algorithms. Furthermore, we analyze the characteristics and performance of these simulation results. By effectively considering the PS-DPC, the simulation results show that the proposed algorithms achieve a balance of the power consumption of the BS and IRS, thus significantly reducing the total system power consumption compared to the baseline algorithms.
2. System Model and Problem Formulation
2.1. System Model
2.2. Channel Model
2.3. Power Model
2.4. Problem Formulation
3. Beamforming Optimization for the Single-User Scenario
3.1. Solving the Nonlinear Relationship in
3.2. Generalized Benders Decomposition Algorithm
- If the discrete variables are fixed, the optimization problem should be convex to the continuous variables.
- If the continuous variables are fixed, the optimization problem should be linear to the discrete variables.
3.2.1. Primal Problem
3.2.2. Master Problem
| Algorithm 1 The GBD-based algorithm for the multi-bit IRS with the PS-DPC model in the single-user scenario. |
4. Beamforming Optimization for the Multi-User Scenario
4.1. Problem Formulation
4.2. Coordinate Descent Algorithm
| Algorithm 2 The CD-based algorithm for the multi-bit IRS with the PS-DPC model in the multi-user scenario. |
|
4.3. Genetic Algorithm
- 1.
- Initial population generation: We randomly generate individual , satisfying constraints C2a and C2b. For the selection vector is the gene of . For each selection matrix , the corresponding beamforming matrix is designed via the zero-forcing method according to (29).
- 2.
- Fitness evaluation: For the existing population, we evaluate the fitness value of each individual, expressed aswhich is the opposite value of the optimization objective function in problem (25).
- 3.
- Selection: A larger fitness value indicates that the corresponding system power consumption is lower. According to the fitness value of each individual , we select individuals that have the maximum fitness value as the parents.
- 4.
- Crossover and mutation: We implement the genetic operators for the parents, i.e., crossover and mutation. In the crossover operator, we choose two parents and exchange some of their genes. Specifically, the crossover operator includes the single-point crossover and uniform crossover. We assume that two parents and are expressed asFor the single-point crossover, we set a random value m and exchange the genes of and at the m-th element, that is, the new individuals and are expressed asFor the uniform crossover, the two parents randomly exchange the m-th selection vector for all m and become the new individuals. In the mutation operator, we choose a parent and randomly change some of their genes as the new individual.
- 5.
- New population generation: The new population consists of parents, new individuals generated by the single-point crossover, new individuals generated by the uniform crossover, and new individuals generated by the mutation operator. Hence, there are still individuals in the population. Then, we further evaluate the fitness value of this population in step 2 and repeat the above operators until the stopping condition is satisfied.
| Algorithm 3 The genetic algorithm for the multi-bit IRS with the PS-DPC model in the multi-user scenario. |
|
5. Simulation Results
5.1. Simulation Setup
5.2. Single-User Scenario
5.3. Multi-User Scenario
6. Conclusions
Author Contributions
Funding
Institutional Review Board Statement
Informed Consent Statement
Data Availability Statement
Conflicts of Interest
References
- Recommendation, International Telecommunication Union Recommendation. Framework and Overall Objectives of the Future Development of IMT for 2030 and Beyond. International Telecommunication Union (ITU) Recommendation (ITU-R). 2023. Available online: https://www.itu.int/dms_pubrec/itu-r/rec/m/R-REC-M.2160-0-202311-I!!PDF-E.pdf (accessed on 1 June 2024).
- Di Renzo, M.; Zappone, A.; Debbah, M.; Alouini, M.S.; Yuen, C.; De Rosny, J.; Tretyakov, S. Smart radio environments empowered by reconfigurable intelligent surfaces: How it works, state of research, and the road ahead. IEEE J. Sel. Areas Commun. 2020, 38, 2450–2525. [Google Scholar] [CrossRef]
- Tang, W.; Dai, J.Y.; Chen, M.Z.; Wong, K.K.; Li, X.; Zhao, X.; Jin, S.; Cheng, Q.; Cui, T.J. MIMO transmission through reconfigurable intelligent surface: System design, analysis, and implementation. IEEE J. Sel. Areas Commun. 2020, 38, 2683–2699. [Google Scholar] [CrossRef]
- Wu, Q.; Zhang, R. Intelligent reflecting surface enhanced wireless network via joint active and passive beamforming. IEEE Trans. Wirel. Commun. 2019, 18, 5394–5409. [Google Scholar] [CrossRef]
- Hu, S.; Rusek, F.; Edfors, O. Beyond massive MIMO: The potential of data transmission with large intelligent surfaces. IEEE Trans. Signal Process. 2018, 66, 2746–2758. [Google Scholar] [CrossRef]
- Wu, Q.; Zhang, R. Towards smart and reconfigurable environment: Intelligent reflecting surface aided wireless network. IEEE Commun. Mag. 2019, 58, 106–112. [Google Scholar] [CrossRef]
- Huang, C.; Zappone, A.; Alexandropoulos, G.C.; Debbah, M.; Yuen, C. Reconfigurable intelligent surfaces for energy efficiency in wireless communication. IEEE Trans. Wirel. Commun. 2019, 18, 4157–4170. [Google Scholar] [CrossRef]
- Wu, Q.; Zhang, S.; Zheng, B.; You, C.; Zhang, R. Intelligent reflecting surface-aided wireless communications: A tutorial. IEEE Trans. Commun. 2021, 69, 3313–3351. [Google Scholar] [CrossRef]
- Yu, X.; Xu, D.; Ng, D.W.K.; Schober, R. IRS-assisted green communication systems: Provable convergence and robust optimization. IEEE Trans. Commun. 2021, 69, 6313–6329. [Google Scholar] [CrossRef]
- An, K.; Sun, Y.; Lin, Z.; Zhu, Y.; Ni, W.; Al-Dhahir, N.; Wong, K.K.; Niyato, D. Exploiting Multi-Layer Refracting RIS-Assisted Receiver for HAP-SWIPT Networks. IEEE Trans. Wirel. Commun. 2024; early access. [Google Scholar] [CrossRef]
- Huang, Z.; Kuang, Z.; Lin, S.; Hou, F.; Liu, A. Energy-Efficient Joint Trajectory and Reflecting Design in IRS-Enabled UAV Edge Computing. IEEE Internet Things J. 2024, 11, 21872–21884. [Google Scholar] [CrossRef]
- Yu, Z.; Hu, X.; Liu, C.; Peng, M.; Zhong, C. Location sensing and beamforming design for IRS-enabled multi-user ISAC systems. IEEE Trans. Signal Process. 2022, 70, 5178–5193. [Google Scholar] [CrossRef]
- Lin, Z.; Niu, H.; An, K.; Hu, Y.; Li, D.; Wang, J.; Al-Dhahir, N. Pain without gain: Destructive beamforming from a malicious RIS perspective in IoT networks. IEEE Internet Things J. 2023, 11, 7619–7629. [Google Scholar] [CrossRef]
- Chen, Y.; Zhang, B.; Hu, J.; López-Pérez, D.; Ding, M. Analysis on energy efficiency of large scale intelligent reflecting surface-enabled networks. IEEE Commun. Lett. 2023, 27, 2802–2806. [Google Scholar] [CrossRef]
- Yang, L.; Li, X.; Jin, S.; Matthaiou, M.; Zheng, F.C. Fine-grained analysis of reconfigurable intelligent surface-assisted mmWave networks. IEEE Trans. Commun. 2022, 70, 6277–6294. [Google Scholar] [CrossRef]
- Meftah, E.H.; Benmahmoud, S. Energy and spectral efficiency for RIS-aided transmission. In Proceedings of the 2024 2nd International Conference on Electrical Engineering and Automatic Control (ICEEAC), Setif, Algeria, 12–14 May 2024; pp. 1–6. [Google Scholar] [CrossRef]
- Fotock, R.K.; Zappone, A.; Di Renzo, M. Energy efficiency in RIS-aided wireless networks: Active or passive RIS? In Proceedings of the ICC 2023-IEEE International Conference on Communications, Rome, Italy, 28 May–1 June 2023; pp. 2704–2709. [Google Scholar] [CrossRef]
- Peng, Q.; Wu, Q.; Chen, G.; Liu, R.; Ma, S.; Chen, W. Hybrid active-passive IRS assisted energy-efficient wireless communication. IEEE Commun. Lett. 2023, 27, 2202–2206. [Google Scholar] [CrossRef]
- Zhou, S.; Xu, W.; Wang, K.; Di Renzo, M.; Alouini, M.S. Spectral and energy efficiency of IRS-assisted MISO communication with hardware impairments. IEEE Wirel. Commun. Lett. 2020, 9, 1366–1369. [Google Scholar] [CrossRef]
- Lin, Z.; Lin, M.; Champagne, B.; Zhu, W.P.; Al-Dhahir, N. Secrecy-energy efficient hybrid beamforming for satellite-terrestrial integrated networks. IEEE Trans. Commun. 2021, 69, 6345–6360. [Google Scholar] [CrossRef]
- Bishe, F.; Koc, A.; Le-Ngoc, T. Deep Reinforcement Learning-based Sum-Rate Maximization in Hybrid Beamforming Multi-User Massive MIMO Systems. In Proceedings of the 2024 Tenth International Conference on Communications and Electronics (ICCE), Danang, Vietnam, 31 July–2 August 2024; pp. 601–606. [Google Scholar] [CrossRef]
- Lin, Z.; Lin, M.; De Cola, T.; Wang, J.B.; Zhu, W.P.; Cheng, J. Supporting IoT with rate-splitting multiple access in satellite and aerial-integrated networks. IEEE Internet Things J. 2021, 8, 11123–11134. [Google Scholar] [CrossRef]
- You, L.; Xiong, J.; Ng, D.W.K.; Yuen, C.; Wang, W.; Gao, X. Energy efficiency and spectral efficiency tradeoff in RIS-aided multiuser MIMO uplink transmission. IEEE Trans. Signal Process. 2020, 69, 1407–1421. [Google Scholar] [CrossRef]
- de Souza, W.; Abrão, T. Energy efficiency maximization for intelligent surfaces aided massive MIMO with zero forcing. IEEE Trans. Green Commun. Netw. 2023, 8, 802–814. [Google Scholar] [CrossRef]
- Quispe, J.J.; Maciel, T.F.; Silva, Y.C.; Klein, A. RIS-assisted beamforming for energy efficiency in multiuser downlink transmissions. In Proceedings of the 2022 IEEE Globecom Workshops (GC Wkshps), Rio de Janeiro, Brazil, 4–8 December 2022; pp. 1543–1548. [Google Scholar] [CrossRef]
- Wu, Y.; Xu, D.; Ng, D.W.K.; Schober, R.; Gerstacker, W. Globally optimal resource allocation design for IRS-assisted multiuser networks with discrete phase shifts. In Proceedings of the 2023 IEEE International Conference on Communications Workshops (ICC Workshops), Rome, Italy, 28 May–1 June 2023; pp. 1216–1221. [Google Scholar] [CrossRef]
- Wang, Q.; Gao, Z.; Xu, Y.; Xie, H. Energy-efficient optimization for IRS-assisted wireless-powered communication networks. In Proceedings of the 2021 IEEE 93rd Vehicular Technology Conference (VTC2021-Spring), Helsinki, Finland, 25–28 April 2021; pp. 1–5. [Google Scholar] [CrossRef]
- Li, Z.; Chen, W.; Wu, Q.; Cao, H.; Wang, K.; Li, J. Robust beamforming design and time allocation for IRS-assisted wireless powered communication networks. IEEE Trans. Commun. 2022, 70, 2838–2852. [Google Scholar] [CrossRef]
- Wu, J.; Kim, S.; Shim, B. Energy-efficient power control and beamforming for reconfigurable intelligent surface-aided uplink IoT networks. IEEE Trans. Wirel. Commun. 2022, 21, 10162–10176. [Google Scholar] [CrossRef]
- Liang, R.; Fan, J. Energy-efficient mmWave IoT communications with multi-hop IRS-assisted systems. IEEE Internet Things J. 2023, 10, 19344–19355. [Google Scholar] [CrossRef]
- Kurma, S.; Katwe, M.; Singh, K.; Duong, T.Q.; Li, C.P. Spectral-energy efficient resource allocation in RIS-aided FD-MIMO systems. IEEE Trans. Wirel. Commun. 2023, 23, 5125–5141. [Google Scholar] [CrossRef]
- Yang, Y.; Gao, H.; Yang, X.; Cao, R.; Fan, Y. Joint beamforming for RIS-assisted integrated communication, sensing and power transfer systems. IEEE Wirel. Commun. Lett. 2023, 13, 288–292. [Google Scholar] [CrossRef]
- Wu, M.; Guo, K.; Li, X.; Lin, Z.; Wu, Y.; Tsiftsis, T.A.; Song, H. Deep reinforcement learning-based energy efficiency optimization for RIS-aided integrated satellite-aerial-terrestrial relay networks. IEEE Trans. Commun. 2024, 72, 4163–4178. [Google Scholar] [CrossRef]
- Hao, W.; Li, J.; Sun, G.; Huang, C.; Zeng, M.; Dobre, O.A.; Yuen, C. Max-min security energy efficiency optimization for RIS-aided cell-free networks. In Proceedings of the ICC 2023-IEEE International Conference on Communications, Rome, Italy, 28 May–1 June 2023; pp. 5358–5363. [Google Scholar] [CrossRef]
- Lin, Z.; Niu, H.; An, K.; Wang, Y.; Zheng, G.; Chatzinotas, S.; Hu, Y. Refracting RIS-aided hybrid satellite-terrestrial relay networks: Joint beamforming design and optimization. IEEE Trans. Aerosp. Electron. Syst. 2022, 58, 3717–3724. [Google Scholar] [CrossRef]
- Tang, W.; Chen, M.Z.; Chen, X.; Dai, J.Y.; Han, Y.; Di Renzo, M.; Zeng, Y.; Jin, S.; Cheng, Q.; Cui, T.J. Wireless communications with reconfigurable intelligent surface: Path loss modeling and experimental measurement. IEEE Trans. Wirel. Commun. 2020, 20, 421–439. [Google Scholar] [CrossRef]
- Wang, J.; Tang, W.; Jin, S.; Li, X.; Matthaiou, M. Static power consumption modeling and measurement of reconfigurable intelligent surfaces. In Proceedings of the 2023 31st European Signal Processing Conference (EUSIPCO), Helsinki, Finland, 4–8 September 2023; pp. 890–894. [Google Scholar] [CrossRef]
- Wang, J.; Tang, W.; Liang, J.C.; Zhang, L.; Dai, J.Y.; Li, X.; Jin, S.; Cheng, Q.; Cui, T.J. Reconfigurable intelligent surface: Power consumption modeling and practical measurement validation. IEEE Trans. Commun. 2024; early access. [Google Scholar] [CrossRef]
- Wu, Q.; Lin, T.; Zhu, Y. Green beamforming design for IRS-aided systems under phase shift-related power consumption. In Proceedings of the GLOBECOM 2023–2023 IEEE Global Communications Conference, Kuala Lumpur, Malaysia, 4–8 December 2023; pp. 613–618. [Google Scholar] [CrossRef]
- Li, Z.; Zhang, J.; Zhu, J.; Jin, S.; Dai, L. Enhancing energy efficiency for reconfigurable intelligent surfaces with practical power models. arXiv 2023, arXiv:2310.15901. [Google Scholar] [CrossRef]
- Xu, D.; Han, Y.; Li, X.; Wang, J.; Jin, S. Energy efficiency optimization for a RIS-assisted multi-cell communication system based on a practical RIS power consumption model. Front. Inform. Technol. Electron. Eng. 2023, 24, 1717–1727. [Google Scholar] [CrossRef]
- Geoffrion, A.M. Generalized benders decomposition. J. Optim. Theory Appl. 1972, 10, 237–260. [Google Scholar] [CrossRef]
- Grant, M.; Boyd, S. CVX: Matlab Software for Disciplined Convex Programming. Version 2.1. 2014. Available online: http://cvxr.com/cvx (accessed on 1 June 2024).
- Peng, Z.; Li, T.; Pan, C.; Ren, H.; Wang, J. RIS-aided D2D communications relying on statistical CSI with imperfect hardware. IEEE Commun. Lett. 2021, 26, 473–477. [Google Scholar] [CrossRef]
- Ren, H.; Liu, X.; Pan, C.; Peng, Z.; Wang, J. Performance analysis for RIS-aided secure massive MIMO systems with statistical CSI. IEEE Wirel. Commun. Lett. 2022, 12, 124–128. [Google Scholar] [CrossRef]









Disclaimer/Publisher’s Note: The statements, opinions and data contained in all publications are solely those of the individual author(s) and contributor(s) and not of MDPI and/or the editor(s). MDPI and/or the editor(s) disclaim responsibility for any injury to people or property resulting from any ideas, methods, instructions or products referred to in the content. |
© 2024 by the authors. Licensee MDPI, Basel, Switzerland. This article is an open access article distributed under the terms and conditions of the Creative Commons Attribution (CC BY) license (https://creativecommons.org/licenses/by/4.0/).
Share and Cite
Zhang, H.; Wu, Q.; Zhu, Y. Beamforming for Multi-Bit Intelligent Reflecting Surface with Phase Shift-Dependent Power Consumption Model. Sensors 2024, 24, 6136. https://doi.org/10.3390/s24186136
Zhang H, Wu Q, Zhu Y. Beamforming for Multi-Bit Intelligent Reflecting Surface with Phase Shift-Dependent Power Consumption Model. Sensors. 2024; 24(18):6136. https://doi.org/10.3390/s24186136
Chicago/Turabian StyleZhang, Huimin, Qiucen Wu, and Yu Zhu. 2024. "Beamforming for Multi-Bit Intelligent Reflecting Surface with Phase Shift-Dependent Power Consumption Model" Sensors 24, no. 18: 6136. https://doi.org/10.3390/s24186136
APA StyleZhang, H., Wu, Q., & Zhu, Y. (2024). Beamforming for Multi-Bit Intelligent Reflecting Surface with Phase Shift-Dependent Power Consumption Model. Sensors, 24(18), 6136. https://doi.org/10.3390/s24186136

