Next Article in Journal
Variable Structure Controller for Energy Savings in an Underwater Sensor Platform
Next Article in Special Issue
Data-Aided Maximum Likelihood Joint Angle and Delay Estimator Over Orthogonal Frequency Division Multiplex Single-Input Multiple-Output Channels Based on New Gray Wolf Optimization Embedding Importance Sampling
Previous Article in Journal
Analytical Performance of the FreeStyle Libre 2 Glucose Sensor in Healthy Male Adults
Previous Article in Special Issue
Asynchronous Code Division Multiplexing-Based Visible Light Positioning and Communication Network Using Successive Interference Cancellation Decoding
 
 
Font Type:
Arial Georgia Verdana
Font Size:
Aa Aa Aa
Line Spacing:
Column Width:
Background:
Article

Energy Performance of LR-FHSS: Analysis and Evaluation

by
Roger Sanchez-Vital
*,
Lluís Casals
,
Bartomeu Heer-Salva
,
Rafael Vidal
,
Carles Gomez
and
Eduard Garcia-Villegas
Department of Network Engineering, Universitat Politècnica de Catalunya, C/Esteve Terradas, 7, 08860 Castelldefels, Spain
*
Author to whom correspondence should be addressed.
Sensors 2024, 24(17), 5770; https://doi.org/10.3390/s24175770
Submission received: 9 August 2024 / Revised: 30 August 2024 / Accepted: 4 September 2024 / Published: 5 September 2024
(This article belongs to the Special Issue Feature Papers in the 'Sensor Networks' Section 2024)

Abstract

Long-range frequency hopping spread spectrum (LR-FHSS) is a pivotal advancement in the LoRaWAN protocol that is designed to enhance the network’s capacity and robustness, particularly in densely populated environments. Although energy consumption is paramount in LoRaWAN-based end devices, this is the first study in the literature, to our knowledge, that models the impact of this novel mechanism on energy consumption. In this article, we provide a comprehensive energy consumption analytical model of LR-FHSS, focusing on three critical metrics: average current consumption, battery lifetime, and energy efficiency of data transmission. The model is based on measurements performed on real hardware in a fully operational LR-FHSS network. While in our evaluation, LR-FHSS can show worse consumption figures than LoRa, we find that with optimal configuration, the battery lifetime of LR-FHSS end devices can reach 2.5 years for a 50 min notification period. For the most energy-efficient payload size, this lifespan can be extended to a theoretical maximum of up to 16 years with a one-day notification interval using a cell-coin battery.

1. Introduction

In the last decade, low-power wide Area networks (LPWANs) have emerged as a family of long-range, low-power communication technologies suitable for many Internet of Things (IoT) applications [1,2,3].
LoRaWAN has arisen as one of the most popular LPWAN technologies, with around one billion devices predicted to use this technology in the near future [4,5,6]. In order to expand the capabilities of LoRaWAN, the LoRa Alliance recently introduced a new physical layer called long-range frequency hopping spread spectrum (LR-FHSS) [7]. Exploiting techniques such as intrapacket fragmentation, frequency diversity, and increased transmission redundancy, LR-FHSS is expected to enable network deployments with greater node density, robustness, and coverage [7,8,9,10,11,12,13,14].
One particularly promising use case for LR-FHSS is direct-to-satellite IoT (DtS-IoT), which is a field with significant momentum [7,8,9,10,11,12,13,14,15,16,17]. DtS-IoT provides communication means for IoT devices in remote areas, where terrestrial network infrastructure may not be feasible or practical to deploy. In DtS-IoT, when an IoT device is visited by a satellite, the former can transmit frames (e.g., carrying sensed data) to the latter, which can act as a gateway.
Since the power grid is not available for many IoT devices in general, and especially for those using LR-FHSS, such devices often need to rely on a limited energy source, such as a simple battery or energy harvesting (based on either natural sources or wireless transmission systems [18]). Therefore, although energy efficiency is not the main objective of the mechanism, determining the energy performance of LR-FHSS is crucial. However, to our knowledge, the present paper is the first study that has specifically addressed this topic.
In this paper, we provide a detailed analytical model of the current consumption of an LR-FHSS IoT device (end device, in LoRaWAN terminology), derived from measurements on real hardware within a complete LoRaWAN network (i.e., including an end device, gateway, and network server) supporting LR-FHSS. This represents the first such model in the academic literature. We also use the model to determine the lifetime of a battery-operated device and the energy efficiency of data transmission with LR-FHSS. In addition, we compare the energy performance of LR-FHSS with that of classic LoRaWAN physical layer alternatives. The evaluation results present trade-offs that depend on the data rate (DR), operational mode, and payload sizes for every performance metric. Among other findings, the results show that battery lifetime can approach 2.5 years with a 50 min notification interval when utilizing the proper configuration and can even reach a theoretical maximum of up to 16 years with a more infrequent interval of 1 day between messages for the most energy-efficient packet size.
The remainder of the paper is organized as follows. Section 2 reviews related work. Section 3 provides background concepts on LoRaWAN and LR-FHSS. Section 4 presents our model, which is used in Section 5 to evaluate and discuss the current consumption, battery lifetime, and energy efficiency of an LR-FHSS end device. Finally, Section 6 concludes the paper.

2. Related Work

This section provides an overview of the literature related to LR-FHSS, with a particular focus on energy consumption. As aforementioned, energy consumption is a critical feature in IoT. For LoRaWAN, some detailed energy consumption models have been published [19,20,21]. However, there is only one contribution that models LR-FHSS energy consumption, and it only focuses on uplink transmission (i.e., it does not model the complete LoRaWAN transmission procedure) [22].
The body of work on LR-FHSS has recently increased [7,8,9,10,11,12,13,14,23,24]. Most of the studies on LR-FHSS predominantly investigate its known strengths—namely, coverage and scalability—when applied to its main use case, DtS-IoT [8,9,10,11]. Only three published works give some attention to the energy consumption performance of LR-FHSS [12,13,25].
Using a custom-made simulator, the authors of [12] concluded that LR-FHSS can improve the deployment scalability by a factor of 75x at the expense of 30% higher device power consumption compared to the legacy LoRa modulation. However, this comparison is only based on the transmission time-on-air of the different physical layer approaches considered, which misses several significant contributions to energy consumption (see Section 4). In another work [13], the impact of the frequency hopping sequence (FHS) in LR-FHSS was studied using a LoRaWAN Class B end device based on commercial transceivers and an SDR-based gateway. For a very specific setup and two FHS proposals, energy efficiency results were provided, with an increase of 5.20 times for the proposed dynamic frequency hopping (DFH) scheme compared to a tailor-made transmit power control method. However, it is not clear how the authors determined the energy consumption to derive those results. Finally, a technical report released by the LR-FHSS chip manufacturer presents the characteristics of the technology and provides several performance figures, including the power consumption and battery lifetime of an LR-FHSS end device [25]. However, the results were obtained by using a limited set of states based on current consumption values of unknown origin, and the model used to produce the results is not given.
The authors of [22] provided a study on energy consumption of LR-FHSS. However, they only modeled LR-FHSS in the uplink and did not account for a complete LoRaWAN-based transmission procedure; they also included acknowledged and unacknowledged procedures. Furthermore, in the present paper, we also study the energy efficiency of LoRaWAN with LR-FHSS and compare its performance with that of LoRaWAN using the legacy LoRa PHY.
Therefore, to the best of our knowledge, the present paper is the first to provide a detailed energy consumption model that allows for the prediction of the current consumption, the battery lifetime, and the energy efficiency of an LR-FHSS end device.

3. Overview of LoRaWAN and LR-FHSS

Created by the LoRa Alliance [26], the LoRaWAN protocol defines the media access control (MAC) layer and provides extensive networking capabilities to enable long-range, low-power communication on top of several physical layer (PHY) alternatives. The original PHY used in LoRaWAN, known as LoRa, was developed by Semtech, a founding member of the alliance. This section presents the main LoRaWAN protocol concepts and the LoRa and LR-FHSS underlying PHY layers.

3.1. LoRaWAN

LoRaWAN networks are composed of end devices (EDs), gateways (GWs), and a network server (NS). To enable communication between EDs and GWs, the former use pure ALOHA as the medium access mechanism and one of the PHY modulations allowed by the protocol—LoRa, frequency shift keying (FSK), or LR-FHSS—to transmit frames. After the frames are demodulated by the GW, they are forwarded to the NS, typically over an IP backhaul. The LoRaWAN specification defines the communication protocol and system architecture [27], while the Regional Parameters specification tailors LoRaWAN networks to operate efficiently and in compliance with regional regulatory requirements [28].
The topology of LoRaWAN networks is a star-of-stars. EDs use one or more GWs to transmit uplink frames to the NS, as shown in Figure 1. However, the NS replies to an ED via downlink messages through a single GW.
To accommodate diverse application needs, LoRaWAN supports three different classes of EDs: Class A, Class B, and Class C.
  • Class A: This is the default operational mode for LoRaWAN networks, and all devices must support it. Class A devices by default remain in a sleep state and perform uplink transmissions asynchronously when needed. There are two downlink (or receive) windows that follow each uplink frame. These windows are used to receive commands or data from the NS. The parameters RECEIVE_DELAY1 and RECEIVE_DELAY2 specify the time between the end of the uplink transmission and the start of the first and second receive windows, respectively. Figure 2 presents a diagram of this behavior, where the specification recommends a default value for RECEIVE_DELAY1 of 1 s and RECEIVE_DELAY1 + 1 s for RECEIVE_DELAY2. Downlink transmission can only happen after an uplink frame: a mechanism that enhances energy efficiency but limits the device’s applicability. For the EU868 region, the LoRaWAN standard specifies that the DR used for the first receive window should match that of the corresponding uplink frame, with an additional parameter called Rx1DROffset, which can range from 0 to 5. In our study, we set this value to 0, which is the default in the specification.
  • Class B: In addition to Class A operation, Class B devices can schedule additional receive slots. The key characteristic is that they allow for more predictable and regular opportunities for the NS to send downlink messages to the devices. Because of this, Class B devices can receive commands or downlink data independently of uplink traffic. Support for Class B is optional.
  • Class C: Except for when they are transmitting, Class C devices offer practically continuous receive windows. Although it is the most power-consuming out of the three classes, it is suitable for equipment that runs on-grid, and it minimizes downlink latency. Support for Class C is likewise optional.
In this article, we base our study on Class A devices, as they are the most popular and are used in the most energy-constrained applications.
Figure 2. Class A operation with one uplink transmission followed by two receive windows.
Figure 2. Class A operation with one uplink transmission followed by two receive windows.
Sensors 24 05770 g002
Transmission via LoRaWAN can be set to be confirmed or unconfirmed. When reliable transmission is required, the ED transmits an uplink frame and then waits for a confirmation from the NS during a receive window. On the other hand, in the unconfirmed mode, the ED is unaware of whether the data were correctly received because there is no confirmation frame from the NS.
Figure 3 shows the MAC frame structure in LoRaWAN. The first field, the one-byte sized MAC header (MHDR), identifies the type of transmission. Three components make up the MAC payload: the frame payload (FRM Payload), the frame header (FHDR), and the FPort. The FPort is only present when data are carried via the FRM Payload, which has a one-byte size limit. The FOpts field, which has a size of 0 (no operations included) to 15 bytes, is part of the FHDR, which has a size that ranges from 7 to 22 bytes. The message integrity code (MIC), the final field in the MAC frame, enables the verification of frame integrity.
LoRaWAN defines the concept of DR, which indicates a PHY layer mechanism and a particular radio interface configuration leading to a specific PHY layer bit rate. For each DR, there is a maximum payload size specified. The maximum MAC payload size and the maximum application PDU (FRM Payload) size, presented as M and N values, respectively, when FOpts is not present are shown in Table 1.

3.2. LoRa

LoRa is a PHY radio communication technology that was released in 2009. It employs a modulation technique known as chirp spread spectrum (CSS), which uses frequency-modulated chirps to encode data. This method can accomplish long-distance communications and robustness against interference. In CSS, every symbol is represented by a unique series of chirps. The frequency is swept linearly across a predetermined bandwidth, either upwards or downwards, to produce these chirps. The symbol value determines the initial frequency of each chirp. The key parameters to take into account in LoRa are:
  • Bandwidth (BW): BW is the frequency range that the chirp signal covers. The data rate tends to increase with bandwidth. In the EU region, there are two possible BW values: 250 kHz and 125 kHz.
  • Spreading factor (SF): The SF is the quantity of chirps required to represent one symbol. Each symbol is translated into 2 S F chirps. Bit rate and range are impacted by the SF; larger SFs lead to longer on-air times and lower bit rates, but they also boost sensitivity and range. Particularly, when used in LoRaWAN, the supported LoRa SFs range from 7 to 12.
  • DR: DR depends on the combination of distinct SF and BW values. The LoRaWAN Regional Parameters specification defines a range of possible DR values that vary depending on the region [28]. There are eight potential DRs in the EU region, with the DR index ranging from 0 to 7. However, the latter can only be used with FSK modulation. Table 2 summarizes the possible configurations and shows the resulting physical bit rate for each one. For LR-FHSS, which we will address in Section 3.3, DRs 8 to 11 were added.
  • Coding rate (CR): In order to prevent bit corruption, forward error correction (FEC) is used, with different possible CR values being between 0 and 4. These correspond to coding rates from 4/5 to 4/8, with CR = 0 (or coding rate 4/5) being the default value. For LR-FHSS, coding rate values 1/3 and 2/3 have been introduced.
The LoRaWAN specification also defines support for the adaptive data rate (ADR) mechanism, which allows the NS to evaluate the link quality and adapt the EDs to the channel conditions for optimal performance by modifying the DR, transmission power, and maximum number of retransmissions as appropriate.

3.3. LR-FHSS

LR-FHSS is an extension of the LoRa physical radio modulation [28]. The purpose of this new PHY technique is to improve data transmission in congested networks wherein capacity is reduced by duty cycle restrictions, channel availability, and collision probability. LR-FHSS uses frequency hopping spread spectrum (FHSS), which also improves the link range and allows numerous devices to communicate on the same operating channel simultaneously while their signals can still be appropriately received and demodulated by the GW. LR-FHSS is the LoRa Alliance’s implementation of FHSS, which is a technique used in other wireless technologies like Bluetooth or early Wi-Fi amendments. FHSS involves rapidly switching a signal’s carrier frequency across a predetermined set of channels, making it more robust against interference and unauthorized access. These features are especially helpful in satellite networks, where EDs and GWs are far away from each other and there is high node density. LR-FHSS is only used to perform uplink transmission; downlink transmission continues to employ LoRa PHY. There are four LR-FHSS DRs: DR8 to DR11, and all of them are included.
With LR-FHSS, the ED splits the payload into pieces and sends each piece over a separate physical channel, which is explained later. To provide redundancy, PHY headers are sent three times for DR8/DR10 and twice for DR9/DR11. Moreover, there are differences in the coding rates: DR8/DR10 use a CR of 1/3, whilst DR9/DR11 use a CR of 2/3. This means that DR8/DR10 are more robust than DR9/DR11, but at the expense of a lower bit rate. A more robust coding scheme might be helpful in low-signal-quality conditions (i.e., low SINR), but the longer transmission time could also increase the chance of collisions. This could lead to worse performance with respect to DR9/DR11, especially in scenarios with a large number of EDs [8]. The LR-FHSS bitrates are 162 bps (for DR8/DR10) and 325 bps (for DR9/DR11).
The LR-FHSS PHY frame structure is composed of the header and the payload (referred to as PHYPayload), as shown in Figure 4. The header information gives the GW the tools it needs to reassemble the payload from the ED. It contains the channel hopping sequence, payload length, DR, number of header replicas, and coding rate. As we previously mentioned, the header is communicated more than once for redundancy; one header is transmitted at a fixed rate for a duration of 233.472 ms. The variable-sized payload, which is divided into segments with a duration of 102.4 ms each, comes after the header. After a 233.472 ms header segment and after a 102.4 ms payload segment, there is a frequency channel hop. A two-byte payload CRC is the last component of the PHY frame structure.
The operating channel width (OCW) for DR8/DR9 and DR10/DR11 is 137 kHz and 336 kHz, respectively. Each OCW is divided into several occupied bandwidths (OBWs) of 488 Hz. The minimum separation between physical channels, or the grid, is 3.9 kHz, which implies a separation of eight OBWs. Up to 688 OBW physical channels can be present in a 336 kHz OCW, but due to the 3.9 kHz separation constraint, only 86 physical channels can be used for each uplink frame transmission (336 kHz/3.9 kHz ≃ 86). This results in eight grids or groupings of physical channels ( 8 × 86 = 688 ). On the other hand, for an OCW of 137 kHz, there are up to 280 OBW physical channels, but only 35 can be used due to the grid restrictions. The ED first selects the OCW and physical channel at random before the start of an uplink transmission. Subsequent physical channels are chosen in a pseudo-random fashion, which guarantees an even carrier distribution. These parameters are summarized in Table 3 for the EU863-870 band [7].
In contrast to LoRa channels, as long as LR-FHSS packets stay within the designated bandwidth of the GW, they can be demodulated. Prior knowledge of certain frequencies or channel hopping sequences is not required. This enables several transmitters to operate simultaneously with distinct channel hopping sequences if the GW is able to listen to the whole channel bandwidth at the same time [7]. In contrast to original LoRaWAN use cases, this enables for the simultaneous reception of hundreds of packets, which increases the complexity of signal recognition at the receiver but makes it appropriate for networks with high device density (e.g., satellite-scale).

4. Current Consumption Model of an LR-FHSS ED

In this section, we present analytical models for crucial energy performance parameters of an LR-FHSS ED, such as average current consumption, battery lifetime, and energy cost of data transmission. We assume that the ED transmits application data periodically, which emulates the behavior of many sensors. We also assume Class A LoRaWAN operation, considering that its support is mandatory for LoRaWAN equipment and it is also the most popular in LoRaWAN due to its energy efficiency compared to the other classes [4]. This section is organized into three subsections. The first one describes the experimental scenario that we have used in order to perform the current consumption measurements our model is based on. The other two subsections provide the LR-FHSS ED current consumption model along with the battery lifetime and energy cost of data transmission for confirmed and unconfirmed transmission, respectively.

4.1. Experimental Scenario

The experimental scenario for which we carry out the measurements is a complete LoRaWAN network. To the best of our best knowledge, this is the first time in the academic literature that a complete LoRaWAN network—comprising an ED, GW, and NS, all supporting LR-FHSS—has been tested in this manner. For the ED, we use a LR1121DVK1TBKS development kit from Semtech [29], which is composed of a Nucleo L476 board alongside a LR-FHSS-capable radio interface based on the LR1121 chipset [30]. For the GW, we use a Kerlink Wirnet iBTS Compact, which is LR-FHSS-compatible after a firmware update [31]. We deploy an instance of Chirpstack version 4.8.1 on-premise to act as the NS [32]. To perform the measurements, we use the Keysight N6705A DC power analyzer [33], which includes two power supply outputs (cf. Figure 5). In this scenario, the ED is supplied 5 V via the USB interface at one of the outputs to feed the Nucleo L476 board, and the energy consumption of the radio interface is measured through a 3.3 V second power supply that only feeds this part of the system. In the measurements, the transmit power of the ED is configured to +14 dBm, which is the maximum value for the band in the EU868 region [28]. This is the transmit power that would be used to achieve the longest link range. Therefore, our work allows us to determine the energy performance in scenarios where an end device is configured to achieve the longest link range. In this study, as the link range does not affect the measurements, both the ED and the GW are located in an indoor environment and are at a distance of around 2 m from each other.

4.2. Unconfirmed Transmission

Initially, we aim to model the average current consumption of an LR-FHSS ED in the unconfirmed mode, denoted I a v g _ u n T x . To this end, we first identify and characterize the different states the ED goes through to perform an unconfirmed transmission in terms of the duration and current consumption for each state. To create a realistic model of the ED’s behavior, we carry out measurements using the experimental scenario presented in Section 4.1. The measurements are performed only on the radio module of the ED. This is because our ED hardware platform comprises components (e.g., LEDs, communication interfaces, etc.) that are useful for development but unnecessarily increase energy consumption compared with that of a production-environment ED.
We assume that the LoRaWAN ED transmits data units periodically; therefore, we model its current consumption over one period. Each period includes the transmission of a frame (along with the necessary related LoRaWAN protocol procedures), with the device remaining in a sleep state otherwise.
An unconfirmed transmission comprises one uplink frame transmission and two subsequent receive windows. Recall that LR-FHSS is only used in uplink transmission; therefore, downlink traffic employs LoRa PHY. Figure 6 shows a power analyzer capture of the complete procedure for the transmission of an unconfirmed data unit using DR8 with a PHYPayload size of 17 bytes (i.e., 4 bytes of FRM Payload size). We next identify and characterize each state involved in the transmission procedure (labeled with a tag composed of a number and a letter).
Details for every state depicted in Figure 6 are shown in Table 4. These states correspond to different operations of the radio interface. We measured the duration and current consumption of each state for several individual transmission processes, and the differences we found were negligible.
The actual frame transmission happens in state 1, whereas the first and the second receive windows correspond to states 3 and 5, respectively. States 1a, 3a, and 5a are the initial states whereby the radio module is preparing for the subsequent main state. States 1b, 3b, and 5b, on the other hand, correspond to the post-operational stages, during which the radio module transitions to the sleep state. The radio interface remains in sleep mode in states 2, 4, and 6. Moreover, taking a closer look at state 1, we observe the impact of the LR-FHSS frequency channel hops (i.e., physical carrier hops) on current consumption. Figure 7 shows an expanded view of one such frequency hop. Each hop implies a brief and smooth drop in current consumption.
The average current consumption in the unconfirmed mode, I a v g _ u n T x , is modeled in Equation (1). T P e r i o d denotes the period between two consecutive transmissions. T j and I j represent the duration and current consumption, respectively, of a specific state j in Table 4. Note that frequency channel hops are encompassed in state 1.
I a v g _ u n T x = 1 T P e r i o d j T j × I j
Then, the duration of the sleep interval, T S l e e p , which depends on several variables like T P e r i o d , is shown in Equation (2).
T S l e e p = T P e r i o d T a c t _ u n T x
where T a c t _ u n T x represents the sum of all non-sleep-state durations of the states involved in the transmission of a frame (see Equation (3)).
T a c t _ u n T x = T p r e T x + T T x + T p o s t T x + T R x 1 w a i t + T p r e R x 1 + + T R x 1 + T p o s t R x 1 + T R x 2 w a i t + T p r e R x 2 + T R x 2 + T p o s t R x 2
The total transmission time of a frame, T T x , depends on the time needed to transmit the physical header replicas, the physical layer payload, and the total time of the frequency channel hops performed during such header and payload transmission, denoted T h e a d e r , T p a y l o a d , and T f r e q H o p s , respectively, as expressed in Equation (4).
T T x = T h e a d e r + T p a y l o a d + T f r e q H o p s
The duration of the header transmission, T h e a d e r , can be obtained as defined in Equation (5) [28]. N indicates the number of times that the header is transmitted, the values of which are listed in Table 5. Note that the CR value refers to the coding rate used for the payload transmission, not for the header transmission. For the latter, CR is always defined as C R = 1 / 2 .
T h e a d e r = N × 233.472 m s
T p a y l o a d can be calculated as expressed in Equation (6). L P H Y and M denote the PHYPayload size and the fragment size, respectively, with both being measured in bytes. The possible values for M are shown in Table 5. Note that other works based on the expressions listed in Table 108 of the Regional Parameters v1.0.4 specification [28] provide a different equation for T p a y l o a d (see Appendix A), which we found is not accurate. We encountered inconsistencies between the measured values and the theoretical calculations predicted in the expressions provided in the current version of the specification [28]. Following discussions with members of the LoRa Alliance, we provide the correct equation for T p a y l o a d as Equation (6). We need to take into account that the total amount of bytes to be transmitted in order to send the PHYPayload is L P H Y + 2 + 6/8, since in addition to L P H Y , the 2-byte CRC and 6 bits of Trellis termination also need to be sent. FEC uses a convolutional encoding, so to help the decoder, six zeros are pushed in the encoder at the end of the packet.
T p a y l o a d = L P H Y + 2 + 6 8 M × 102.4 m s
T h o p denotes the duration of a frequency channel hop, referred to as state 1’ in Table 4. To compute the amount of time that the ED spends hopping between channels, we have to first calculate the total number of said hops for a single uplink transmission, denoted as N h o p s and calculated using Equation (7). Again, this depends on the CR that is used in the transmission of the payload. Note that for a given uplink transmission there will be one frequency channel hop after each header transmitted and one channel hop after each fragment transmission (except for the last one).
N h o p s = N + L P H Y + 2 + 6 8 M
Finally, the actual duration of the total frequency channel hopping time for an uplink frame, T f r e q H o p s , can be calculated as in Equation (8).
T f r e q H o p s = N h o p s × T h o p
We next determine T R x 1 . After transmission of the uplink frame, the NS can transmit a downlink frame to the ED: either a data frame or an acknowledgment (ACK). The downlink frame is intended to be received in one of the two receive windows. Even if the uplink transmission is performed with LR-FHSS, downlink transmission will use the LoRa modulation. A receive window must be at least as long as the physical layer preamble of the downlink transmission to ensure the ED can detect the incoming downlink frames. The preamble consists of eight symbols for DR0 and DR1 and twelve symbols for the rest of the LoRa DRs (i.e., DR3, DR4, and DR5); the symbols are denoted as N s y m b . When using LR-FHSS, the DR for Rx1 is DR1 for uplink frames transmitted with DR8 or DR10, whereas it is DR2 for uplink frames sent with DR9 or DR11. By default, the DR for Rx2 is fixed to DR0.
Rx1 will always be opened by the ED regardless of the communication mode (i.e., unconfirmed or confirmed). We calculate T R x 1 using Equation (9).
T R x 1 = N s y m b × T s y m b
Following the LoRa specification [34], Equation (10) models the duration of a symbol, T s y m b , in the first receive window.
T s y m b = 2 S F B W
However, we have observed that there is a discrepancy between the calculations using Equation (9) and the values measured in our testbed (cf. Figure 6). Specifically, we measured a shorter value in our scenario, as the device waits for six symbols before closing Rx1. Therefore, we can use Equation (9) to calculate the duration of the receive windows, but by using N s y m b = 6. In Rx2, the ED might be utilizing channel activity detection (CAD), which is a power-saving technique that shortens the duration of the second receive window when no incoming frame is being detected in that window [35]. Then, T R x 2 denotes the duration of Rx2 and is calculated using Equation (11).
T R x 2 = 2 S F + 32 B W
To complete the whole set of experiments, Table 6 depicts the values missing from Table 4, which were computed via the given equations or measured depending on the DR and FRM Payload size. For DR0 and DR5, values were extracted or derived from [20]. We found that T f r e q H o p s accounts for approximately 0.2%, on average, of the total transmission time.
We can now utilize I a v g _ u n T x to calculate the lifetime of a battery-operated LR-FHSS ED that periodically performs unconfirmed transmissions. This performance parameter is essential, as it gives an approximation of the amount of time that a battery-operated LR-FHSS device may function without requiring the recharging or replacing of its battery. Equation (12) shows how T l i f e t i m e _ u n T x depends on the battery capacity, C b a t t e r y , expressed in mAh, and on I a v g _ u n T x , expressed in mA.
T l i f e t i m e _ u n T x = C b a t t e r y I a v g _ u n T x
Finally, we can also calculate the energy cost of data transmission per bit, E C u n T x , which refers to the amount of energy consumed by an LR-FHSS ED to transmit one bit of application data, as shown in Equation (13). V and L d a t a respectively denote the supply voltage and the application-layer protocol data unit (i.e., the FRM Payload size).
E C u n T x = I a v g _ u n T x × V × T P e r i o d L d a t a

4.3. Confirmed Transmission

In contrast to unconfirmed uplink transmission, in confirmed uplink transmission, the NS informs the ED via a confirmation downlink frame that the uplink frame was successfully received. In this section, we model the current consumption of the ED when it performs a confirmed uplink transmission.
In a confirmed transmission, the ACK can be sent in the first window (see Figure 8) or in the second one (Figure 9) with probabilities of p 1 and p 2 , respectively. Equation (14) models the average current consumption of an ED performing confirmed transmissions periodically, I a v g _ A C K T x , where I a v g _ A C K T x 1 and I a v g _ A C K T x 2 indicate the average current consumptions that correspond to receiving the downlink frame in the first and second receive windows, respectively. For the purpose of the model, we consider that the probability of receiving an ACK in the first or in the second receive window is p 1 = p 2 = 0.5 .
I a v g _ A C K T x = p 1 × I a v g _ A C K T x 1 + p 2 × I a v g _ A C K T x 2
Figure 8 illustrates the case where the ACK is received in the first receive window, eliminating the need for the second receive window. This reduction in the number of states consequently leads to lower energy consumption. Specifically, compared with unconfirmed transmission, states 4, 5a, 5, and 5b from Table 4 are removed, and T R x 1 is variable depending on the DR and payload length used. To calculate I a v g _ A C K T x 1 , we use Equation (1), considering the states applicable to a confirmed transmission, the T R x 1 value that corresponds to the DR used for the uplink transmission, as shown in Table 7, and that an ACK has no FRM Payload.
If the ACK is received in the second receive window, the duration of the latter is extended, as depicted in Figure 9. Therefore, T R x 2 will change to a value that depends on the DR used. Typically, the data rate used for this window is the most robust one (i.e., DR0). From our measurements, T R x 2 = 1141 ms. Therefore, I a v g _ A C K T x 2 is equal to I a v g _ u n T x , obtained as in Equation (1) except for this specific T R x 2 value. Current consumption in the first receive window is higher when the ACK is received in it, but it is lower on average for the whole transmission process because the second receive window is eliminated, as opposed to unconfirmed uplink transmissions. Therefore, the current consumption increases when the ACK is received in the second receive window due to the contribution of both receive windows, including the first receive window and its already large duration (by default, it is configured to DR0).
After determining I a v g _ A C K T x , let T l i f e t i m e _ A C K T x denote the lifetime of a battery-operated LR-FHSS ED performing confirmed transmissions periodically. T l i f e t i m e _ A C K T x can be calculated as shown in Equation (15).
T l i f e t i m e _ A C K T x = C b a t t e r y I a v g _ A C K T x
Finally, the energy cost of transmitting each user data bit for confirmed uplink frames, E C a c k T x , is modeled in Equation (16).
E C a c k T x = I a v g _ A C K T x × V × T P e r i o d L d a t a

5. Evaluation

This section evaluates and discusses the three main energy performance metrics that we modeled in the previous section for an LR-FHSS ED: average current consumption, lifetime, and energy cost of data transmission. The section is divided into three main parts: one for each performance metric.
Due to their equal characteristics in terms of maximum payload size and physical layer bit rate, the following analysis does not differentiate between DR8 and DR10 nor between DR9 and DR11. In the evaluation, we also include DR0 and DR5, the slowest and fastest mandatory LoRa DRs, respectively, for the sake of comparison with LR-FHSS. Duration values for T T x in these cases are extracted or derived from [20].

5.1. Current Consumption

We evaluate the current consumption of an LR-FHSS ED, both with and without confirmed transmissions, using Equations (1) and (14), respectively. We use the minimum FRM Payload size of 1 byte and the maximum allowed FRM Payload size for the LR-FHSS DRs and for DR0 and DR5 of LoRa.
As introduced in Section 3, as the ED works over the EU863-870 MHz band, the 1% duty cycle limitation must be considered in the evaluation. Since T T x varies depending on the DR, we provide the minimum interval between consecutive transmissions for each DR (see Table 8) allowed by the 1% duty cycle restriction.
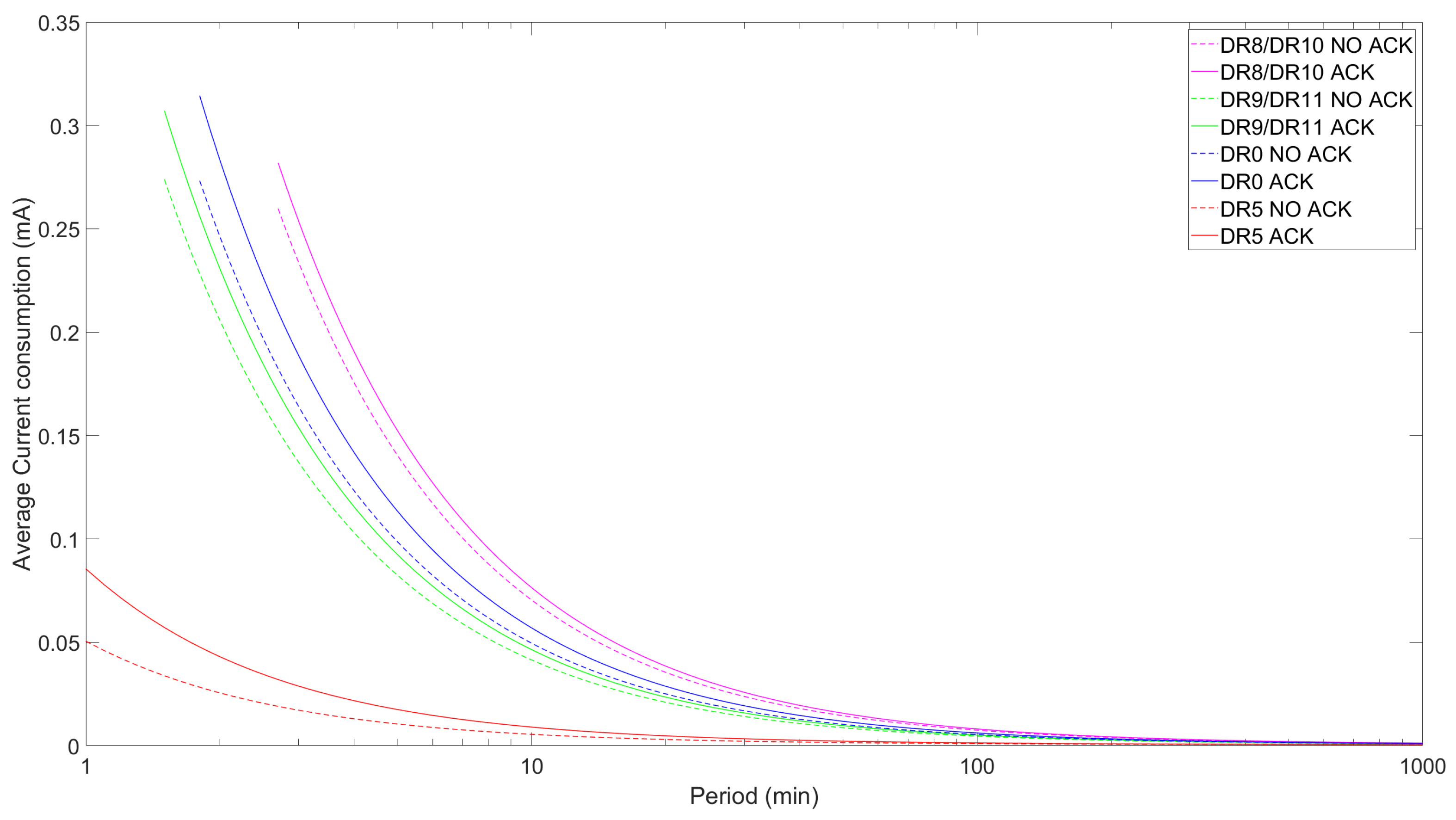
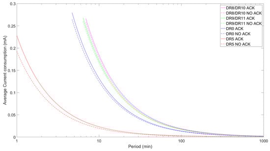
Figure 10 shows the ED’s average current consumption for different DRs, the maximum allowed FRM Payload size for each DR, and for both unconfirmed and confirmed transmission. As expected, regardless of the DR, the current consumption tends to converge towards the sleep state consumption of around 500 nA as the interval between transmissions (labeled “Period” in Figure 10 and subsequent figures) increases.
As expected, the average current consumption for confirmed transmission is consistently higher than that of unconfirmed transmission. Specifically, the differences between the confirmed and unconfirmed operational modes for the LR-FHSS DRs (i.e., for the DR8/DR10 and DR9/DR11 pairs) are around 3%. However, these differences rise to 5.7% and 18.4% for DR0 and DR5, respectively. Note that confirmed transmission can reduce the energy consumption as the probability of receiving the confirmation in the first receive window, p 1 (cf. Equation (14)), increases. The results show the tendency of faster DRs, which have a shorter time on air (ToA), to reduce current consumption by a factor of up to around 10. Nonetheless, this pattern does not apply to DR9 and DR11, as these DRs exhibit higher current consumption than DR0 although having a higher data rate. This oddity can be explained by the fact that the maximum FRM Payload size for DR9/DR11 (115 bytes) is substantially larger than that of DR0 (51 bytes) or DR8/DR10 (50 bytes), resulting in a noticeably longer ToA for uplink transmission with DR9/DR11.
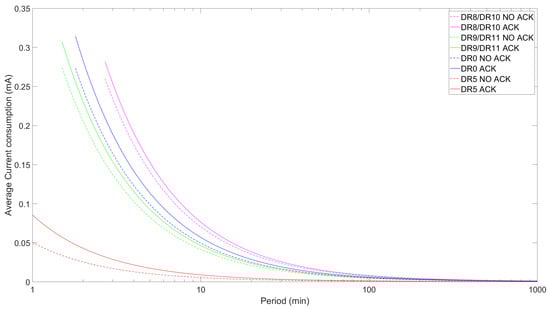
However, when the payload size is the same for all DRs considered (e.g., as shown in Table 6 for a 1-byte FRM Payload), the T T x values correspond, in descending order, to DR8/DR10, DR0, DR9/DR11, and DR5. This behavior is clearly illustrated in Figure 11, where average current consumption follows the same pattern. On the other hand, there is a non-negligible difference between confirmed and unconfirmed transmission, with the former being more energy-consuming, especially for faster DRs.

5.2. Battery Lifetime

The battery lifetime of an LR-FHSS ED is a crucial performance parameter in IoT networks as it directly impacts the operational efficiency and maintenance requirements of devices that may have to be deployed in hard-to-reach locations. We evaluate ED battery lifetime by using Equations (12) and (15). We assume a battery capacity of 230 mAh, which is typical for button cell batteries [36]. It is essential to remind the reader that our study solely accounts for the radio module’s current usage. Consequently, the increased current consumption caused by other ED tasks, such as internal communications, CPU activity, data processing, etc., will result in a decreased actual battery lifespan.
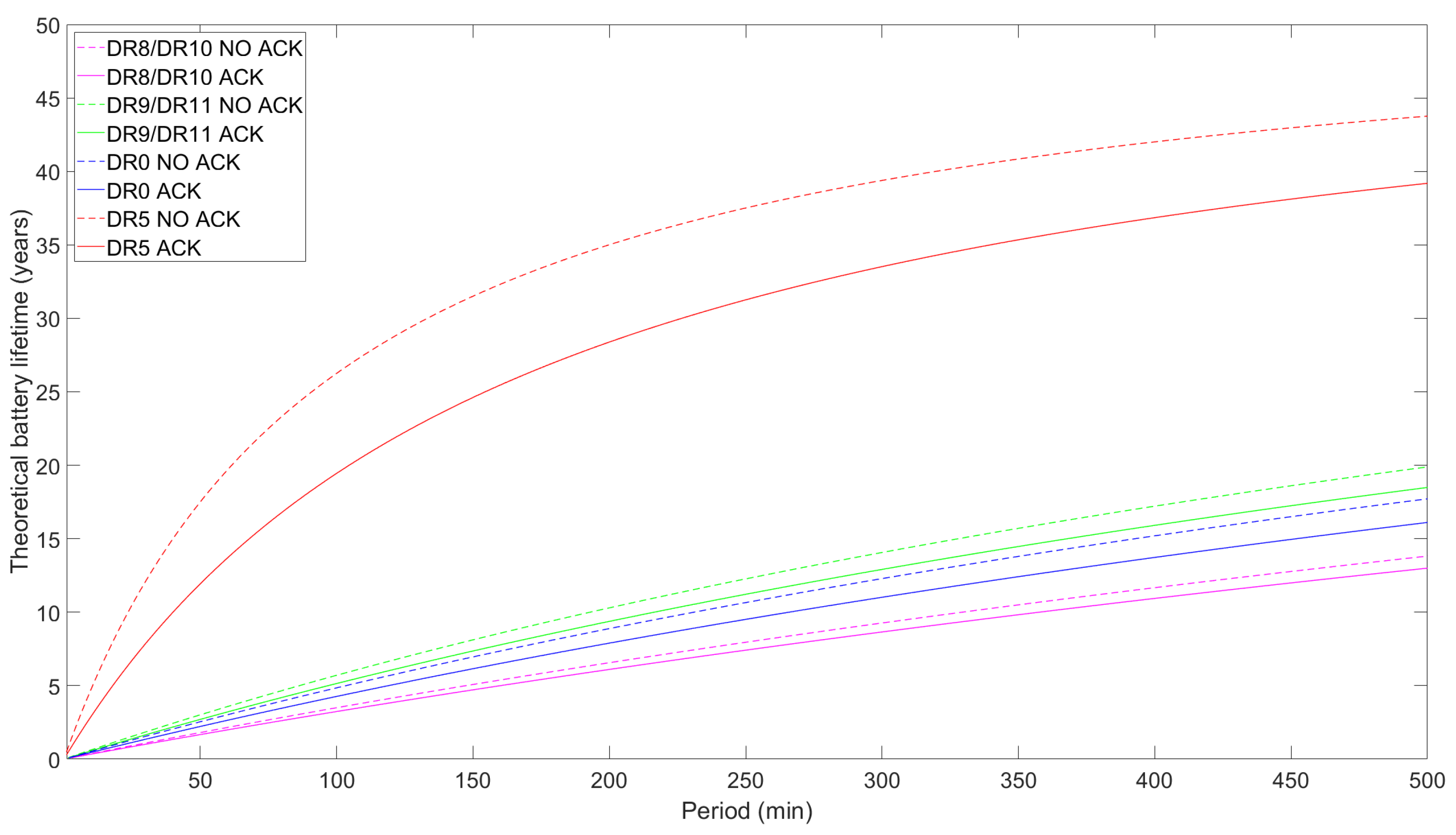
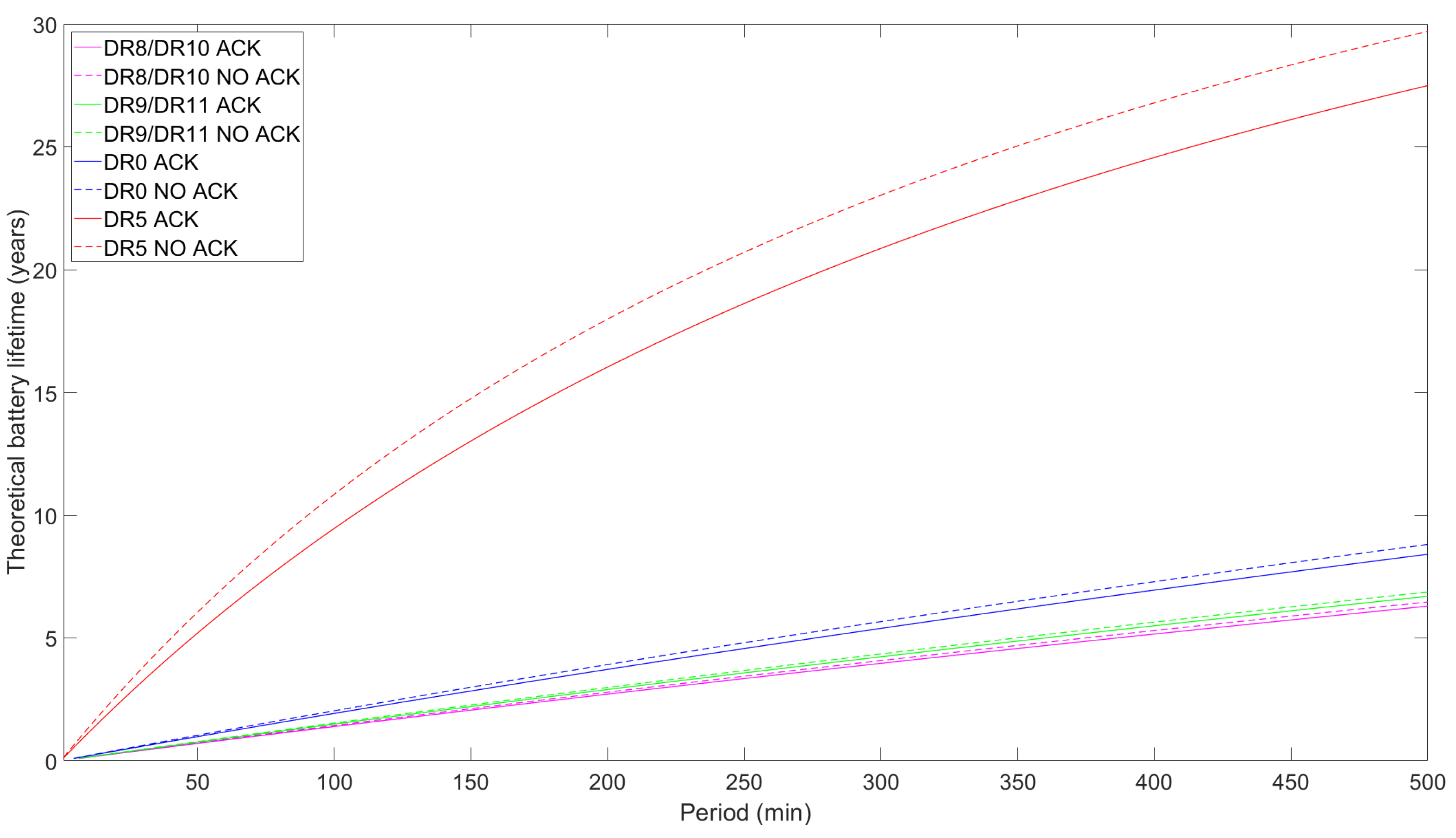
Figure 12, Figure 13 and Figure 14 illustrate the theoretical ED battery lifetime as a function of T P e r i o d for the maximum payload size allowed for each DR and for a 1-byte payload, respectively. Consistent with the average current consumption study, the ED battery lifetime increases asymptotically with T P e r i o d . The impact of using confirmed and unconfirmed transmission are shown in Figure 12. For T P e r i o d = 500 min, the battery lifetime for DR8/DR10 reaches around 6.5 years, while DR9/DR11 provide a slight enhancement of up to 6.9 years. If we extend the measurement out of the scope of the figure, for a one-day notification interval, the theoretical battery lifetime for DR9/DR11 reaches around 16 years, while it slightly decreases to ~15 years for DR8/DR10.
Except for DR5, battery lifetime differences between confirmed and unconfirmed transmission for any of the DRs considered in Figure 12 are low. However, when T P e r i o d increases, these differences tend to slightly increase, yielding longer battery lifespans for unconfirmed transmission. Quantitatively, the differences between confirmed and unconfirmed transmission for LR-FHSS DRs and DR0 are minor, with the former showing differences of around 0.23 years. Nonetheless, for DR5, the difference is notorious, reaching a peak of 2.2 years, which translates into an 8% lifetime increase for unconfirmed transmission. Additionally, the results show greater differences in the lifetimes between confirmed and unconfirmed transmission for the DR0 and DR5 cases compared to the LR-FHSS ones. This is due to the varying contributions that different DRs set in the receive windows make to energy consumption, especially when measured relative to the T T x values. For example, for a similar ToA in the uplink when comparing DR8/10, DR9/11, and DR0, the difference is more pronounced in the latter case, as it uses a DR in the downlink that is the same one used in the uplink, which is the slowest one.
DR5 lifetime results are significantly greater than those of the other DRs studied by a considerable margin due to its increased data rate (and lower ToA), which is in line with the findings in the average current consumption study. However, its reliability and communication range is also the worst among the considered DRs [25].
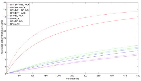
We also investigate the effect on battery lifetime of transmitting a modest 1-byte FRM Payload size (see Figure 13). In particular, DR0 and the LR-FHSS DRs share similar results, as the data rates are similar. DR8/DR10 are the most energy-consuming DRs in that group, while DR9/DR11 are the least consuming ones, with theoretical battery lifetime results of up to around 20 years for a 500 min period. Then, DR5 outscores all the other DRs, as it has the fastest bit rate and, consequently, the lowest ToA. Also, the use of ACKs reduces the theoretical battery lifetime, as the ED has to decode the downlink frame and one of the two receive windows is extended, which is especially impactful for DR5. Conclusively, the DR used significantly affects the performance, with the use of ACKs also contributing a non-negligible part. In this regard, differences between confirmed and unconfirmed transmission range from 6.4 to 7.5% for DR8/DR10 and DR9/DR11, respectively, up to 11.74 % (or 4.6 years) for DR5. This is due to the fact that as the T T x is lower, the contribution of the ACK reception, which stays the same, is higher in relative terms.
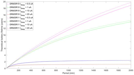
As previously mentioned, the current consumption of a commercially ready ED, as opposed to that of a development kit, would be higher than in our case, as we directly measured the current consumption of the radio module. For this reason, we investigate how higher current consumption (i.e., emulating that of a whole device) during sleep stages would affect the battery lifetime performance (see Figure 14). We consider current consumption values of 0.5 μ A (the one measured in our model), 1 μ A, 10 μ A, and 20 μ A (the last as assumed by Semtech, the LR-FHSS chip manufacturer, in [25] to be a typical LR-FHSS ED consumption in sleep mode). As shown in the results depicted in Figure 14, battery lifetime stabilizes at around one and two years for T P e r i o d of around 5 h assuming sleep current, I S l e e p , values of 20 μ A and 10 μ A, respectively. On the other hand, the other I S l e e p values show better battery lifetimes: for example, 8.5 years for 1 μ A and 10 years for 0.5 μ A for a 6 h T P e r i o d . As expected, higher current consumption during the sleep state drastically shortens battery life, as it is the most impactful state for higher T P e r i o d values. Particularly, this leads to up to a fifteen- to sixteen-fold reduction in battery life between the two most distant values (i.e., DR9/DR11 I S l e e p = 0.5 μ A and 20 μ A).

5.3. Energy Cost

The energy cost to transmit one bit of user data is the last performance parameter that we examine. We use Equations (13) and (16) to determine the energy cost of both unconfirmed and confirmed transmissions, respectively. We use 3.3 V as the supply voltage of the device [30].
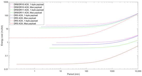
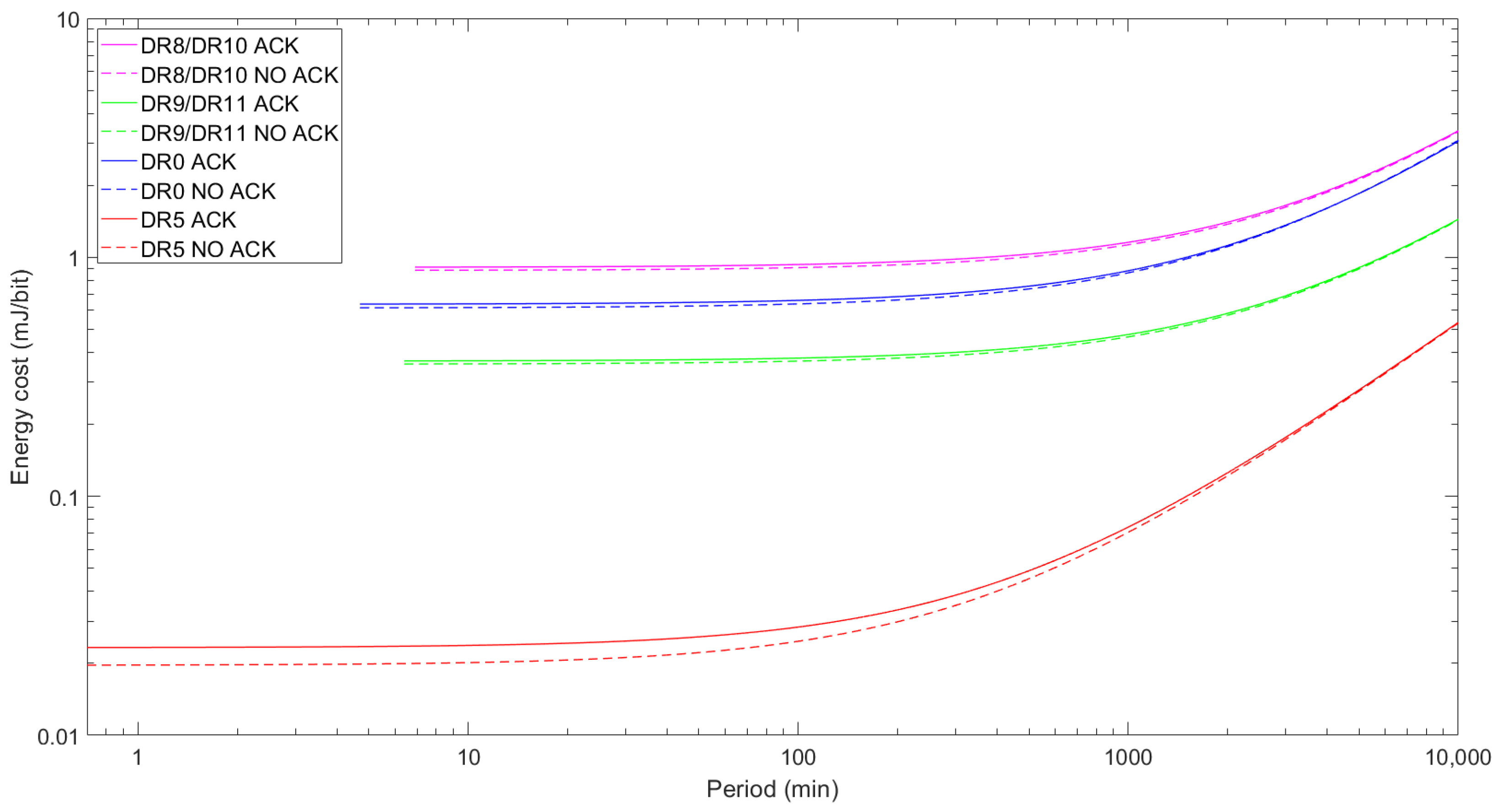
The energy cost of sending the maximum FRM Payload for every DR with and without ACK is displayed in Figure 15. Note that for a given DR, the average current consumption tends to the sleep state current consumption ( I S l e e p ) when T P e r i o d grows, but the number of transmitted data bits stays constant. Therefore, longer T P e r i o d results in a greater energy cost, as the energy consumption grows for the same amount of transmitted data. DR9/DR11 outperform DR8/DR10 in terms of energy cost, despite performing similarly in terms of average current consumption, for maximum FRM Payloads. The payload sizes play a key role in this phenomenon: DR9 and DR11 can deliver more data at a time and, consequently, achieve a lower energy cost, since their maximum FRM Payload size is 115 bytes, while DR8 and DR10 can only carry up to 50 bytes for their maximum FRM Payload. However, DR9 and DR11 are still much less efficient than DR5 (although they even outperform DR0 in terms of energy efficiency). Due to its higher bit rate, shorter ToA, and higher maximum FRM Payload size, DR5 is the most energy efficient. For a given DR, the energy cost difference between confirmed and unconfirmed transmission is not negligible, but it follows a very similar tendency across DRs, where the former is slightly less efficient.
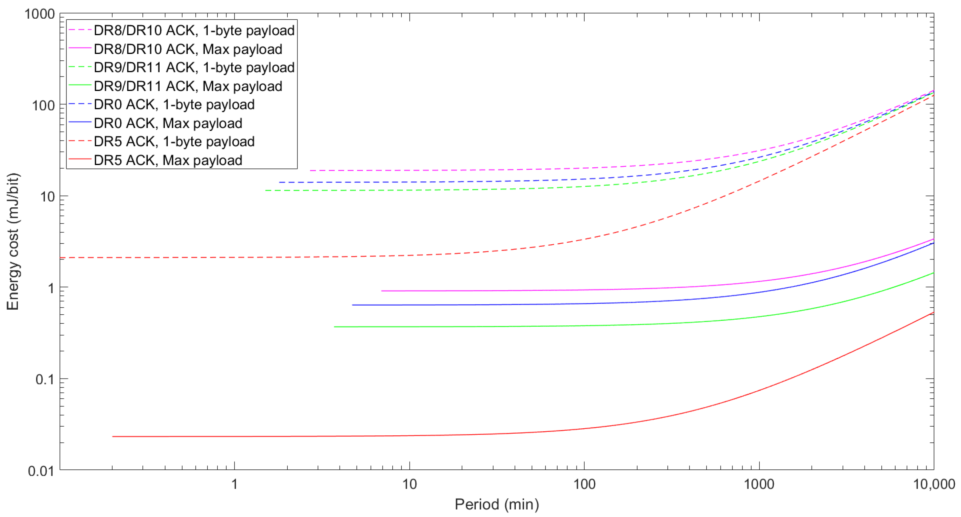
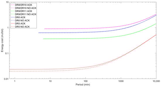
The energy cost differences between sending a 1-byte FRM Payload size and the maximum FRM Payload size are shown in Figure 16. Maximizing the FRM Payload size has a significant impact on the energy cost of data transmission, as the energy consumed per every transmitted bit of data is lower. This behavior also depends on the DR used because greater-bit-rate-capable DRs like DR5 or DR9/11 achieve the best results. Note that the combination of bit rates and higher maximum FRM Payload sizes makes these DRs the most energy-efficient ones. Nonetheless, it should be noted that DR5 outperforms all other studied DRs, achieving nearly two orders of magnitude better performance for the shortest T P e r i o d values. Regarding DR8/DR10, the energy cost decreases up to around 21 times when the payload is maximized, and the decrease is around 31 times for the DR9/DR11 case.

6. Conclusions

In this article, we provided the first energy consumption model of a Class A LoRaWAN ED using the novel LR-FHSS physical layer. We also evaluated the impact of variables like the use of confirmed transmissions, DRs, and FRM Payload sizes. The key metrics considered were the average current consumption, battery lifetime, and energy cost of data transmission. The model was created based on data collected using a real LoRaWAN network in which all of the components support LR-FHSS.
From the evaluation of the model, a first general conclusion is that LR-FHSS DRs exhibit energy performance comparable to that of the most robust LoRa DR (i.e., DR0) but worse than a fast LoRa DR such as DR5.
The average current consumption for DR8/DR10 was consistently the highest in both the maximum and 1-byte FRM Payload cases, reaching a peak of around 0.27 mA. The average current consumption for DR9/DR11 behaved very similarly to the former when using the maximum FRM Payload size, although it decreased when using a 1-byte FRM Payload. For a constant FRM Payload size, the average current consumption decreased with the physical-layer bit rate due to the impact of the latter on ToA. DR5 achieved up to approximately six-times lower current consumption. Regarding the use of ACKs, the ED consumed less current when using the unconfirmed approach (e.g., around 3% lower for all LR-FHSS DRs). Overall, the current consumption tended to decrease with the period between uplink transmissions, since the influence of sleep current increased as well.
The theoretical battery lifetime of an ED with a 230 mAh button-like battery is ~20 years for a transmission period of 500 min, unconfirmed transmission, DR9/DR11, and a 1-byte payload. Under the same conditions, DR8/DR10 reaches a maximum of around 14 years, DR0 yields an intermediate lifetime of ~18 years, and DR5 is the best-performing among the considered DRs. When maximizing the payload in an infrequent interval, such as a one-day period, the battery lifetime for DR9/DR11 is 16 years. As expected, battery lifetime decreases with payload size and sleep current consumption. Nonetheless, although DR9/DR11 uses a faster bit rate than DR8/DR10, their lifetimes are similar when using the maximum FRM Payload permitted by each DR. The outcome is that maximizing the bit rate, minimizing the payload size, and not using ACKs enhances the lifetime of EDs.
Finally, the energy cost per transmitted bit is lower for DRs that feature a higher bit rate and a larger payload size. For example, the energy cost of DR9/DR11 is lower than that of DR8/DR10, with differences of up to around 2.5 times. Not using ACKs is more energy efficient regardless of the DR, but by a mild margin. It should also be noted that the energy per bit tends to increase as the period between uplink transmissions increases due to the higher total energy consumption for the same amount of transmitted data.

Author Contributions

Conceptualization, R.S.-V., C.G. and E.G.-V.; methodology, R.S.-V. and B.H.-S.; software, R.S.-V., L.C. and B.H.-S.; validation, R.S.-V., L.C. and R.V.; formal analysis, R.S.-V.; investigation, R.S.-V., L.C., B.H.-S. and C.G.; resources, L.C. and R.V.; data curation, R.S.-V., B.H.-S. and R.V.; writing—original draft preparation, R.S.-V. and B.H.-S.; writing—review and editing, R.S.-V., L.C., R.V., C.G. and E.G.-V.; visualization, R.S.-V. and B.H.-S.; supervision, L.C., C.G. and E.G.-V.; project administration, C.G. and E.G.-V.; funding acquisition, E.G.-V. All authors have read and agreed to the published version of the manuscript.

Funding

This research was funded by the Spanish Government MCIN/AEI/10.13039/501100011033 through projects PID2019-106808RA-I00 and PID2023-146378NB-I00 and by the Secretaria d’Universitats i Recerca del Departament d’Empresa i Coneixement de la Generalitat de Catalunya 2021 through grant SGR 00330. The first author gratefully acknowledges a predoctoral program AGAUR-FI grant (2023 FI-1 00154) Joan Oró of the Secretaria d’Universitats i Recerca del Departament de Recerca i Universitats de la Generalitat de Catalunya and the European Fund Social Plus.

Institutional Review Board Statement

Not applicable.

Informed Consent Statement

Not applicable.

Data Availability Statement

The original contributions presented in the study are included in the article; further inquiries can be directed to the corresponding author.

Acknowledgments

The authors would like to thank the Semtech team for kindly providing the gateway firmware update to enable LR-FHSS, as well as for their subsequent support.

Conflicts of Interest

The authors declare no conflicts of interest.

Abbreviations

The following abbreviations are used in this manuscript:
ACKAcknowledgment
CADChannel Activity Detection
CRCoding Rate
DFHDynamic Frequency Hopping
DRData Rate
DtS-IoTDirect-to-Satellite IoT
EDEnd Device
FECForward Error Correction
FHSFrequency Hopping Sequence
FHSSFrequency Hopping Spread Spectrum
FSKFrequency Shift Keying
GWGateway
IoTInternet of Things
LoRaLong Range
LoRaWANLong-Range Wide Area Network
LR-FHSSLong-Range Frequency Hopping Spread Spectrum
LPWANLow-Power Wide Area Network
MACMedia Access Control
NSNetwork Server
PHYPhysical Layer
ToATime-on-Air

Appendix A

This appendix provides the original (and inaccurate) expression for T p a y l o a d that is offered in the LoRaWAN Regional Parameters v1.0.4 specification from the LoRa Alliance [28] and is also used in related work. Equation (A1) calculates T p a y l o a d as explicitly indicated in the document.
T p a y l o a d = L P H Y + 3 2 × 102.4 m s if C R = 1 / 3 , L P H Y + 3 4 × 102.4 m s if C R = 2 / 3 .

References

  1. Mekki, K.; Bajic, E.; Chaxel, F.; Meyer, F. A comparative study of LPWAN technologies for large-scale IoT deployment. ICT Express 2019, 5, 1–7. [Google Scholar] [CrossRef]
  2. Chaudhari, B.S.; Zennaro, M.; Borkar, S. LPWAN Technologies: Emerging Application Characteristics, Requirements, and Design Considerations. Future Internet 2020, 12, 46. [Google Scholar] [CrossRef]
  3. Farrell, S. Low-Power Wide Area Network (LPWAN) Overview. RFC 8376. 2018. Available online: https://www.rfc-editor.org/info/rfc8376 (accessed on 5 August 2024).
  4. Almuhaya, M.A.M.; Jabbar, W.A.; Sulaiman, N.; Abdulmalek, S. A Survey on LoRaWAN Technology: Recent Trends, Opportunities, Simulation Tools and Future Directions. Electronics 2022, 11, 164. [Google Scholar] [CrossRef]
  5. Haxhibeqiri, J.; De Poorter, E.; Moerman, I.; Hoebeke, J. A Survey of LoRaWAN for IoT: From Technology to Application. Sensors 2018, 18, 3995. [Google Scholar] [CrossRef] [PubMed]
  6. Hofmann, P.; Schmitz, Y.; Quink, B.; Parsa, M.; Olejak, J. Comparison and Analysis of Security Aspects of LoRaWAN and NB-IoT. Deutsche Telekom IoT. 2021. Available online: https://www.academia.edu/72593201/Comparison_and_Analysis_of_Security_Aspects_of_LoRaWAN_and_NB_IoT (accessed on 5 August 2024).
  7. Boquet, G.; Tuset-Peiró, P.; Adelantado, F.; Watteyne, T.; Vilajosana, X. LR-FHSS: Overview and Performance Analysis. IEEE Commun. Mag. 2021, 59, 30–36. [Google Scholar] [CrossRef]
  8. Ullah, M.A.; Mikhaylov, K.; Alves, H. Analysis and Simulation of LoRaWAN LR-FHSS for Direct-to-Satellite Scenario. IEEE Wirel. Commun. Lett. 2022, 11, 548–552. [Google Scholar] [CrossRef]
  9. Maleki, A.; Nguyen, H.H.; Barton, R. Outage Probability Analysis of LR-FHSS in Satellite IoT Networks. IEEE Commun. Lett. 2023, 27, 946–950. [Google Scholar] [CrossRef]
  10. Maleki, A.; Nguyen, H.H.; Bedeer, E.; Barton, R. Outage Probability Analysis of LR-FHSS and D2D-Aided LR-FHSS Protocols in Shadowed-Rice Fading Direct-to-Satellite IoT Networks. IEEE Internet Things J. 2024, 11, 11101–11116. [Google Scholar] [CrossRef]
  11. Jung, S.; Jeong, S.; Kang, J.; Ryu, J.G.; Kang, J. Transceiver Design and Performance Analysis for LR-FHSS-Based Direct-to-Satellite IoT. IEEE Commun. Lett. 2023, 27, 3310–3314. [Google Scholar] [CrossRef]
  12. Álvarez, G.; Fraire, J.A.; Hassan, K.A.; Céspedes, S.; Pesch, D. Uplink Transmission Policies for LoRa-Based Direct-to-Satellite IoT. IEEE Access 2022, 10, 72687–72701. [Google Scholar] [CrossRef]
  13. Zhang, F.; Yu, F.; Zheng, X.; Liu, L.; Ma, H. DFH: Improving the Reliability of LR-FHSS via Dynamic Frequency Hopping. In Proceedings of the 2023 IEEE 31st International Conference on Network Protocols (ICNP), Reykjavik, Iceland, 10–13 October 2023; pp. 1–12. [Google Scholar] [CrossRef]
  14. Jung, S.; Jeong, S.; Kang, J.; Im, G.; Lee, S.; Oh, M.K.; Ryu, J.G.; Kang, J. LR-FHSS Transceiver for Direct-to-Satellite IoT Communications: Design, Implementation, and Verification. arXiv 2024, arXiv:2403.14154. [Google Scholar] [CrossRef]
  15. Fraire, J.A.; Céspedes, S.; Accettura, N. Direct-To-Satellite IoT—A Survey of the State of the Art and Future Research Perspectives. In Proceedings of the Ad-Hoc, Mobile, and Wireless Networks, Luxembourg, 1–3 October 2019; Palattella, M.R., Scanzio, S., Coleri Ergen, S., Eds.; Springer: Cham, Switzerland, 2019; pp. 241–258. [Google Scholar]
  16. Lin, Z.; Lin, M.; de Cola, T.; Wang, J.B.; Zhu, W.P.; Cheng, J. Supporting IoT With Rate-Splitting Multiple Access in Satellite and Aerial-Integrated Networks. IEEE Internet Things J. 2021, 8, 11123–11134. [Google Scholar] [CrossRef]
  17. Lin, Z.; Niu, H.; An, K.; Wang, Y.; Zheng, G.; Chatzinotas, S.; Hu, Y. Refracting RIS-Aided Hybrid Satellite-Terrestrial Relay Networks: Joint Beamforming Design and Optimization. IEEE Trans. Aerosp. Electron. Syst. 2022, 58, 3717–3724. [Google Scholar] [CrossRef]
  18. Niu, H.; Chu, Z.; Zhou, F.; Zhu, Z.; Zhen, L.; Wong, K.K. Robust Design for Intelligent Reflecting Surface-Assisted Secrecy SWIPT Network. IEEE Trans. Wirel. Commun. 2022, 21, 4133–4149. [Google Scholar] [CrossRef]
  19. Bouguera, T.; Diouris, J.F.; Chaillout, J.J.; Jaouadi, R.; Andrieux, G. Energy Consumption Model for Sensor Nodes Based on LoRa and LoRaWAN. Sensors 2018, 18, 2104. [Google Scholar] [CrossRef] [PubMed]
  20. Casals, L.; Mir, B.; Vidal, R.; Gomez, C. Modeling the Energy Performance of LoRaWAN. Sensors 2017, 17, 2364. [Google Scholar] [CrossRef] [PubMed]
  21. Maudet, S.; Andrieux, G.; Chevillon, R.; Diouris, J.F. Refined Node Energy Consumption Modeling in a LoRaWAN Network. Sensors 2021, 21, 6398. [Google Scholar] [CrossRef] [PubMed]
  22. Ullah, M.A.; Mikhaylov, K.; Alves, H. Experiment-based Models for Air Time and Current Consumption of LoRaWAN LR-FHSS. arXiv 2024, arXiv:2408.09954. [Google Scholar] [CrossRef]
  23. Bukhari, J.; Zhang, Z. Understanding Long Range-Frequency Hopping Spread Spectrum (LR-FHSS) with Real-World Packet Traces. arXiv 2023. [Google Scholar] [CrossRef]
  24. Maldonado, D.; Kaneko, M.; Fraire, J.A.; Guitton, A.; Iova, O.; Rivano, H. Enhancing LR-FHSS Scalability Through Advanced Sequence Design and Demodulator Allocation. arXiv 2024, arXiv:2407.03490. [Google Scholar] [CrossRef]
  25. Semtech Corporation. LR-FHSS System Performance; Technical Report; Semtech Corporation: Camarillo, CA, USA, 2021. [Google Scholar]
  26. LoRa Alliance. Available online: https://lora-alliance.org/ (accessed on 18 July 2024).
  27. LoRa Alliance. TS001-1.0.4 LoRaWAN L2 1.0.4 Specification. Technical Report, LoRa Alliance. 2020. Available online: https://resources.lora-alliance.org/technical-specifications/ts001-1-0-4-lorawan-l2-1-0-4-specification (accessed on 9 July 2024).
  28. LoRa Alliance. RP002-1.0.4 Regional Parameters. Technical Report. 2023. Available online: https://resources.lora-alliance.org/technical-specifications/rp002-1-0-4-regional-parameters (accessed on 5 July 2024).
  29. Semtech. LR1121DVK1TBKS Development Kit. Available online: https://www.semtech.com/products/wireless-rf/lora-connect/lr1121dvk1tbks (accessed on 9 July 2024).
  30. Semtech. LR1121. Available online: https://www.semtech.com/products/wireless-rf/lora-connect/lr1121 (accessed on 9 July 2024).
  31. Kerlink. Wirnet iBTS. 2024. Available online: https://www.kerlink.com/product/wirnet-ibts/ (accessed on 9 July 2024).
  32. ChirpStack. ChirpStack Open Source LoRaWAN Network Server Stack. Available online: https://www.chirpstack.io/ (accessed on 19 July 2024).
  33. Technologies, K. N6705A DC Power Analyzer, Modular, 600 W, 4 Slots. Available online: https://www.keysight.com/us/en/product/N6705A/dc-power-analyzer-modular-600-w-4-slots.html (accessed on 9 July 2024).
  34. Semtech Corporation. SX1276 Datasheet. 2020. Available online: https://www.semtech.com/products/wireless-rf/lora-connect/sx1276 (accessed on 7 August 2024).
  35. Semtech. Introduction to Channel Activity Detection. Technical Report. 2024. Available online: https://www.semtech.com/uploads/technology/LoRa/cad-ensuring-lora-packets.pdf (accessed on 9 July 2024).
  36. Farnell. Varta CR2032 Lithium Cell, 230mAh, 3V. Available online: https://es.farnell.com/varta/6032101501/cell-lithium-cr2032-230mah-3v/dp/300445 (accessed on 12 July 2024).
Figure 1. LoRaWAN network architecture.
Figure 1. LoRaWAN network architecture.
Sensors 24 05770 g001
Figure 3. LoRaWAN MAC frame structure.
Figure 3. LoRaWAN MAC frame structure.
Sensors 24 05770 g003
Figure 4. LR-FHSS PHY frame structure.
Figure 4. LR-FHSS PHY frame structure.
Sensors 24 05770 g004
Figure 5. Experimental scenario for measuring the current consumption of the considered LR-FHSS ED.
Figure 5. Experimental scenario for measuring the current consumption of the considered LR-FHSS ED.
Sensors 24 05770 g005
Figure 6. Current consumption profile of ED transmitting an unconfirmed uplink frame with DR8. The PHYPayload size is 17 bytes.
Figure 6. Current consumption profile of ED transmitting an unconfirmed uplink frame with DR8. The PHYPayload size is 17 bytes.
Sensors 24 05770 g006
Figure 7. Expanded view of a frequency channel hop in an uplink transmission with LR-FHSS.
Figure 7. Expanded view of a frequency channel hop in an uplink transmission with LR-FHSS.
Sensors 24 05770 g007
Figure 8. Current consumption of an ED during the process of transmitting a confirmed frame with DR9. In this case, the ACK is received in the first window (Rx1), so the second window is not opened.
Figure 8. Current consumption of an ED during the process of transmitting a confirmed frame with DR9. In this case, the ACK is received in the first window (Rx1), so the second window is not opened.
Sensors 24 05770 g008
Figure 9. Current consumption of an ED during the process of transmitting a confirmed frame with DR8. The ACK is received in the second window (Rx2).
Figure 9. Current consumption of an ED during the process of transmitting a confirmed frame with DR8. The ACK is received in the second window (Rx2).
Sensors 24 05770 g009
Figure 10. ED average current consumption as a function of T P e r i o d for DR8/DR10, DR9/DR11, DR0, and DR5 with the maximum FRM Payload size permitted for each DR for both confirmed and unconfirmed modes.
Figure 10. ED average current consumption as a function of T P e r i o d for DR8/DR10, DR9/DR11, DR0, and DR5 with the maximum FRM Payload size permitted for each DR for both confirmed and unconfirmed modes.
Sensors 24 05770 g010
Figure 11. ED average current consumption as a function of T P e r i o d for DR8/DR10, DR9/DR11, DR0, and DR5 comparing confirmed and unconfirmed transmission for a 1-byte FRM Payload size.
Figure 11. ED average current consumption as a function of T P e r i o d for DR8/DR10, DR9/DR11, DR0, and DR5 comparing confirmed and unconfirmed transmission for a 1-byte FRM Payload size.
Sensors 24 05770 g011
Figure 12. Theoretical ED battery lifetime as a function of T P e r i o d for DR8/DR10, DR9/DR11, DR0, and DR5 for the maximum FRM Payload size permitted for each DR and comparing unconfirmed with confirmed uplink transmission.
Figure 12. Theoretical ED battery lifetime as a function of T P e r i o d for DR8/DR10, DR9/DR11, DR0, and DR5 for the maximum FRM Payload size permitted for each DR and comparing unconfirmed with confirmed uplink transmission.
Sensors 24 05770 g012
Figure 13. Theoretical ED battery lifetime as a function of T P e r i o d for DR8/DR10, DR9/DR11, DR0, and DR5 with 1-byte FRM Payload transmissions and comparing unconfirmed and confirmed uplink transmission.
Figure 13. Theoretical ED battery lifetime as a function of T P e r i o d for DR8/DR10, DR9/DR11, DR0, and DR5 with 1-byte FRM Payload transmissions and comparing unconfirmed and confirmed uplink transmission.
Sensors 24 05770 g013
Figure 14. Theoretical battery lifetime of the ED as a function of T P e r i o d for DR8/DR10 and DR9/DR11 for unconfirmed transmission, the maximum FRM Payload size possible, and different sleep current consumption values.
Figure 14. Theoretical battery lifetime of the ED as a function of T P e r i o d for DR8/DR10 and DR9/DR11 for unconfirmed transmission, the maximum FRM Payload size possible, and different sleep current consumption values.
Sensors 24 05770 g014
Figure 15. Energy cost of unconfirmed and confirmed data transmission as a function of T P e r i o d for the maximum FRM Payload sizes for DR8/DR10, DR9/DR11, DR0, and DR5.
Figure 15. Energy cost of unconfirmed and confirmed data transmission as a function of T P e r i o d for the maximum FRM Payload sizes for DR8/DR10, DR9/DR11, DR0, and DR5.
Sensors 24 05770 g015
Figure 16. Energy cost of confirmed data transmission as a function of T P e r i o d when sending the maximum allowable FRM Payload and a 1-byte FRM Payload for DR8/DR10, DR9/DR11, DR0, and DR5.
Figure 16. Energy cost of confirmed data transmission as a function of T P e r i o d when sending the maximum allowable FRM Payload and a 1-byte FRM Payload for DR8/DR10, DR9/DR11, DR0, and DR5.
Sensors 24 05770 g016
Table 1. Maximum MAC payload sizes for LoRaWAN in column M and maximum application PDU size (FRM Payload) in column N for each DR and without FOpts field.
Table 1. Maximum MAC payload sizes for LoRaWAN in column M and maximum application PDU size (FRM Payload) in column N for each DR and without FOpts field.
DRM (Bytes)N (Bytes)
05951
15951
25951
3123115
4250242
5250242
6250242
7250242
85850
9123115
105850
11123115
12–15Not Defined
Table 2. LoRa EU863-870 DR characteristics.
Table 2. LoRa EU863-870 DR characteristics.
DR IndexModulationConfigurationPhysical Bit Rate [bps]
0LoRaSF12/125 kHz250
1LoRaSF11/125 kHz440
2LoRaSF10/125 kHz980
3LoRaSF9/125 kHz1760
4LoRaSF8/125 kHz3125
5LoRaSF7/125 kHz5470
6LoRaSF7/250 kHz11,000
7FSK50 kbps50,000
Table 3. LR-FHSS PHY parameters for region EU863-870.
Table 3. LR-FHSS PHY parameters for region EU863-870.
DR index891011
Operating channel width (OCW) [kHz]137336
Occupied bandwidth (OBW) [Hz]488
Minimum separation between hopping channels (grid) [kHz]3.9
Number of usable physical channels per LR-FHSS transmission3586
Available physical channels for frequency hopping280 (8 × 35)688 (8 × 86)
Coding rate (CR)1/32/31/32/3
Physical bit rate [bps]162325162325
Table 4. Characterization of the states of an unconfirmed uplink transmission in LR-FHSS with DR8 (indicated in Figure 6) in terms of their time and current consumption.
Table 4. Characterization of the states of an unconfirmed uplink transmission in LR-FHSS with DR8 (indicated in Figure 6) in terms of their time and current consumption.
State IndexDescriptionTimeCurrent
ParameterValue (ms)ParameterValue (mA)
1aPre-transmission T p r e T x 2.370 I p r e T x 3.8
1Transmission T T x Equation (4) I T x 25.7
1’Channel hop T H o p 0.225 I H o p 12.3
1bPost-Transmission T p o s t T x See Table 6 I p o s t T x 3.7
2Wait until Rx1 T R x 1 w a i t 1000 I R x 1 w a i t 0.0005
3aPre-receive window Rx1 T p r e R x 1 1.300 I p r e R x 1 2.3
3Receive window Rx1 T R x 1 See Table 6 and Equation (9) I R x 1 5.8
3bPost-receive window Rx1 T p o s t R x 1 0.700 I p o s t R x 1 1.2
4Wait until Rx2 T R x 2 w a i t 911.2 I R x 2 w a i t 0.0005
5aPre-receive window Rx2 T p r e R x 2 1.500 I p r e R x 2 1.8
5Receive window Rx2 T R x 2 198.4 I R x 2 5.8
5bPost-reception window Rx2 T p r e R x 2 0.700 I p o s t R x 2 1.2
6Sleep state T S l e e p Equation (2) I S l e e p 0.0005
Table 5. Values of N and M depending on the CR used for the payload.
Table 5. Values of N and M depending on the CR used for the payload.
CRNM (Bytes)
1/332
2/324
Table 6. Transmission variables depending on the DR and the FRM Payload size. For the latter, two cases are considered: the minimum one (i.e., 1 byte) and the maximum one permitted for each DR.
Table 6. Transmission variables depending on the DR and the FRM Payload size. For the latter, two cases are considered: the minimum one (i.e., 1 byte) and the maximum one permitted for each DR.
DR8/DR10DR9/DR11DR0DR5
T p o s t T x (ms) 10.40 12.40 0.676 0.676
T R x 1 (ms) 99.20 49.50 198.40 16.40
T h e a d e r (ms) 700.4 466.9 401.4 12.54
FRM Payload Maximum Size (bytes)5011551242
T p a y l o a d (ms)1 byte 870.4 435.2 753.7 33.79
M a x 3379.2 3353.6 2228.2 387.1
T f r e q H o p s (ms)1 byte 2.475 1.350 N/AN/A
M a x 7.875 7.650 N/AN/A
T T x (ms)1 byte 1573.3 903.5 1056.7 65.50
M a x 4087.5 3828.2 2793.5 399.6
Table 7. States and parameters affected by a confirmed uplink transmission when the ACK occurs in the first receive window.
Table 7. States and parameters affected by a confirmed uplink transmission when the ACK occurs in the first receive window.
State3
Parameter T R x 1 (ms)
DR8/10 576.4
9/11 286.6
0 991.8
5 41.20
Table 8. Minimum interval between two consecutive transmissions in order to comply with the 1% duty cycle regulation, depending on the DR and FRM Payload size from Table 1. Values for DR0 and DR5 are obtained from prior work [20].
Table 8. Minimum interval between two consecutive transmissions in order to comply with the 1% duty cycle regulation, depending on the DR and FRM Payload size from Table 1. Values for DR0 and DR5 are obtained from prior work [20].
DRMinimum Frame Transmission Period (s)
1-Byte PayloadMax Payload
0 105.7 279.3
5 6.550 39.96
8/10 157.3 408.7
9/11 90.35 382.8
Disclaimer/Publisher’s Note: The statements, opinions and data contained in all publications are solely those of the individual author(s) and contributor(s) and not of MDPI and/or the editor(s). MDPI and/or the editor(s) disclaim responsibility for any injury to people or property resulting from any ideas, methods, instructions or products referred to in the content.

Share and Cite

MDPI and ACS Style

Sanchez-Vital, R.; Casals, L.; Heer-Salva, B.; Vidal, R.; Gomez, C.; Garcia-Villegas, E. Energy Performance of LR-FHSS: Analysis and Evaluation. Sensors 2024, 24, 5770. https://doi.org/10.3390/s24175770

AMA Style

Sanchez-Vital R, Casals L, Heer-Salva B, Vidal R, Gomez C, Garcia-Villegas E. Energy Performance of LR-FHSS: Analysis and Evaluation. Sensors. 2024; 24(17):5770. https://doi.org/10.3390/s24175770

Chicago/Turabian Style

Sanchez-Vital, Roger, Lluís Casals, Bartomeu Heer-Salva, Rafael Vidal, Carles Gomez, and Eduard Garcia-Villegas. 2024. "Energy Performance of LR-FHSS: Analysis and Evaluation" Sensors 24, no. 17: 5770. https://doi.org/10.3390/s24175770

APA Style

Sanchez-Vital, R., Casals, L., Heer-Salva, B., Vidal, R., Gomez, C., & Garcia-Villegas, E. (2024). Energy Performance of LR-FHSS: Analysis and Evaluation. Sensors, 24(17), 5770. https://doi.org/10.3390/s24175770

Note that from the first issue of 2016, this journal uses article numbers instead of page numbers. See further details here.

Article Metrics

Back to TopTop