A Comprehensive Review on the Viscoelastic Parameters Used for Engineering Materials, Including Soft Materials, and the Relationships between Different Damping Parameters
Abstract
1. Introduction
2. Theoretical Background
2.1. Elastic, Viscous, and Viscoelastic Materials
2.2. Viscously Damped SDOF System Exposed to Harmonic Excitation
2.2.1. Steady-State Response of a Spring–Damper System
2.2.2. Free Vibrations of a Mass–Spring–Damper System
2.2.3. Forced Vibrations of a Mass–Spring–Damper System
2.3. Viscously Damped SDOF System Exposed to Step Excitation
2.4. SDOF System with Complex Stiffness Exposed to Harmonic Excitation
2.4.1. Steady-State Response of a Complex Spring System
2.4.2. Steady-State Response of a Mass–Complex Spring System
3. Theoretical Derivations of Different Damping Parameters and Their Relationships
3.1. Hysteresis Loop and Specific Damping Capacity
3.2. Hysteresis Loop and Loss Factor
3.3. Specific Damping Capacity and Loss Factor
3.4. Dissipated Energy and Viscous Damping Coefficient
3.5. Complex Modulus and Loss Factor
3.6. Logarithmic Decrement and Viscous Damping Ratio
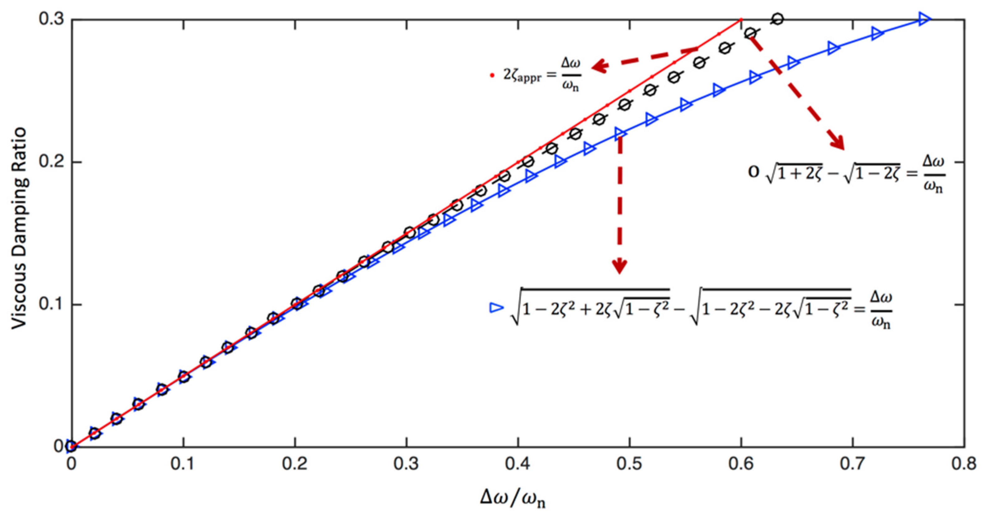
3.7. Half-Power Bandwidth and Viscous Damping Ratio
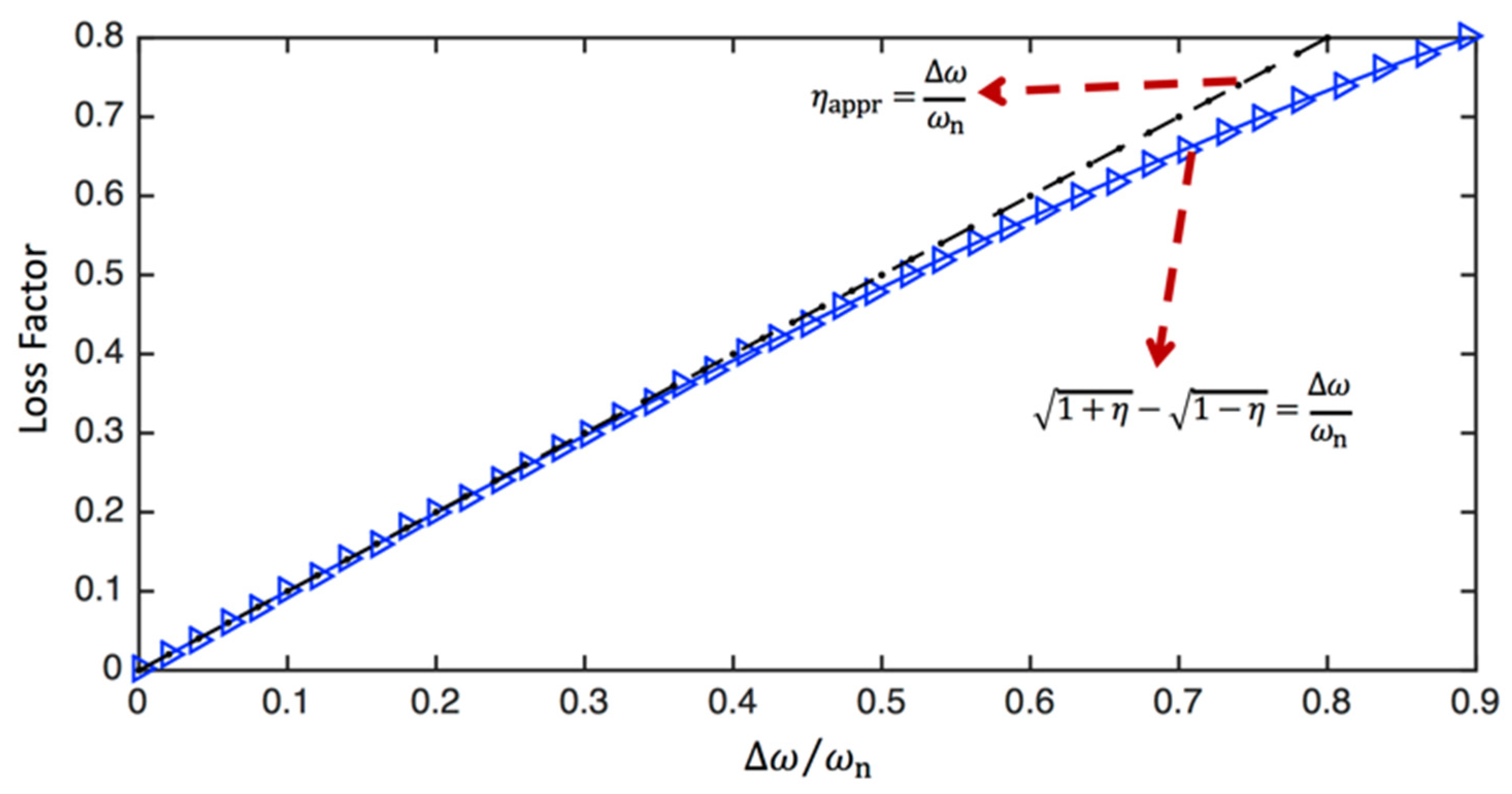
3.8. Half-Power Bandwidth and Loss Factor
3.9. Loss Factor and Viscous Damping Ratio
3.10. Phase Lag and Loss Factor
3.11. Phase Lag and Viscous Damping Ratio
3.12. Viscosity and Loss Modulus
3.13. Viscosity and Loss Factor
3.14. Inverse Quality Factor and Viscous Damping Ratio
3.15. Inverse Quality Factor and Loss Factor
3.16. Structural Reverberation Time and Loss Factor
3.17. Step Response and Viscous Damping Ratio
3.18. Rayleigh Damping and Viscous Damping
4. Summary of the Relationships between Common Damping Parameters
5. Some Damping Identification Applications of Biomaterials
6. Conclusions
Author Contributions
Funding
Data Availability Statement
Acknowledgments
Conflicts of Interest
References
- Tang, Y.; Liu, S.; Deng, Y.; Zhang, Y.; Yin, L.; Zheng, W. An Improved Method for Soft Tissue Modeling. Biomed. Signal Process. Control 2021, 65, 102367. [Google Scholar] [CrossRef]
- Shi, H.; Xiang, S.; Wang, L.; Sun, Y.; Wang, J.; Liu, Z. Characterization of Middle Ear Soft Tissue Damping and Its Role in Sound Transmission. Biomech. Model. Mechanobiol. 2023, 22, 1003–1018. [Google Scholar] [CrossRef] [PubMed]
- Wells, M.; Schneider, R.; Bhattarai, B.; Currie, H.; Chavez, B.; Christopher, G.; Rumbaugh, K.; Gordon, V. Perspective: The Viscoelastic Properties of Biofilm Infections and Mechanical Interactions with Phagocytic Immune Cells. Front. Cell. Infect. Microbiol. 2023, 13, 1102199. [Google Scholar] [CrossRef] [PubMed]
- Elango, J.; Lijnev, A.; Zamora-Ledezma, C.; Alexis, F.; Wu, W.; Marín, J.M.G.; Sanchez de Val, J.E.M. The Relationship of Rheological Properties and the Performance of Silk Fibroin Hydrogels in Tissue Engineering Application. Process Biochem. 2023, 125, 198–211. [Google Scholar] [CrossRef]
- Bailey, M.; Alunni-Cardinali, M.; Correa, N.; Caponi, S.; Holsgrove, T.; Barr, H.; Stone, N.; Winlove, C.P.; Fioretto, D.; Palombo, F. Viscoelastic Properties of Biopolymer Hydrogels Determined by Brillouin Spectroscopy: A Probe of Tissue Micromechanics. Sci. Adv. 2020, 6, eabc1937. [Google Scholar] [CrossRef] [PubMed]
- Efremov, Y.M.; Okajima, T.; Raman, A. Measuring Viscoelasticity of Soft Biological Samples Using Atomic Force Microscopy. Soft Matter 2020, 16, 64–81. [Google Scholar] [CrossRef] [PubMed]
- Gu, X.; Wang, L.; Guan, X.; Wang, Y.; Cheng, Y.; Wu, Y. Advances in the Design, Preparation and Application of Biomimetic Damping Materials. Giant 2024, 19, 100321. [Google Scholar] [CrossRef]
- Young, S.; Pincus, G.; Hwang, N.H.C. Dynamic Evaluation of the Viscoelastic Properties of a Biomedical Polymer (Biomer). Biomater. Med. Devices Artif. Organs 1977, 5, 233–254. [Google Scholar] [CrossRef]
- Cheng, T.; Dai, C.; Gan, R.Z. Viscoelastic Properties of Human Tympanic Membrane. Ann. Biomed. Eng. 2007, 35, 305–314. [Google Scholar] [CrossRef]
- Hans, G.A.; Besser, M.W. The Place of Viscoelastic Testing in Clinical Practice. Br. J. Haematol. 2016, 173, 37–48. [Google Scholar] [CrossRef]
- Cowman, M.K.; Schmidt, T.A.; Raghavan, P.; Stecco, A. Viscoelastic Properties of Hyaluronan in Physiological Conditions. F1000Research 2015, 4, 622. [Google Scholar] [CrossRef] [PubMed]
- Eliahoo, P.; Setayesh, H.; Hoffman, T.; Wu, Y.; Li, S.; Treweek, J.B. Viscoelasticity in 3D Cell Culture and Regenerative Medicine: Measurement Techniques and Biological Relevance. ACS Mater. Au 2024, 4, 354–384. [Google Scholar] [CrossRef] [PubMed]
- Rus, G.; Faris, I.H.; Torres, J.; Callejas, A.; Melchor, J. Why Are Viscosity and Nonlinearity Bound to Make an Impact in Clinical Elastographic Diagnosis? Sensors 2020, 20, 2379. [Google Scholar] [CrossRef] [PubMed]
- Yang, F.; Chen, Z.; Wang, P.; Shi, Y. Phase-Domain Photoacoustic Mechanical Imaging for Quantitative Elastography and Viscography. IEEE Trans. Biomed. Eng. 2024, 71, 2330–2340. [Google Scholar] [CrossRef] [PubMed]
- Kimondo, J.J.; Said, R.R.; Wu, J.; Tian, C.; Wu, Z. Mechanical Rheological Model on the Assessment of Elasticity and Viscosity in Tissue Inflammation: A Systematic Review. PLoS ONE 2024, 19, e0307113. [Google Scholar] [CrossRef] [PubMed]
- Chen, X.; Li, X.; Turco, S.; van Sloun, R.J.G.; Mischi, M. Ultrasound Viscoelastography by Acoustic Radiation Force: A State-of-the-Art Review. IEEE Trans. Ultrason. Ferroelectr. Freq. Control 2024, 71, 536–557. [Google Scholar] [CrossRef]
- Dietrich, C.; Bamber, J.; Berzigotti, A.; Bota, S.; Cantisani, V.; Castera, L.; Cosgrove, D.; Ferraioli, G.; Friedrich-Rust, M.; Gilja, O.; et al. EFSUMB Guidelines and Recommendations on the Clinical Use of Liver Ultrasound Elastography, Update 2017 (Long Version). Ultraschall Der Med.-Eur. J. Ultrasound 2017, 38, e16–e47. [Google Scholar] [CrossRef]
- Berzigotti, A.; Ferraioli, G.; Bota, S.; Gilja, O.H.; Dietrich, C.F. Novel Ultrasound-Based Methods to Assess Liver Disease: The Game Has Just Begun. Dig. Liver Dis. 2018, 50, 107–112. [Google Scholar] [CrossRef]
- Ganeau, A.; Lafond, M.; Legrand, F.; Laloy-Borgna, G.; Ben Moussa, O.; Poinard, S.; Mascarelli, F.; Thuret, G.; Gain, P.; Lafon, C.; et al. Characterization of the Viscoelastic Properties of in Vitro Crystalline Lens Samples Using Ultrasound Elastography. Appl. Phys. Lett. 2023, 123, 103701. [Google Scholar] [CrossRef]
- Oglat, A.A.; Abukhalil, T. Ultrasound Elastography: Methods, Clinical Applications, and Limitations: A Review Article. Appl. Sci. 2024, 14, 4308. [Google Scholar] [CrossRef]
- Lim, W.T.H.; Ooi, E.H.; Foo, J.J.; Ng, K.H.; Wong, J.H.D.; Leong, S.S. The Role of Shear Viscosity as a Biomarker for Improving Chronic Kidney Disease Detection Using Shear Wave Elastography: A Computational Study Using a Validated Finite Element Model. Ultrasonics 2023, 133, 107046. [Google Scholar] [CrossRef] [PubMed]
- Zhang, K.; Zhu, M.; Thomas, E.; Hopyan, S.; Sun, Y. Existing and Potential Applications of Elastography for Measuring the Viscoelasticity of Biological Tissues In Vivo. Front. Phys. 2021, 9, 670571. [Google Scholar] [CrossRef]
- Gaul, L. The Influence of Damping on Waves and Vibrations. Mech. Syst. Signal Process 1999, 13, 1–30. [Google Scholar] [CrossRef]
- Koruk, H. Development of an Improved Mathematical Model for the Dynamic Response of a Sphere Located at a Viscoelastic Medium Interface. Eur. J. Phys. 2022, 43, 25002. [Google Scholar] [CrossRef]
- Rahman, M.Z. Mechanical and Damping Performances of Flax Fibre Composites—A Review. Compos. Part C Open Access 2021, 4, 100081. [Google Scholar] [CrossRef]
- Inman, D.J. Engineering Vibrations, 4th ed.; Pearson Education: Upper Saddle River, NJ, USA, 2013. [Google Scholar]
- De Greef, D.; Pires, F.; Dirckx, J.J.J. Effects of Model Definitions and Parameter Values in Finite Element Modeling of Human Middle Ear Mechanics. Hear. Res. 2017, 344, 195–206. [Google Scholar] [CrossRef]
- West, G.; Harris, E.; Lowe, M.; Bamber, J.; Huthwaite, P. Multi-Band Finite Element Simulation of Ultrasound Attenuation by Soft Tissue. In Proceedings of the 2021 IEEE International Ultrasonics Symposium (IUS), Xi’an, China, 11–16 September 2021; pp. 1–5. [Google Scholar]
- Navindaran, K.; Kang, J.S.; Moon, K. Techniques for Characterizing Mechanical Properties of Soft Tissues. J. Mech. Behav. Biomed. Mater. 2023, 138, 105575. [Google Scholar] [CrossRef]
- Nayar, V.T.; Weiland, J.D.; Nelson, C.S.; Hodge, A.M. Elastic and Viscoelastic Characterization of Agar. J. Mech. Behav. Biomed. Mater. 2012, 7, 60–68. [Google Scholar] [CrossRef]
- Dakhil, H.; Gilbert, D.F.; Malhotra, D.; Limmer, A.; Engelhardt, H.; Amtmann, A.; Hansmann, J.; Hübner, H.; Buchholz, R.; Friedrich, O.; et al. Measuring Average Rheological Quantities of Cell Monolayers in the Linear Viscoelastic Regime. Rheol. Acta 2016, 55, 527–536. [Google Scholar] [CrossRef]
- Peng, B.; Tang, J.; Wang, P.; Luo, J.; Xiao, P.; Lin, Y.; Tam, K.C. Rheological Properties of Cellulose Nanocrystal-Polymeric Systems. Cellulose 2018, 25, 3229–3240. [Google Scholar] [CrossRef]
- Wang, B.; Moura, A.G.; Chen, J.; Erturk, A.; Hu, Y. Characterization of Hydrogel Structural Damping. Extrem. Mech. Lett. 2020, 40, 100841. [Google Scholar] [CrossRef]
- Bezer, J.H.; Koruk, H.; Rowlands, C.J.; Choi, J.J. Elastic Deformation of Soft Tissue-Mimicking Materials Using a Single Microbubble and Acoustic Radiation Force. Ultrasound Med. Biol. 2020, 46, 3327–3338. [Google Scholar] [CrossRef] [PubMed]
- Vasconcelos, L.; Kijanka, P.; Urban, M.W. Viscoelastic Parameter Estimation Using Simulated Shear Wave Motion and Convolutional Neural Networks. Comput. Biol. Med. 2021, 133, 104382. [Google Scholar] [CrossRef] [PubMed]
- Esmaeel, A.; Ahmed, K.I.E.; FathEl-Bab, A.M.R. Determination of Damping Coefficient of Soft Tissues Using Piezoelectric Transducer. Biomed. Microdevices 2021, 23, 23. [Google Scholar] [CrossRef] [PubMed]
- Koruk, H.; Yurdaer, S.B.; Koc, H.O.; Besli, A. Identification of the Viscoelastic Properties of Soft Materials Using a Convenient Dynamic Indentation System and Procedure. Mater. Today Proc. 2022, 57, 464–468. [Google Scholar] [CrossRef]
- Graesser, E.J.; Wong, C.R. The Relationship of Traditional Damping Measures for Materials with High Damping Capacity: A Review. In Mechanics and Mechanisms of Material Damping; ASTM International: West Conshohocken, PA, USA, 1992; pp. 316–343. [Google Scholar]
- Argatov, I.; Mishuris, G. Indentation Testing of Biological Materials; Advanced Structured Materials; Springer: Cham, Switzerland, 2018; Volume 91, ISBN 978-3-319-78532-5. [Google Scholar]
- Liu, T.; Butaud, P.; Placet, V.; Ouisse, M. Damping Behavior of Plant Fiber Composites: A Review. Compos. Struct. 2021, 275, 114392. [Google Scholar] [CrossRef]
- Mostafavi Yazdi, S.J.; Baqersad, J. Mechanical Modeling and Characterization of Human Skin: A Review. J. Biomech. 2022, 130, 110864. [Google Scholar] [CrossRef]
- Moučka, R.; Sedlačík, M.; Pátíková, Z. Fractional Viscoelastic Models of Porcine Skin and Its Gelatin-Based Surrogates. Mech. Mater. 2023, 177, 104559. [Google Scholar] [CrossRef]
- Wang, Y.; Selomulya, C. Food Rheology Applications of Large Amplitude Oscillation Shear (LAOS). Trends Food Sci. Technol. 2022, 127, 221–244. [Google Scholar] [CrossRef]
- Zapoměl, J.; Dekýš, V.; Ferfecki, P.; Sapietová, A.; Sága, M.; Žmindák, M. Identification of Material Damping of a Carbon Composite Bar and Study of Its Effect on Attenuation of Its Transient Lateral Vibrations. Int. J. Appl. Mech. 2015, 7, 1550081. [Google Scholar] [CrossRef]
- Hirsch, S.; Guo, J.; Reiter, R.; Papazoglou, S.; Kroencke, T.; Braun, J.; Sack, I. MR Elastography of the Liver and the Spleen Using a Piezoelectric Driver, Single-Shot Wave-Field Acquisition, and Multifrequency Dual Parameter Reconstruction. Magn. Reson. Med. 2014, 71, 267–277. [Google Scholar] [CrossRef] [PubMed]
- Tom, C.; Sangitra, S.N.; Pujala, R.K. Rheological Fingerprinting and Applications of Cellulose Nanocrystal Based Composites: A Review. J. Mol. Liq. 2023, 370, 121011. [Google Scholar] [CrossRef]
- Miao, Y.; Li, R.; Qian, X.; Yin, Y.; Yang, Y.; Jin, X.; Lin, B.; Liu, Y.; Liu, Z. Effect of extraction on the acoustic vibrational properties of Picea jezoensis var. microsperma (Lindl.) W.C.Cheng & L.K.Fu. Ann. For. Sci. 2021, 78, 24. [Google Scholar] [CrossRef]
- Vriend, N.M.; Kren, A.P. Determination of the Viscoelastic Properties of Elastomeric Materials by the Dynamic Indentation Method. Polym. Test. 2004, 23, 369–375. [Google Scholar] [CrossRef]
- Boyer, G.; Laquièze, L.; Le Bot, A.; Laquièze, S.; Zahouani, H. Dynamic Indentation on Human Skin in Vivo: Ageing Effects. Ski. Skin. Res. Technol. 2009, 15, 55–67. [Google Scholar] [CrossRef] [PubMed]
- Cartagena-Rivera, A.X.; Wang, W.-H.; Geahlen, R.L.; Raman, A. Fast, Multi-Frequency and Quantitative Nanomechanical Mapping of Live Cells Using the Atomic Force Microscope. Sci. Rep. 2015, 5, 11692. [Google Scholar] [CrossRef]
- Shahmansouri, N.; Alreshidan, M.; Emmott, A.; Lachapelle, K.; El-Hamamsy, I.; Cartier, R.; Leask, R.; Mongrain, R. Investigation on the Regional Loss Factor and Its Anisotropy for Aortic Aneurysms. Materials 2016, 9, 867. [Google Scholar] [CrossRef]
- Vogel, A.; Pioletti, D.P. Damping Properties of the Nucleus Pulposus. Clin. Biomech. 2012, 27, 861–865. [Google Scholar] [CrossRef]
- Rosicka, K.; Mierzejewska-Krzyżowska, B.; Mrówczyński, W. Skin Biomechanical and Viscoelastic Properties Measured with MyotonPRO in Different Areas of Human Body. Ski. Res. Technol. 2021, 28, 236–245. [Google Scholar] [CrossRef]
- Koruk, H.; El Ghamrawy, A.; Pouliopoulos, A.N.; Choi, J.J. Acoustic Particle Palpation for Measuring Tissue Elasticity. Appl. Phys. Lett. 2015, 107, 223701. [Google Scholar] [CrossRef]
- Koruk, H.; Choi, J.J. Displacement of a Bubble by Acoustic Radiation Force into a Fluid-Tissue Interface. J. Acoust. Soc. Am. 2018, 143, 2535–2540. [Google Scholar] [CrossRef] [PubMed]
- Koruk, H.; Choi, J.J. Displacement of a Bubble Located at a Fluid-Viscoelastic Medium Interface. J. Acoust. Soc. Am. 2019, 145, EL410–EL416. [Google Scholar] [CrossRef] [PubMed]
- Koruk, H. Development of a Model for Predicting Dynamic Response of a Sphere at Viscoelastic Interface: A Dynamic Hertz Model. IOP Conf. Ser. Mater. Sci. Eng. 2021, 1150, 012015. [Google Scholar] [CrossRef]
- Koruk, H. Assessment of the Models for Predicting the Responses of Spherical Objects in Viscoelastic Mediums and at Viscoelastic Interfaces. IOP Conf. Ser. Mater. Sci. Eng. 2021, 1150, 012016. [Google Scholar] [CrossRef]
- Koruk, H. Modelling Small and Large Displacements of a Sphere on an Elastic Half-Space Exposed to a Dynamic Force. Eur. J. Phys. 2021, 52, 055006. [Google Scholar] [CrossRef]
- Koruk, H.; Pouliopoulos, A.N. Investigation of the Motion of a Spherical Object Located at Soft Elastic and Viscoelastic Material Interface for Identification of Material Properties. Appl. Sci. Eng. Prog. Progress 2024, 17, 7277. [Google Scholar] [CrossRef]
- Koruk, H.; Koc, H.O.; Yurdaer, S.B.; Besli, A.; Pouliopoulos, A.N. A New Approach for Measuring Viscoelastic Properties of Soft Materials Using the Dynamic Response of a Spherical Object Placed at the Sample Interface. Exp. Mech. 2024, 64, 21–32. [Google Scholar] [CrossRef]
- Li, H.; Flé, G.; Bhatt, M.; Qu, Z.; Ghazavi, S.; Yazdani, L.; Bosio, G.; Rafati, I.; Cloutier, G. Viscoelasticity Imaging of Biological Tissues and Single Cells Using Shear Wave Propagation. Front. Phys. 2021, 9, 666192. [Google Scholar] [CrossRef]
- Beuve, S.; Kritly, L.; Callé, S.; Remenieras, J.-P. Diffuse Shear Wave Spectroscopy for Soft Tissue Viscoelastic Characterization. Ultrasonics 2021, 110, 106239. [Google Scholar] [CrossRef]
- Tecse, A.; Romero, S.E.; Naemi, R.; Castaneda, B. Characterisation of the Soft Tissue Viscous and Elastic Properties Using Ultrasound Elastography and Rheological Models: Validation and Applications in Plantar Soft Tissue Assessment. Phys. Med. Biol. 2023, 68, 105005. [Google Scholar] [CrossRef]
- Wang, J.; Li, R.; Zhou, Q.; Gu, L.; Dong, P. Analysis of Shear Wave Propagation in Soft Biomaterials Using a Finite Element Model. J. Eng. Sci. Med. Diagn. Ther. 2024, 7, 031004. [Google Scholar] [CrossRef]
- Koruk, H.; Pouliopoulos, A.N. Elasticity and Viscoelasticity Imaging Based on Small Particles Exposed to External Forces. Processes 2023, 11, 3402. [Google Scholar] [CrossRef]
- Wang, Y.; Zhou, J.; Lin, H.; Wang, H.; Sack, I.; Guo, J.; Yan, F.; Li, R. Viscoelastic Parameters Derived from Multifrequency MR Elastography for Depicting Hepatic Fibrosis and Inflammation in Chronic Viral Hepatitis. Insights Imaging 2024, 15, 91. [Google Scholar] [CrossRef]
- Ewoldt, R.H.; Johnston, M.T.; Caretta, L.M. Experimental Challenges of Shear Rheology: How to Avoid Bad Data. In Complex Fluids in Biological Systems: Experiment, Theory, and Computation; Spagnolie, S.E., Ed.; Springer: New York, NY, USA, 2015; pp. 207–241. ISBN 978-1-4939-2065-5. [Google Scholar]
- Chen, S.; Sanchez, W.; Callstrom, M.R.; Gorman, B.; Lewis, J.T.; Sanderson, S.O.; Greenleaf, J.F.; Xie, H.; Shi, Y.; Pashley, M.; et al. Assessment of Liver Viscoelasticity by Using Shear Waves Induced by Ultrasound Radiation Force. Radiology 2013, 266, 964–970. [Google Scholar] [CrossRef] [PubMed]
- Aho, J.; Hvidt, S.; Baldursdottir, S. Rheology in Pharmaceutical Sciences. In Analytical Techniques in the Pharmaceutical Sciences; Müllertz, A., Perrie, Y., Rades, T., Eds.; Springer: New York, NY, USA, 2016; pp. 719–750. [Google Scholar]
- Garcia, R. Nanomechanical Mapping of Soft Materials with the Atomic Force Microscope: Methods, Theory and Applications. Chem. Soc. Rev. 2020, 49, 5850–5884. [Google Scholar] [CrossRef] [PubMed]
- Wang, F.; Liao, J.; Huang, C.; Yu, H.; Yan, J.; Li, H. Study on the Damping Dynamics Characteristics of a Viscoelastic Damping Material. Processes 2022, 10, 635. [Google Scholar] [CrossRef]
- Yoon, S.; Aglyamov, S.R.; Karpiouk, A.B.; Kim, S.; Emelianov, S.Y. Estimation of Mechanical Properties of a Viscoelastic Medium Using a Laser-Induced Microbubble Interrogated by an Acoustic Radiation Force. J. Acoust. Soc. Am. 2011, 130, 2241–2248. [Google Scholar] [CrossRef]
- Levy, B.E.; Oldenburg, A.L. Single Magnetic Particle Motion in Magnetomotive Ultrasound: An Analytical Model and Experimental Validation. IEEE Trans. Ultrason. Ferroelectr. Freq. Control 2021, 68, 2635–2644. [Google Scholar] [CrossRef]
- Aglyamov, S.R.; Karpiouk, A.B.; Ilinskii, Y.A.; Zabolotskaya, E.A.; Emelianov, S.Y. Motion of a Solid Sphere in a Viscoelastic Medium in Response to Applied Acoustic Radiation Force: Theoretical Analysis and Experimental Verification. J. Acoust. Soc. Am. 2007, 122, 1927–1936. [Google Scholar] [CrossRef]
- Dollet, B.; Marmottant, P.; Garbin, V. Bubble Dynamics in Soft and Biological Matter. Annu. Rev. Fluid. Mech. 2019, 51, 331–355. [Google Scholar] [CrossRef]
- Saint-Michel, B.; Garbin, V. Bubble Dynamics for Broadband Microrheology of Complex Fluids. Curr. Opin. Colloid. Interface Sci. 2020, 50, 101392. [Google Scholar] [CrossRef]
- Wang, X.; Lin, S.; Lyu, G. Advances in the Clinical Application of Ultrasound Elastography in Uterine Imaging. Insights Imaging 2022, 13, 141. [Google Scholar] [CrossRef] [PubMed]
- Wells, P.N.T.; Liang, H.-D. Medical Ultrasound: Imaging of Soft Tissue Strain and Elasticity. J. R. Soc. Interface 2011, 8, 1521–1549. [Google Scholar] [CrossRef] [PubMed]
- Sack, I. Magnetic Resonance Elastography from Fundamental Soft-Tissue Mechanics to Diagnostic Imaging. Nat. Rev. Phys. 2022, 5, 25–42. [Google Scholar] [CrossRef]
- Manduca, A.; Bayly, P.V.; Ehman, R.L.; Kolipaka, A.; Royston, T.J.; Sack, I.; Sinkus, R.; Van Beers, B.E. MR Elastography: Principles, Guidelines, and Terminology. Magn. Reson. Med. 2021, 85, 2377–2390. [Google Scholar] [CrossRef]
- Feng, Y.; Murphy, M.C.; Hojo, E.; Li, F.; Roberts, N. Magnetic Resonance Elastography in the Study of Neurodegenerative Diseases. J. Magn. Reson. Imaging 2024, 59, 82–96. [Google Scholar] [CrossRef]
- Seyedpour, S.M.; Nabati, M.; Lambers, L.; Nafisi, S.; Tautenhahn, H.-M.; Sack, I.; Reichenbach, J.R.; Ricken, T. Application of Magnetic Resonance Imaging in Liver Biomechanics: A Systematic Review. Front. Physiol. 2021, 12, 733393. [Google Scholar] [CrossRef]
- Sun, P.; Wang, D. Comparison of Damping Parameters Based on the Half-Power Bandwidth Methods of Viscous and Hysteretic Damping Models. J. Vib. Control 2023, 29, 968–979. [Google Scholar] [CrossRef]
- Gade, S.; Herlufsen, H. Digital Filter vs FFT Techniques for Damping Measurements. J. Sound Vib. 1990, 24, 24–32. [Google Scholar]
- Nashif, A.D.; Jones, D.I.G.; Henderson, J.P. Vibration Damping; Wiley: New York, NY, USA, 1985. [Google Scholar]
- Islam, M.R.; Virag, J.; Oyen, M.L. Micromechanical Poroelastic and Viscoelastic Properties of Ex-Vivo Soft Tissues. J. Biomech. 2020, 113, 110090. [Google Scholar] [CrossRef]
- Roeder, R.K. Mechanical Characterization of Biomaterials. In Characterization of Biomaterials; Bandyopadhyay, A., Bose, S., Eds.; Elsevier: Oxford, UK, 2013; pp. 49–104. ISBN 978-0-12-415800-9. [Google Scholar]
- Parker, K.J.; Szabo, T.; Holm, S. Towards a Consensus on Rheological Models for Elastography in Soft Tissues. Phys. Med. Biol. 2019, 64, 215012. [Google Scholar] [CrossRef] [PubMed]
- Zhou, X.; Yu, D.; Barrera, O. Mechanics Constitutive Models for Viscoelastic Solid Materials: Development and a Critical Review. Adv. Appl. Mech. 2023, 56, 189–321. [Google Scholar]
- Song, J.; Holten-Andersen, N.; McKinley, G.H. Non-Maxwellian Viscoelastic Stress Relaxations in Soft Matter. Soft Matter 2023, 19, 7885–7906. [Google Scholar] [CrossRef] [PubMed]
- Poul, S.S.; Ormachea, J.; Ge, G.R.; Parker, K.J. Comprehensive Experimental Assessments of Rheological Models’ Performance in Elastography of Soft Tissues. Acta Biomater. 2022, 146, 259–273. [Google Scholar] [CrossRef] [PubMed]
- Koruk, H. Identification, Modelling and Optimisation of Structures with Passive Damping Treatments. Ph.D. Thesis, Istanbul Technical University, Istanbul, Türkiye, 2013. [Google Scholar]
- Monkova, K.; Vasina, M.; Zaludek, M.; Monka, P.P.; Tkac, J. Mechanical Vibration Damping and Compression Properties of a Lattice Structure. Materials 2021, 14, 1502. [Google Scholar] [CrossRef]
- Koruk, H.; Sanliturk, K.Y. Damping Uncertainty Due to Noise and Exponential Windowing. J. Sound. Vib. 2011, 330, 5690–5706. [Google Scholar] [CrossRef]
- Jia, Y. Review of Nonlinear Vibration Energy Harvesting: Duffing, Bistability, Parametric, Stochastic and Others. J. Intell. Mater. Syst. Struct. 2020, 31, 921–944. [Google Scholar] [CrossRef]
- Ewins, D.J. Modal Testing: Theory, Practice and Application, 2nd ed.; Research Studies Press Ltd.: Somerset, UK, 2009. [Google Scholar]
- Liu, Q.; Wang, Y.; Sun, P.; Wang, D. Comparative Analysis of Viscous Damping Model and Hysteretic Damping Model. Appl. Sci. 2022, 12, 12107. [Google Scholar] [CrossRef]
- Sharma, S.; Shankar, V.; Joshi, Y.M. Viscoelasticity and Rheological Hysteresis. J. Rheol. 2023, 67, 139–155. [Google Scholar] [CrossRef]
- Chen, Z.; Zhong, X.; Shi, J.; Zhang, X. Damping-Enabling Technologies for Broadband Control of Piezo-Stages: A Survey. Annu. Rev. Control 2021, 52, 120–134. [Google Scholar] [CrossRef]
- Genc, G.; Koruk, H. Identification of the Dynamic Characteristics of Luffa Fiber Reinforced Bio-Composite Plates. BioResources 2017, 12, 5358–5368. [Google Scholar] [CrossRef][Green Version]
- Koruk, H.; Sanliturk, K.Y. A Novel Definition for Quantification of Mode Shape Complexity. J. Sound. Vib. 2013, 332, 3390–3403. [Google Scholar] [CrossRef]
- Treviso, A.; Van Genechten, B.; Mundo, D.; Tournour, M. Damping in Composite Materials: Properties and Models. Compos. B Eng. 2015, 78, 144–152. [Google Scholar] [CrossRef]
- Zhang, J.; Perez, R.J.; Lavernia, E.J. Documentation of Damping Capacity of Metallic, Ceramic and Metal-Matrix Composite Materials. J. Mater. Sci. 1993, 28, 2395–2404. [Google Scholar] [CrossRef]
- Sanliturk, K.Y.; Koruk, H. Development and Validation of a Composite Finite Element with Damping Capability. Compos. Struct. 2013, 97, 136–146. [Google Scholar] [CrossRef]
- Boiko, A.V.; Kulik, V.M.; Seoudi, B.M.; Chun, H.H.; Lee, I. Measurement Method of Complex Viscoelastic Material Properties. Int. J. Solids Struct. 2010, 47, 374–382. [Google Scholar] [CrossRef]
- Lu, Z.; Wang, Z.; Zhou, Y.; Lu, X. Nonlinear Dissipative Devices in Structural Vibration Control: A Review. J. Sound. Vib. 2018, 423, 18–49. [Google Scholar] [CrossRef]
- Escalante-Martínez, J.E.; Gómez-Aguilar, J.F.; Calderón-Ramón, C.; Morales-Mendoza, L.J.; Cruz-Orduña, I.; Laguna-Camacho, J.R. Experimental Evaluation of Viscous Damping Coefficient in the Fractional Underdamped Oscillator. Adv. Mech. Eng. 2016, 8, 1687814016643068. [Google Scholar] [CrossRef]
- Gröhlich, M.; Lang, A.; Böswald, M.; Meier, J. Viscoelastic Damping Design—Thermal Impact on a Constrained Layer Damping Treatment. Mater. Des. 2021, 207, 109885. [Google Scholar] [CrossRef]
- Zhang, B.; Li, Z.; Wu, H.; Nie, J. Research on Damping Performance and Strength of the Composite Laminate. Sci. Rep. 2021, 11, 18281. [Google Scholar] [CrossRef]
- Wu, B.; Liu, W.; Wu, X. A Damping Estimation Method Based on Power Ratio. Arch. Appl. Mech. 2018, 88, 1919–1927. [Google Scholar] [CrossRef]
- Arvinda Pandian, C.K.; Siddhi Jailani, H. Investigation of Viscoelastic Attributes and Vibrational Characteristics of Natural Fabrics-Incorporated Hybrid Laminate Beams. Polym. Bull. 2018, 75, 1997–2014. [Google Scholar] [CrossRef]
- Lee, E.-T.; Hong, Y.-S.; Eun, H.-C. Prediction of the Physical Properties of a Structural Member by the Impact Hammer Test. Sensors 2022, 22, 6762. [Google Scholar] [CrossRef] [PubMed]
- Koruk, H.; Saygili, Y.; Genc, G.; Sanliturk, K.Y. Identification of the Elastic and Damping Properties of Jute and Luffa Fiber-Reinforced Biocomposites. In Advances in Bio-Based Fiber; Rangappa, S.M., Puttegowda, M., Parameswaranpillai, J., Siengchin, S., Gorbatyuk, S.B.T., Eds.; Elsevier: Amsterdam, The Netherlands, 2022; pp. 447–473. ISBN 978-0-12-824543-9. [Google Scholar]
- Kiasat, S.; Nobari, A.S.; Filippi, M.; Carrera, E. Characterization of Viscoelastic Damping Mechanism in a Delaminated Structure. Mech. Syst. Signal Process 2024, 219, 111600. [Google Scholar] [CrossRef]
- Shaid Sujon, M.A.; Islam, A.; Nadimpalli, V.K. Damping and Sound Absorption Properties of Polymer Matrix Composites: A Review. Polym. Test. 2021, 104, 107388. [Google Scholar] [CrossRef]
- Khandavalli, S.; Rothstein, J.P. Large Amplitude Oscillatory Shear Rheology of Three Different Shear-Thickening Particle Dispersions. Rheol. Acta 2015, 54, 601–618. [Google Scholar] [CrossRef]
- Townsend, A.K.; Wilson, H.J. Small- and Large-Amplitude Oscillatory Rheometry with Bead–Spring Dumbbells in Stokesian Dynamics to Mimic Viscoelasticity. J. Non-Newton Fluid Mech. 2018, 261, 136–152. [Google Scholar] [CrossRef]
- Vasques, C.M.A.; Moreira, R.A.S.; Rodrigues, J. Viscoelastic Damping Technologies—Part I: Modeling and Finite Element Implementation. J. Adv. Res. Mech. Eng. 2010, 1, 76–95. [Google Scholar]
- Sangroniz, L.; Fernández, M.; Santamaria, A. Polymers and Rheology: A Tale of Give and Take. Polymer 2023, 271, 125811. [Google Scholar] [CrossRef]
- Wilson, H.J. Lecture Notes on Linear Viscoelasticity. Available online: https://www.ucl.ac.uk/~ucahhwi/GM05/ (accessed on 15 June 2022).
- COMSOL. Documentation—Mechanical Damping and Losses. Available online: https://doc.comsol.com/6.2/doc/com.comsol.help.sme/sme_ug_modeling.05.092.html (accessed on 1 June 2024).
- Liu, X.; Feng, Q. Statistical Energy Analysis of Tire/Road Noise. In Automotive Tire Noise and Vibrations; Wang, X., Ed.; Elsevier: Amsterdam, The Netherlands, 2020; pp. 271–296. ISBN 978-0-12-818409-7. [Google Scholar]
- Petrone, G.; D’Alessandro, V.; Franco, F.; De Rosa, S. Damping Evaluation on Eco-Friendly Sandwich Panels through Reverberation Time (RT60) Measurements. J. Vib. Control 2014, 21, 3328–3338. [Google Scholar] [CrossRef]
- Vergassola, G.; Boote, D.; Tonelli, A. On the Damping Loss Factor of Viscoelastic Materials for Naval Applications. Ships Offshore Struct. 2018, 13, 466–475. [Google Scholar] [CrossRef]
- Nering, K. Damping Problem of Numerical Simulation of Structural Reverberation Time. IOP Conf. Ser. Mater. Sci. Eng. 2020, 960, 042083. [Google Scholar] [CrossRef]
- Bolton, W. System Response. In Instrumentation and Control Systems; Bolton, W., Ed.; Elsevier: Amsterdam, The Netherlands, 2021; pp. 227–256. ISBN 978-0-12-823471-6. [Google Scholar]
- Adhikari, S. Structural Dynamic Analysis with Generalized Damping Models: Analysis; John Wiley & Sons: Hoboken, NJ, USA, 2013. [Google Scholar]
- Adhikari, S.; Woodhouse, J. Identification of Damping: Part 1, Viscous Damping. J. Sound. Vib. 2001, 243, 43–61. [Google Scholar] [CrossRef]
- Liu, M.; Gorman, D.G. Formulation of Rayleigh Damping and Its Extensions. Comput. Struct. 1995, 57, 277–285. [Google Scholar] [CrossRef]
- SOLIDWORKS. Documentation—Dynamic Analysis. Available online: https://help.solidworks.com/2016/english/SolidWorks/cworks/c_Rayleigh_Damping.htm (accessed on 1 June 2024).
- Zhang, W.; Taciroglu, E. A Novel Rayleigh-Type Viscoelastic Perfectly-Matched-Layer for Wave Propagation Analysis: Formulation, Implementation and Application. Comput. Methods Appl. Mech. Eng. 2021, 383, 113913. [Google Scholar] [CrossRef]
- Khan, N.U.; Babu, P.B. The Material Damping as Rayleigh Damping in the Vibrations of Square and Rectangular Metalic Plates. In Proceedings of the 2018 Advances in Science and Engineering Technology International Conferences (ASET), Dubai, Sharjah, Abu Dhabi, United Arab Emirates, 6 February–5 April 2018; pp. 1–6. [Google Scholar]
- Sun, J.; Wu, Y.; Xi, X.; Zhang, Y.; Wu, X. Analysis of the Damping Characteristics of Cylindrical Resonators Influenced by Piezoelectric Electrodes. Sensors 2017, 17, 1017. [Google Scholar] [CrossRef]
- Dehghan-Niri, M.; Vasheghani-Farahani, E.; Baghaban Eslaminejad, M.; Tavakol, M.; Bagheri, F. Physicomechanical, Rheological and in Vitro Cytocompatibility Properties of the Electron Beam Irradiated Blend Hydrogels of Tyramine Conjugated Gum Tragacanth and Poly (Vinyl Alcohol). Mater. Sci. Eng. C 2020, 114, 111073. [Google Scholar] [CrossRef]
- Das, R.; Kumar, A.; Patel, A.; Vijay, S.; Saurabh, S.; Kumar, N. Biomechanical Characterization of Spider Webs. J. Mech. Behav. Biomed. Mater. 2017, 67, 101–109. [Google Scholar] [CrossRef]
- Bhatt, M.; Moussu, M.A.C.; Chayer, B.; Destrempes, F.; Gesnik, M.; Allard, L.; Tang, A.; Cloutier, G. Reconstruction of Viscosity Maps in Ultrasound Shear Wave Elastography. IEEE Trans. Ultrason. Ferroelectr. Freq. Control 2019, 66, 1065–1078. [Google Scholar] [CrossRef]
- Kazemirad, S.; Bernard, S.; Hybois, S.; Tang, A.; Cloutier, G. Ultrasound Shear Wave Viscoelastography: Model-Independent Quantification of the Complex Shear Modulus. IEEE Trans. Ultrason. Ferroelectr. Freq. Control 2016, 63, 1399–1408. [Google Scholar] [CrossRef]
- Budelli, E.; Brum, J.; Bernal, M.; Deffieux, T.; Tanter, M.; Lema, P.; Negreira, C.; Gennisson, J.-L. A Diffraction Correction for Storage and Loss Moduli Imaging Using Radiation Force Based Elastography. Phys. Med. Biol. 2017, 62, 91–106. [Google Scholar] [CrossRef] [PubMed]
- Osika, M.; Kijanka, P. Ultrasound Shear Wave Propagation Modeling in General Tissue–Like Viscoelastic Materials. Ultrasound Med. Biol. 2024, 50, 627–638. [Google Scholar] [CrossRef] [PubMed]
- Reiter, R.; Shahryari, M.; Tzschätzsch, H.; Haas, M.; Bayerl, C.; Siegmund, B.; Hamm, B.; Asbach, P.; Braun, J.; Sack, I. Influence of Fibrosis Progression on the Viscous Properties of in Vivo Liver Tissue Elucidated by Shear Wave Dispersion in Multifrequency MR Elastography. J. Mech. Behav. Biomed. Mater. 2021, 121, 104645. [Google Scholar] [CrossRef] [PubMed]
- Majumdar, S.; Klatt, D. Longitudinal Study of Sub-regional Cerebral Viscoelastic Properties of 5XFAD Alzheimer’s Disease Mice Using Multifrequency MR Elastography. Magn. Reson. Med. 2021, 86, 405–414. [Google Scholar] [CrossRef]











| Material | Method | Damping Parameter | Reference, Year |
|---|---|---|---|
| Agar gels | Dynamic indentation | Complex modulus | Nayar et al. [30], 2012 |
| Human skin | Dynamic indentation | Viscous damping coefficient | Boyer et al. [49], 2009 |
| Cells | Atomic force microscope | Complex modulus | Cartagena-Rivera et al. [50], 2015 |
| Cells | Rheometer | Complex modulus | Dakhil et al. [31], 2016 |
| Cellulose nanocrystal dispersions | Capillary viscometer | Viscosity | Peng et al. [32], 2018 |
| Polyacrylamide gels | Resonant vibration test | Viscous damping ratio | Wang et al. [33], 2020 |
| Silicon rubber samples | Hysteresis loop | Viscous damping coefficient | Esmaeel et al. [36], 2021 |
| Microsperma | Vibration test | Logarithmic decrement | Miao et al. [47], 2021 |
| Gelatine phantom | Acoustic particle palpation | Viscosity | Bezer et al. [34], 2021 |
| Human aorta | Hysteresis loop | Loss factor | Shahmansouri et al. [51], 2016 |
| Bovine nucleus pulposus | Hysteresis loop | Specific damping capacity | Vogel and Pioletti [52], 2012 |
| Human liver | Ultrasound elastography | Viscosity | Chen at al. [69], 2013 |
| Human liver | Magnetic resonance elastography | Loss angle | Wang et al. [67], 2024 |
| Parameter | Symbol | Definition/Explanation | |
|---|---|---|---|
| Specific damping capacity | : area captured within the hysteresis loop : maximum stored energy | ||
| Loss factor | |||
| Complex Young’s modulus (unit: Pa) | : storage Young’s modulus : loss Young’s modulus | ||
| Complex shear modulus (unit: Pa) | : storage shear modulus : loss shear modulus | ||
| Logarithmic decrement | : amplitude of peak : amplitude of peak | ||
| Viscous damping ratio | : viscous damping coefficient : critical viscous damping coefficient | ||
| Half-power bandwidth (unit: Hz) | : lower half-power frequency : higher half-power frequency | ||
| Inverse quality factor | : quality factor : natural frequency | ||
| Phase lag (unit: radian) | : phase angle between the stress () and strain () | ||
| Shear viscosity (unit: Pa·s) | : shear stress : shear strain rate : time | ||
| Structural reverberation time (unit: s) | : 60 dB decay time | ||
| Decay ratio | and : amplitudes of the first and second peaks in step response, respectively | ||
| Measured Parameter(s) | Target Parameter(s) | |
|---|---|---|
| Dissipated energy) | Viscous damping coefficient (): | : displacement amplitude : frequency in Hz : frequency in rad/s |
| Dissipated energy) and maximum stored energy () | Specific damping capacity (): | |
| Loss factor (): | ||
| Logarithmic decrement | Viscous damping ratio (): (approx. for small damping, ) | |
| Loss modulus and storage modulus | Loss factor (): | |
| Half-power bandwidth) (: lower half-power frequency; : higher half-power frequency; : natural frequency; : quality factor) | Viscous damping ratio () and inverse quality factor (): (approx. for small damping, ) or (approx. for small damping, ) | |
| Loss factor () and inverse quality factor (): (approx. for small and medium damping, ) | ||
| Phase lag) | Viscous damping ratio (): (at ) | : natural frequency : excitation frequency |
| Loss factor (): | ||
| Loss factor) | Viscous damping ratio (): (approx. for small damping, ) | |
| Inverse quality factor (): (approx. for small and medium damping, ) | ||
| Loss modulus) | Viscosity (): | : frequency in rad/s |
| Structural reverberation time) | Loss factor (): | : frequency in Hz : frequency in rad/s |
Disclaimer/Publisher’s Note: The statements, opinions and data contained in all publications are solely those of the individual author(s) and contributor(s) and not of MDPI and/or the editor(s). MDPI and/or the editor(s) disclaim responsibility for any injury to people or property resulting from any ideas, methods, instructions or products referred to in the content. |
© 2024 by the authors. Licensee MDPI, Basel, Switzerland. This article is an open access article distributed under the terms and conditions of the Creative Commons Attribution (CC BY) license (https://creativecommons.org/licenses/by/4.0/).
Share and Cite
Koruk, H.; Rajagopal, S. A Comprehensive Review on the Viscoelastic Parameters Used for Engineering Materials, Including Soft Materials, and the Relationships between Different Damping Parameters. Sensors 2024, 24, 6137. https://doi.org/10.3390/s24186137
Koruk H, Rajagopal S. A Comprehensive Review on the Viscoelastic Parameters Used for Engineering Materials, Including Soft Materials, and the Relationships between Different Damping Parameters. Sensors. 2024; 24(18):6137. https://doi.org/10.3390/s24186137
Chicago/Turabian StyleKoruk, Hasan, and Srinath Rajagopal. 2024. "A Comprehensive Review on the Viscoelastic Parameters Used for Engineering Materials, Including Soft Materials, and the Relationships between Different Damping Parameters" Sensors 24, no. 18: 6137. https://doi.org/10.3390/s24186137
APA StyleKoruk, H., & Rajagopal, S. (2024). A Comprehensive Review on the Viscoelastic Parameters Used for Engineering Materials, Including Soft Materials, and the Relationships between Different Damping Parameters. Sensors, 24(18), 6137. https://doi.org/10.3390/s24186137

