Self-Supervised Dam Deformation Anomaly Detection Based on Temporal–Spatial Contrast Learning
Abstract
1. Introduction
2. Methodology
2.1. Self-Supervised Learning and Contrastive Learning
2.2. Implementation Details
2.2.1. Data Processing
2.2.2. TSCLP for DHM
Stage 1: Data Augmentation
Stage 2: Temporal Contrast Module
Stage 3: Spatial Contrast Module
2.2.3. Implementation Procedures of TSCLP
| Algorithm 1: temporal and spatial contrast training. |
| Input: sample x, constant t, k, n, weight λ1, λ2, |
| 1 Randomly initialize model parameters |
| do: |
| 3 //data augmentation |
| 6 //Forward calculation |
| do: |
| 13 end |
| 16 end |
| and negative sample in x |
| 19 Update model by L |
| Output: Encoder parameters |
2.2.4. Fine-Tuning and Anomaly Detection
2.3. Performance Evaluation Metrics
3. Case Study
3.1. Data Collection and Processing
3.2. Implementation Details
3.3. Anomaly Detection
3.4. Result Analysis
3.5. Comparison with Other Methods
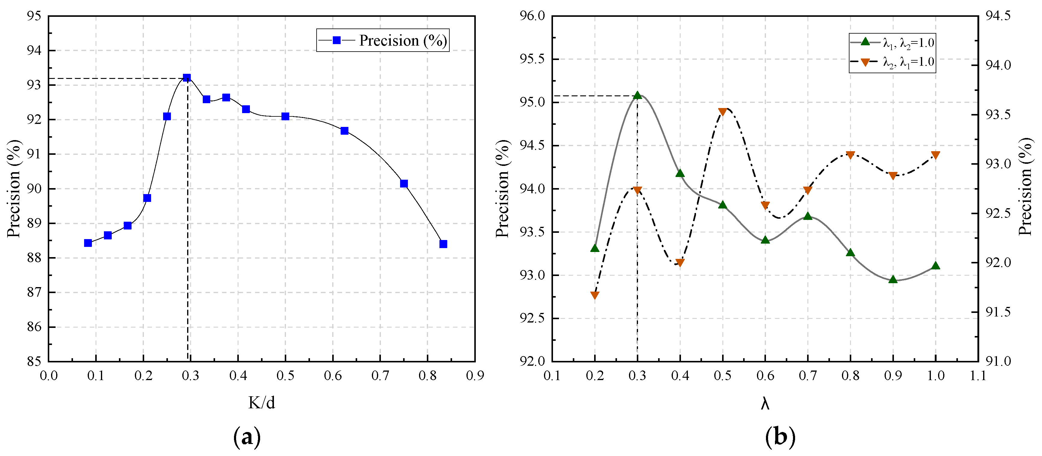
3.6. Sensitivity Analysis of Parameters
4. Conclusions
Author Contributions
Funding
Institutional Review Board Statement
Informed Consent Statement
Data Availability Statement
Conflicts of Interest
References
- La Mendola, L.; Oddo, M.C.; Cucchiara, C.; Granata, M.F.; Barile, S.; Pappalardo, F.; Pennisi, A. Experimental Investigation on Innovative Stress Sensors for Existing Masonry Structures Monitoring. Appl. Sci. 2023, 13, 3712. [Google Scholar] [CrossRef]
- Bertagnoli, G.; Malavisi, M.; Mancini, G. Large Scale Monitoring System for Existing Structures and Infrastructures. IOP Conf. Ser. Mater. Sci. Eng. 2019, 603, 052042. [Google Scholar] [CrossRef]
- Ren, Q.; Li, M.; Li, H.; Shen, Y. A novel deep learning prediction model for concrete dam displacements using interpretable mixed attention mechanism. Adv. Eng. Inform. 2021, 50, 101407. [Google Scholar] [CrossRef]
- Mata, J.; Gomes, J.P.; Pereira, S.; Magalhães, F.; Cunha, Á. Analysis and interpretation of observed dynamic behaviour of a large concrete dam aided by soft computing and machine learning techniques. Eng. Struct. 2023, 296, 116940. [Google Scholar] [CrossRef]
- Wang, Y.; Liu, G. MLA-TCN: Multioutput Prediction of Dam Displacement Based on Temporal Convolutional Network with Attention Mechanism. Struct. Control Health Monit. 2023, 2023, 2189912. [Google Scholar] [CrossRef]
- Li, M.; Li, M.; Ren, Q.; Li, H.; Song, L. DRLSTM: A dual-stage deep learning approach driven by raw monitoring data for dam displacement prediction. Adv. Eng. Inform. 2022, 51, 101510. [Google Scholar] [CrossRef]
- Zhiyao, L.; Yong, D.; Denghua, L. Coupling VMD and MSSA denoising for dam deformation prediction. Structures 2023, 58, 105503. [Google Scholar] [CrossRef]
- Li, X.; Li, Y.; Lu, X.; Wang, Y.; Zhang, H.; Zhang, P. An online anomaly recognition and early warning model for dam safety monitoring data. Struct. Health Monit. 2020, 19, 796–809. [Google Scholar] [CrossRef]
- Han, Z.; Chen, J.; Zhang, F.; Gao, Z.; Huang, H.; Li, Y. An efficient online outlier recognition method of dam monitoring data based on improved M-robust regression. Struct. Health Monit. 2023, 22, 581–599. [Google Scholar] [CrossRef]
- Xu, Y.; Huang, H.; Li, Y.; Zhou, J.; Lu, X.; Wang, Y. A three-stage online anomaly identification model for monitoring data in dams. Struct. Health Monit. 2022, 21, 1183–1206. [Google Scholar] [CrossRef]
- Zhang, F.; Lu, X.; Li, Y.; Gao, Z.; Zhang, H.; Huang, H. A self-matching model for online anomaly recognition of safety monitoring data in dams. Struct. Health Monit. 2022, 22, 746–773. [Google Scholar] [CrossRef]
- Salazar, F.; Morán, R.; Toledo, M.; Oñate, E. Data-Based Models for the Prediction of Dam Behaviour: A Review and Some Methodological Considerations. Arch. Comput. Methods Eng. 2017, 24, 1–21. [Google Scholar] [CrossRef]
- Salazar, F.; Toledo, M.Á.; González, J.M.; Oñate, E. Early detection of anomalies in dam performance: A methodology based on boosted regression trees. Struct. Control Health Monit. 2017, 24, e2012. [Google Scholar] [CrossRef]
- Salazar, F.; Conde, A.; Irazábal, J.; Vicente, D.J. Anomaly Detection in Dam Behaviour with Machine Learning Classification Models. Water 2021, 13, 37–54. [Google Scholar] [CrossRef]
- Tuli, S.; Casale, G.; Jennings, N.R. TranAD: Deep Transformer Networks for Anomaly Detection in Multivariate Time Series Data. arXiv 2022, arXiv:2201.07284. [Google Scholar] [CrossRef]
- Zong, B.; Song, Q.; Min, M.R.; Cheng, W.; Lumezanu, C.; Cho, D.; Chen, H. Deep autoencoding Gaussian mixture model for unsupervised anomaly detection. In Proceedings of the 6th International Conference on Learning Representations, ICLR 2018, Vancouver, BC, Canada, 30 April–3 May 2018; pp. 1–19. [Google Scholar]
- Ahmad, S.; Lavin, A.; Purdy, S.; Agha, Z. Unsupervised real-time anomaly detection for streaming data. Neurocomputing 2017, 262, 134–147. [Google Scholar] [CrossRef]
- Xu, J.; Wu, H.; Wang, J.; Long, M. Anomaly Transformer: Time Series Anomaly Detection with Association Discrepancy. arXiv 2021, arXiv:2110.02642. [Google Scholar]
- Pereira, J.; Silveira, M. Unsupervised Anomaly Detection in Energy Time Series Data Using Variational Recurrent Autoencoders with Attention. In Proceedings of the 17th IEEE International Conference on Machine Learning Applications ICMLA, Orlando, FL, USA, 17–20 December 2018; pp. 1275–1282. [Google Scholar]
- Zheng, P.; Yuan, S.; Wu, X.; Li, J.; Lu, A. One-class adversarial nets for fraud detection. Proc. AAAI Conf. Artif. Intell. 2019, 33, 1286–1293. [Google Scholar] [CrossRef]
- Deng, Y.; Zhao, Y.; Ju, H.; Yi, T.H.; Li, A. Abnormal data detection for structural health monitoring: State-of-the-art review. Dev. Built Environ. 2024, 17, 100337. [Google Scholar] [CrossRef]
- Shao, C.; Zheng, S.; Gu, C.; Hu, Y.; Qin, X. A novel outlier detection method for monitoring data in dam engineering. Expert Syst. Appl. 2022, 193, 116476. [Google Scholar] [CrossRef]
- Rong, Z.; Pang, R.; Xu, B.; Zhou, Y. Dam safety monitoring data anomaly recognition using multiple-point model with local outlier factor. Autom. Constr. 2024, 159, 105290. [Google Scholar] [CrossRef]
- Ji, L.; Zhang, X.; Zhao, Y.; Li, Z. Anomaly Detection of Dam Monitoring Data based on Improved Spectral Clustering. J. Internet Technol. 2022, 23, 749–759. [Google Scholar]
- Su, H.; Wen, Z.; Sun, X.; Yan, X. Multisource information fusion-based approach diagnosing structural behavior of dam engineering. Struct. Control Health Monit. 2018, 25, e2073. [Google Scholar] [CrossRef]
- Dong, K.; Yang, D.; Yan, J.; Sheng, J.; Mi, Z.; Lu, X.; Peng, X. Anomaly identification of monitoring data and safety evaluation method of tailings dam. Front. Earth Sci. 2022, 10, 1016458. [Google Scholar] [CrossRef]
- Liu, C.; Pan, J.; Wang, J. An LSTM-based anomaly detection model for the deformation of concrete dams. Struct. Health Monit. 2023, 23, 1914–1925. [Google Scholar] [CrossRef]
- Zheng, S.; Shao, C.; Gu, C.; Xu, Y. An automatic data process line identification method for dam safety monitoring data outlier detection. Struct. Control Health Monit. 2022, 29, e2948. [Google Scholar] [CrossRef]
- An, J.; Cho, S. Variational autoencoder based anomaly detection using reconstruction probability. Pharm. Chem. J. 1986, 20, 404–406. [Google Scholar]
- Zhou, Y.; Shu, X.; Bao, T.; Li, Y.; Zhang, K. Dam safety assessment through data-level anomaly detection and information fusion. Struct. Health Monit. 2023, 22, 2002–2021. [Google Scholar] [CrossRef]
- Shu, X.; Bao, T.; Xu, R.; Li, Y.; Zhang, K. Dam anomaly assessment based on sequential variational autoencoder and evidence theory. Appl. Math. Model. 2021, 98, 576–594. [Google Scholar] [CrossRef]
- Shu, X.; Bao, T.; Zhou, Y.; Xu, R.; Li, Y.; Zhang, K. Unsupervised dam anomaly detection with spatial–temporal variational autoencoder. Struct. Health Monit. 2023, 22, 39–55. [Google Scholar] [CrossRef]
- Liu, J.; Song, K.; Feng, M.; Yan, Y.; Tu, Z.; Zhu, L. Semi-supervised anomaly detection with dual prototypes autoencoder for industrial surface inspection. Opt. Lasers Eng. 2021, 136, 106324. [Google Scholar] [CrossRef]
- Vercruyssen, V.; Meert, W.; Verbruggen, G.; Maes, K.; Baumer, R.; Davis, J. Semi-Supervised Anomaly Detection with an Application to Water Analytics. In Proceedings of the 2018 IEEE International Conference on Data Mining (ICDM), Singapore, 17–20 November 2018; pp. 527–536. [Google Scholar]
- Jaiswal, A.; Babu, A.R.; Zadeh, M.Z.; Banerjee, D.; Makedon, F. A survey on contrastive self-supervised learning. Technologies 2020, 9, 2. [Google Scholar] [CrossRef]
- Liu, X.; Zhang, F.; Hou, Z.; Mian, L.; Wang, Z.; Zhang, J.; Tang, J. Self-Supervised Learning: Generative or Contrastive. IEEE Trans. Knowl. Data Eng. 2023, 35, 857–876. [Google Scholar] [CrossRef]
- Goodfellow, I.; Pouget-Abadie, J.; Mirza, M.; Xu, B.; Warde-Farley, D.; Ozair, S.; Courville, A.; Bengio, Y. Generative adversarial networks. Commun. ACM 2014, 63, 139–144. [Google Scholar] [CrossRef]
- Schubert, E.; Sander, J.; Ester, M.; Kriegel, H.P.; Xu, X. Why and How You Should (Still) Use DBSCAN. ACM Trans. Database Syst. 2017, 42, 19. [Google Scholar] [CrossRef]
- Reynolds, D.A. Encyclopedia of Biometrics; Springer New York: New York, NY, USA, 2009; pp. 659–663. [Google Scholar]
- Chen, X.; He, K. Exploring simple Siamese representation learning. In Proceedings of the 2021 IEEE/CVF Conference on Computer Vision and Pattern Recognition (CVPR), Nashville, TN, USA, 20–25 June 2021; pp. 15745–15753. [Google Scholar]
- Caron, M.; Misra, I.; Mairal, J.; Goyal, P.; Bojanowski, P.; Joulin, A. Unsupervised learning of visual features by contrasting cluster assignments. Adv. Neural Inf. Process. Syst. 2020, 33, 9912–9924. [Google Scholar]
- Tian, Y.; Sun, C.; Poole, B.; Krishnan, D.; Schmid, C.; Isola, P. What makes for good views for contrastive learning? Adv. Neural Inf. Process. Syst. 2020, 33, 6827–6839. [Google Scholar]
- Eldele, E.; Ragab, M.; Chen, Z.; Wu, M.; Kwoh, C.K.; Li, X.; Guan, C. Time-Series Representation Learning via Temporal and Contextual Contrasting. In Proceedings of the Thirtieth International Joint Conference on Artificial Intelligence, Montreal, QC, Canada, 19–27 August 2021; pp. 2352–2359. [Google Scholar]
- Spyromitros-Xioufis, E.; Tsoumakas, G.; Groves, W.; Vlahavas, I. Multi-target regression via input space expansion: Treating targets as inputs. Mach. Learn. 2016, 104, 55–98. [Google Scholar] [CrossRef]
- Chen, S.; Gu, C.; Lin, C.; Hariri-Ardebili, M.A. Prediction of arch dam deformation via correlated multi-target stacking. Appl. Math. Model. 2021, 91, 1175–1193. [Google Scholar] [CrossRef]
- Chen, T.; Kornblith, S.; Norouzi, M.; Hinton, G. A simple framework for contrastive learning of visual representations. In Proceedings of the 37th International Conference on Machine Learning, ICML 2020, Online, 13–18 July 2020; pp. 1575–1585. [Google Scholar]
- Vaswani, A.; Shazeer, N.; Parmar, N.; Uszkoreit, J.; Jones, L.; Gomez, A.N.; Kaiser, L.; Polosukhin, I. Attention is all you need. Neural Inf. Process. Syst. 2017. [Google Scholar] [CrossRef]














| Hyperparameter | Pre-Train | Downstream Task |
|---|---|---|
| Batch size | 32 | 32 |
| Optimizer | Adam | Adam |
| Learning rate | 0.0001 | 0.0001 |
| Weight decay | 0.0001 | 0.0001 |
| 0.9 | 0.9 | |
| 0.99 | 0.99 | |
| Epoch | 100 | 40 |
| Timestep | 10 | 10 |
| 1 | - | |
| 0.7 | - | |
| τ | 0.2 | - |
| Measurement Points | Train Set and Valid Set (%) | Test Set (%) | ||||||
|---|---|---|---|---|---|---|---|---|
| Acc | Precision | Recall | Acc | Precision | Recall | |||
| A09-PL-01 | 97.79 | 92.01 | 73.23 | 79.71 | 99.80 | 99.90 | 87.50 | 92.81 |
| A09-PL-02 | 99.76 | 99.24 | 98.62 | 98.93 | 100.00 | 100.00 | 100.00 | 100.00 |
| A15-PL-01 | 99.76 | 99.13 | 98.41 | 98.77 | 100.00 | 100.00 | 100.00 | 100.00 |
| A15-PL-02 | 98.85 | 99.41 | 86.32 | 91.78 | 99.80 | 99.90 | 75.00 | 83.28 |
| A15-PL-03 | 99.72 | 99.86 | 94.93 | 97.26 | 99.60 | 99.80 | 75.00 | 83.23 |
| A15-PL-04 | 99.92 | 99.42 | 99.42 | 99.42 | 99.80 | 90.00 | 99.90 | 94.39 |
| A15-PL-05 | 99.84 | 99.92 | 97.22 | 98.53 | 99.80 | 99.90 | 91.67 | 95.40 |
| A19-PL-01 | 99.09 | 98.52 | 93.61 | 95.91 | 99.01 | 91.27 | 77.68 | 83.08 |
| A19-PL-02 | 99.05 | 97.92 | 92.56 | 95.06 | 100.00 | 100.00 | 100.00 | 100.00 |
| A19-PL-03 | 99.05 | 97.92 | 92.56 | 95.06 | 100.00 | 100.00 | 100.00 | 100.00 |
| A19-PL-04 | 99.76 | 98.76 | 98.76 | 98.76 | 100.00 | 100.00 | 100.00 | 100.00 |
| A19-PL-05 | 99.57 | 97.79 | 96.42 | 97.09 | 100.00 | 100.00 | 100.00 | 100.00 |
| A19-PL-06 | 99.88 | 99.01 | 99.47 | 99.24 | 100.00 | 100.00 | 100.00 | 100.00 |
| A22-PL-01 | 99.45 | 98.17 | 96.04 | 97.08 | 99.60 | 97.40 | 97.40 | 97.40 |
| A22-PL-02 | 99.88 | 99.94 | 99.11 | 99.52 | 100.00 | 100.00 | 100.00 | 100.00 |
| A22-PL-03 | 99.88 | 99.32 | 98.71 | 99.01 | 100.00 | 100.00 | 100.00 | 100.00 |
| A22-PL-04 | 99.88 | 99.12 | 99.52 | 99.32 | 100.00 | 100.00 | 100.00 | 100.00 |
| A22-PL-05 | 99.76 | 98.79 | 97.76 | 98.27 | 100.00 | 100.00 | 100.00 | 100.00 |
| A25-PL-01 | 98.42 | 99.12 | 92.98 | 95.78 | 99.21 | 99.60 | 66.67 | 74.80 |
| A25-PL-02 | 98.50 | 99.20 | 90.05 | 94.07 | 99.80 | 99.90 | 91.67 | 95.40 |
| A25-PL-03 | 98.54 | 99.19 | 93.71 | 96.23 | 99.80 | 99.90 | 98.21 | 99.04 |
| A25-PL-04 | 99.68 | 99.84 | 94.81 | 97.18 | 99.60 | 99.80 | 75.00 | 83.23 |
| A25-PL-05 | 99.68 | 99.84 | 94.81 | 97.18 | 99.60 | 99.80 | 75.00 | 83.23 |
| A25-PL-06 | 100.00 | 100.00 | 100.00 | 100.00 | 100.00 | 100.00 | 100.00 | 100.00 |
| A29-PL-01 | 99.33 | 98.67 | 96.65 | 97.63 | 99.21 | 50.00 | 100.00 | 66.67 |
| A29-PL-02 | 99.60 | 99.27 | 95.48 | 97.29 | 100.00 | 100.00 | 100.00 | 100.00 |
| A29-PL-03 | 99.49 | 99.73 | 94.40 | 96.90 | 100.00 | 100.00 | 100.00 | 100.00 |
| A29-PL-04 | 99.72 | 98.02 | 97.44 | 97.73 | 99.80 | 99.90 | 91.67 | 95.40 |
| A29-PL-05 | 99.96 | 99.98 | 99.54 | 99.76 | 100.00 | 100.00 | 100.00 | 100.00 |
| A35-PL-01 | 98.46 | 98.45 | 95.03 | 96.65 | 99.80 | 99.90 | 92.86 | 96.10 |
| A35-PL-02 | 98.02 | 98.25 | 78.49 | 85.60 | 99.41 | 49.70 | 50.00 | 49.85 |
Disclaimer/Publisher’s Note: The statements, opinions and data contained in all publications are solely those of the individual author(s) and contributor(s) and not of MDPI and/or the editor(s). MDPI and/or the editor(s) disclaim responsibility for any injury to people or property resulting from any ideas, methods, instructions or products referred to in the content. |
© 2024 by the authors. Licensee MDPI, Basel, Switzerland. This article is an open access article distributed under the terms and conditions of the Creative Commons Attribution (CC BY) license (https://creativecommons.org/licenses/by/4.0/).
Share and Cite
Wang, Y.; Liu, G. Self-Supervised Dam Deformation Anomaly Detection Based on Temporal–Spatial Contrast Learning. Sensors 2024, 24, 5858. https://doi.org/10.3390/s24175858
Wang Y, Liu G. Self-Supervised Dam Deformation Anomaly Detection Based on Temporal–Spatial Contrast Learning. Sensors. 2024; 24(17):5858. https://doi.org/10.3390/s24175858
Chicago/Turabian StyleWang, Yu, and Guohua Liu. 2024. "Self-Supervised Dam Deformation Anomaly Detection Based on Temporal–Spatial Contrast Learning" Sensors 24, no. 17: 5858. https://doi.org/10.3390/s24175858
APA StyleWang, Y., & Liu, G. (2024). Self-Supervised Dam Deformation Anomaly Detection Based on Temporal–Spatial Contrast Learning. Sensors, 24(17), 5858. https://doi.org/10.3390/s24175858

