User Evaluation of a Shared Robot Control System Combining BCI and Eye Tracking in a Portable Augmented Reality User Interface
Abstract
1. Introduction
2. Related Work
3. Materials and Methods
3.1. The BCI Control System
3.1.1. Control Strategy
3.1.2. Hardware
3.1.3. Real-Time EEG Decoding
3.2. User Study
3.2.1. Evaluation Scenarios
3.2.2. Usability Measures
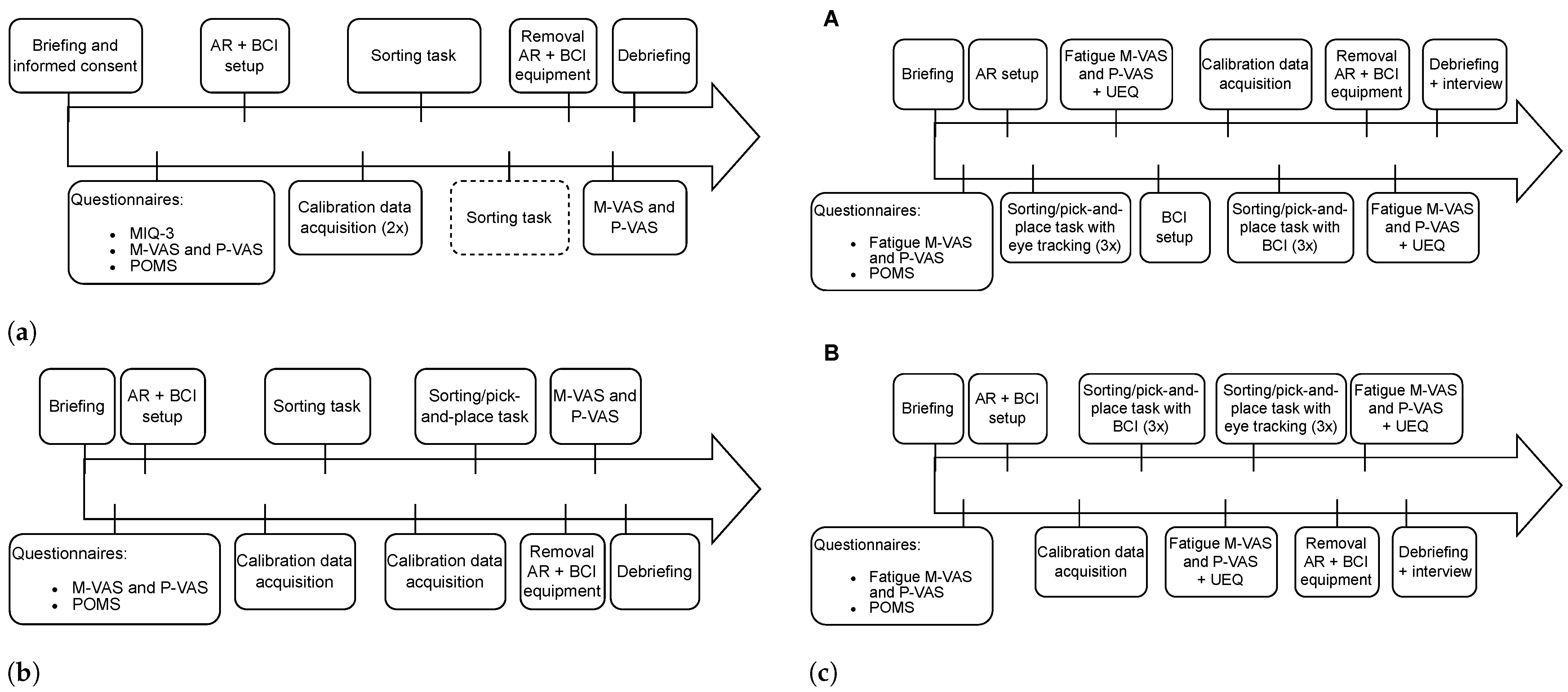
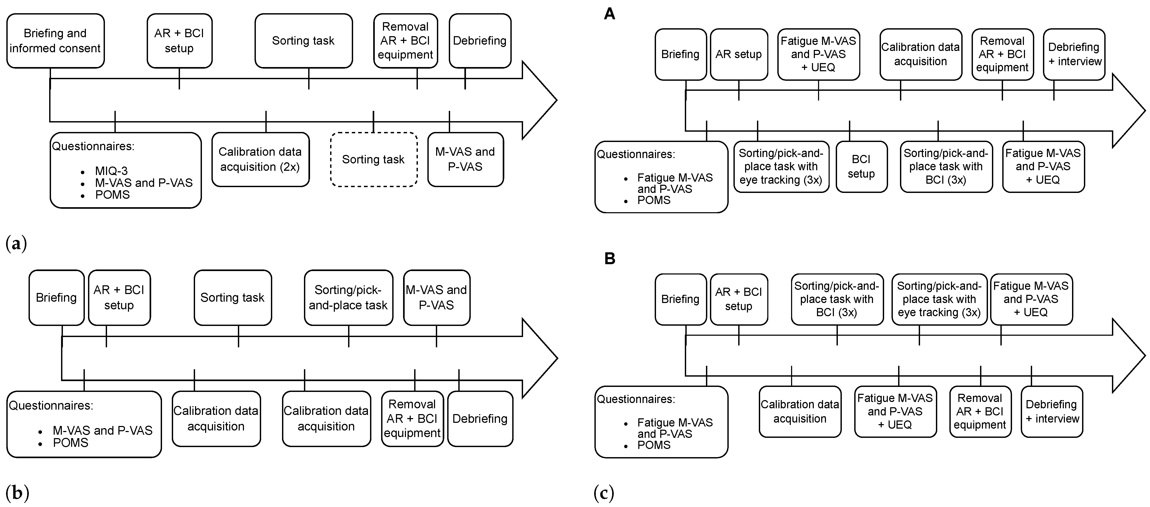
3.2.3. Procedure
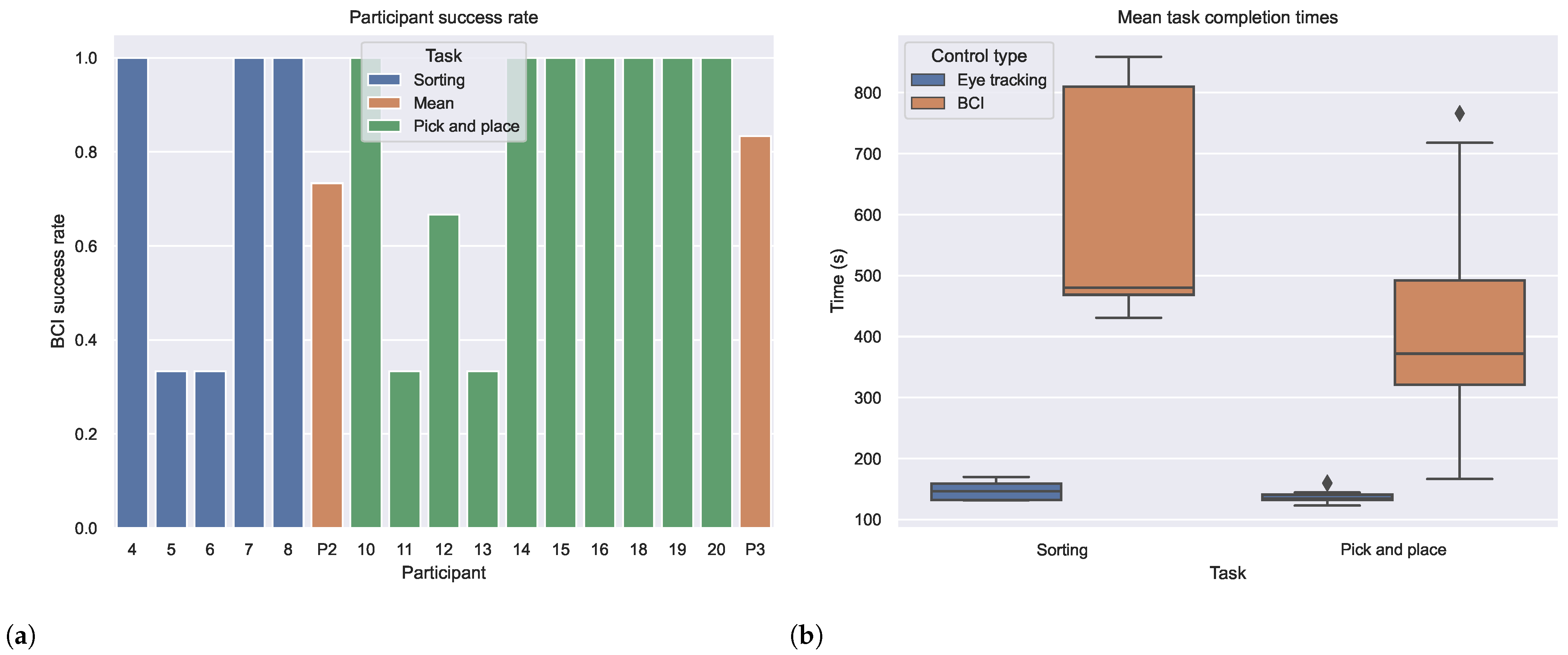
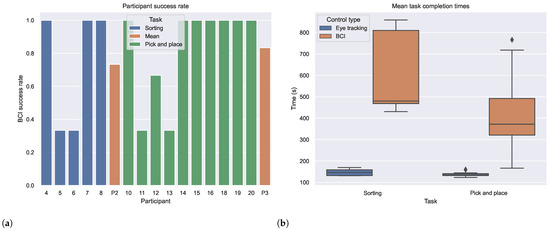
4. Results
5. Discussion
6. Conclusions
Author Contributions
Funding
Institutional Review Board Statement
Informed Consent Statement
Data Availability Statement
Acknowledgments
Conflicts of Interest
Appendix A. User Experience Interview
- Did you feel like you were able to successfully complete the tasks with the BCI control system?
- Did you feel like you were in control of the robotic arm?
- Do you think that BCI provides an added value to the control system, assuming that you are not able to move or talk?
- Which control system variant did you prefer? (Only when eye tracking and BCI were compared)
- Do you think a different approach would work better? If yes, what do you suggest?
- Do you have any suggestions for improving the current control system?
References
- Selvaggio, M.; Cognetti, M.; Nikolaidis, S.; Ivaldi, S.; Siciliano, B. Autonomy in Physical Human-Robot Interaction: A Brief Survey. IEEE Robot. Autom. Lett. 2021, 6, 7989–7996. [Google Scholar] [CrossRef]
- Wafa, H.A.; Wolfe, C.D.; Emmett, E.; Roth, G.A.; Johnson, C.O.; Wang, Y. Burden of Stroke in Europe. Stroke 2020, 51, 2418–2427. [Google Scholar] [CrossRef] [PubMed]
- Wolpaw, J.; Wolpaw, E.W. Brain–Computer Interfaces: Principles and Practice; Oxford University Press: Oxford, UK, 2012. [Google Scholar] [CrossRef]
- Gu, X.; Cao, Z.; Jolfaei, A.; Xu, P.; Wu, D.; Jung, T.P.; Lin, C.T. EEG-Based Brain-Computer Interfaces (BCIs): A Survey of Recent Studies on Signal Sensing Technologies and Computational Intelligence Approaches and Their Applications. IEEE/ACM Trans. Comput. Biol. Bioinform. 2021, 18, 1645–1666. [Google Scholar] [CrossRef] [PubMed]
- Abiri, R.; Borhani, S.; Sellers, E.W.; Jiang, Y.; Zhao, X. A Comprehensive Review of EEG-based Brain–Computer Interface Paradigms. J. Neural Eng. 2019, 16, 011001. [Google Scholar] [CrossRef] [PubMed]
- Singh, A.; Hussain, A.A.; Lal, S.; Guesgen, H.W. A Comprehensive Review on Critical Issues and Possible Solutions of Motor Imagery Based Electroencephalography Brain-Computer Interface. Sensors 2021, 21, 2173. [Google Scholar] [CrossRef] [PubMed]
- Decety, J. The Neurophysiological Basis of Motor Imagery. Behav. Brain Res. 1996, 77, 45–52. [Google Scholar] [CrossRef] [PubMed]
- Rashid, M.; Sulaiman, N.; Abdul Majeed, A.P.P.; Musa, R.M.; Ab. Nasir, A.F.; Bari, B.S.; Khatun, S. Current Status, Challenges, and Possible Solutions of EEG-Based Brain-Computer Interface: A Comprehensive Review. Front. Neurorobotics 2020, 14, 15. [Google Scholar] [CrossRef] [PubMed]
- Norman, D. The Design of Everyday Things: Revised and Expanded Edition; Hachette: London, UK, 2013. [Google Scholar]
- Kübler, A.; Holz, E.M.; Riccio, A.; Zickler, C.; Kaufmann, T.; Kleih, S.C.; Staiger-Sälzer, P.; Desideri, L.; Hoogerwerf, E.J.; Mattia, D. The User-Centered Design as Novel Perspective for Evaluating the Usability of BCI-Controlled Applications. PLoS ONE 2014, 9, e112392. [Google Scholar] [CrossRef] [PubMed]
- Garro, F.; McKinney, Z. Toward a Standard User-Centered Design Framework for Medical Applications of Brain-Computer Interfaces. In Proceedings of the 2020 IEEE International Conference on Human-Machine Systems (ICHMS), Rome, Italy, 7–9 September 2020; pp. 1–3. [Google Scholar] [CrossRef]
- Gena, C.; Hilviu, D.; Chiarion, G.; Roatta, S.; Bosco, F.M.; Calvo, A.; Mattutino, C.; Vincenzi, S. The BciAi4SLA Project: Towards a User-Centered BCI. Electronics 2023, 12, 1234. [Google Scholar] [CrossRef]
- Dillen, A.; Steckelmacher, D.; Efthymiadis, K.; Langlois, K.; Beir, A.D.; Marusic, U.; Vanderborght, B.; Nowé, A.; Meeusen, R.; Ghaffari, F.; et al. Deep Learning for Biosignal Control: Insights from Basic to Real-Time Methods with Recommendations. J. Neural Eng. 2022, 19, 011003. [Google Scholar] [CrossRef]
- Sauro, J.; Lewis, J. Quantifying the User Experience: Practical Statistics for User Research, 2nd ed.; Elsevier Science: Amsterdam, The Netherlands, 2016. [Google Scholar]
- Nielsen, J. Usability Engineering; Morgan Kaufmann: Burlington, MA, USA, 1994. [Google Scholar]
- Mridha, M.F.; Das, S.C.; Kabir, M.M.; Lima, A.A.; Islam, M.R.; Watanobe, Y. Brain-Computer Interface: Advancement and Challenges. Sensors 2021, 21, 5746. [Google Scholar] [CrossRef]
- Pan, H.; Ding, P.; Wang, F.; Li, T.; Zhao, L.; Nan, W.; Fu, Y.; Gong, A. Comprehensive Evaluation Methods for Translating BCI into Practical Applications: Usability, User Satisfaction and Usage of Online BCI Systems. Front. Hum. Neurosci. 2024, 18, 1429130. [Google Scholar] [CrossRef]
- Ortega-Gijon, Y.N.; Mezura-Godoy, C. Usability Evaluation of Brain Computer Interfaces: Analysis of Methods and Tools. In Proceedings of the 2019 IEEE International Conference on Engineering Veracruz (ICEV), Boca del Rio, Mexico, 14–17 October 2019; Volume I, pp. 1–8. [Google Scholar] [CrossRef]
- Cobos, J.; Moreira, C.; Cárdenas-Delgado, P.; Cedillo, P. Use and Product Quality of Brain-Computer Interface (BCI) Systems: A Systematic Literature Review. In Proceedings of the Doctoral Symposium on Information and Communication Technologies, Manta, Ecuador, 12–14 October 2022; Abad, K., Berrezueta, S., Eds.; Springer: Cham, Switzerland, 2022; pp. 208–222. [Google Scholar] [CrossRef]
- Choi, I.; Rhiu, I.; Lee, Y.; Yun, M.H.; Nam, C.S. A Systematic Review of Hybrid Brain-Computer Interfaces: Taxonomy and Usability Perspectives. PLoS ONE 2017, 12, e0176674. [Google Scholar] [CrossRef]
- Kuhner, D.; Fiederer, L.; Aldinger, J.; Burget, F.; Völker, M.; Schirrmeister, R.; Do, C.; Boedecker, J.; Nebel, B.; Ball, T.; et al. A Service Assistant Combining Autonomous Robotics, Flexible Goal Formulation, and Deep-Learning-Based Brain–Computer Interfacing. Robot. Auton. Syst. 2019, 116, 98–113. [Google Scholar] [CrossRef]
- Ron-Angevin, R.; Fernández-Rodríguez, Á.; Dupont, C.; Maigrot, J.; Meunier, J.; Tavard, H.; Lespinet-Najib, V.; André, J.M. Comparison of Two Paradigms Based on Stimulation with Images in a Spelling Brain–Computer Interface. Sensors 2023, 23, 1304. [Google Scholar] [CrossRef]
- Plass-Oude Bos, D.; Poel, M.; Nijholt, A. A Study in User-Centered Design and Evaluation of Mental Tasks for BCI. In Advances in Multimedia Modeling; Lee, K.T., Tsai, W.H., Liao, H.Y.M., Chen, T., Hsieh, J.W., Tseng, C.C., Eds.; Springer: Berlin/Heidelberg, Germany, 2011; pp. 122–134. [Google Scholar] [CrossRef]
- Li, Q.; Sun, M.; Song, Y.; Zhao, D.; Zhang, T.; Zhang, Z.; Wu, J. Mixed Reality-Based Brain Computer Interface System Using an Adaptive Bandpass Filter: Application to Remote Control of Mobile Manipulator. Biomed. Signal Process. Control 2023, 83, 104646. [Google Scholar] [CrossRef]
- Craik, A.; González-España, J.J.; Alamir, A.; Edquilang, D.; Wong, S.; Sánchez Rodríguez, L.; Feng, J.; Francisco, G.E.; Contreras-Vidal, J.L. Design and Validation of a Low-Cost Mobile EEG-Based Brain–Computer Interface. Sensors 2023, 23, 5930. [Google Scholar] [CrossRef] [PubMed]
- Casey, A.; Azhar, H.; Grzes, M.; Sakel, M. BCI Controlled Robotic Arm as Assistance to the Rehabilitation of Neurologically Disabled Patients. Disabil. Rehabil. Assist. Technol. 2021, 16, 525–537. [Google Scholar] [CrossRef]
- Ferrero, L.; Quiles, V.; Ortiz, M.; Iáñez, E.; Gil-Agudo, Á.; Azorín, J.M. Brain-Computer Interface Enhanced by Virtual Reality Training for Controlling a Lower Limb Exoskeleton. iScience 2023, 26, 106675. [Google Scholar] [CrossRef]
- Chen, X.; Yu, Y.; Tang, J.; Zhou, L.; Liu, K.; Liu, Z.; Chen, S.; Wang, J.; Zeng, L.L.; Liu, J.; et al. Clinical Validation of BCI-Controlled Wheelchairs in Subjects With Severe Spinal Cord Injury. IEEE Trans. Neural Syst. Rehabil. Eng. 2022, 30, 579–589. [Google Scholar] [CrossRef]
- Holz, E.M.; Höhne, J.; Staiger-Sälzer, P.; Tangermann, M.; Kübler, A. Brain–Computer Interface Controlled Gaming: Evaluation of Usability by Severely Motor Restricted End-Users. Artif. Intell. Med. 2013, 59, 111–120. [Google Scholar] [CrossRef]
- Athanasiou, A.; Arfaras, G.; Pandria, N.; Xygonakis, I.; Foroglou, N.; Astaras, A.; Bamidis, P.D. Wireless Brain-Robot Interface: User Perception and Performance Assessment of Spinal Cord Injury Patients. Wirel. Commun. Mob. Comput. 2017, 2017, 2986423. [Google Scholar] [CrossRef]
- Lyu, X.; Ding, P.; Li, S.; Dong, Y.; Su, L.; Zhao, L.; Gong, A.; Fu, Y. Human Factors Engineering of BCI: An Evaluation for Satisfaction of BCI Based on Motor Imagery. Cogn. Neurodynamics 2023, 17, 105–118. [Google Scholar] [CrossRef] [PubMed]
- Si-Mohammed, H.; Petit, J.; Jeunet, C.; Argelaguet, F.; Spindler, F.; Évain, A.; Roussel, N.; Casiez, G.; Lecuyer, A. Towards BCI-Based Interfaces for Augmented Reality: Feasibility, Design and Evaluation. IEEE Trans. Vis. Comput. Graph. 2020, 26, 1608–1621. [Google Scholar] [CrossRef] [PubMed]
- Ortega, Y.N.; Mezura-Godoy, C. Usability Evaluation of BCI Software Applications: A Systematic Review of the Literature. Program. Comput. Softw. 2022, 48, 646–657. [Google Scholar] [CrossRef]
- Unity Technologies. Unity, 2024. Game Development Platform. Available online: https://unity.com/ (accessed on 5 May 2023).
- Microsoft. MRTK2-Unity Developer Documentation—MRTK 2; Microsoft: Houston, TX, USA, 2022. [Google Scholar]
- Klem, G.H.; Lüders, H.O.; Jasper, H.H.; Elger, C. The Ten-Twenty Electrode System of the International Federation. The International Federation of Clinical Neurophysiology. Electroencephalogr. Clin. Neurophysiol. Suppl. 1999, 52, 3–6. [Google Scholar]
- Haddadin, S.; Parusel, S.; Johannsmeier, L.; Golz, S.; Gabl, S.; Walch, F.; Sabaghian, M.; Jähne, C.; Hausperger, L.; Haddadin, S. The franka emika robot: A reference platform for robotics research and education. IEEE Robot. Autom. Mag. 2022, 29, 46–64. [Google Scholar] [CrossRef]
- Gramfort, A.; Luessi, M.; Larson, E.; Engemann, D.; Strohmeier, D.; Brodbeck, C.; Goj, R.; Jas, M.; Brooks, T.; Parkkonen, L.; et al. MEG and EEG Data Analysis with MNE-Python. Front. Neurosci. 2013, 7, 267. [Google Scholar] [CrossRef]
- LSL contributors. Sccn/Labstreaminglayer; Swartz Center for Computational Neuroscience: San Diego, CA, USA, 2023. [Google Scholar]
- Pedregosa, F.; Varoquaux, G.; Gramfort, A.; Michel, V.; Thirion, B.; Grisel, O.; Blondel, M.; Prettenhofer, P.; Weiss, R.; Dubourg, V.; et al. Scikit-Learn: Machine Learning in Python. J. Mach. Learn. Res. 2011, 12, 2825–2830. [Google Scholar]
- Widmann, A.; Schröger, E.; Maess, B. Digital Filter Design for Electrophysiological Data—A Practical Approach. J. Neurosci. Methods 2015, 250, 34–46. [Google Scholar] [CrossRef]
- Koles, Z.J.; Lazar, M.S.; Zhou, S.Z. Spatial Patterns Underlying Population Differences in the Background EEG. Brain Topogr. 1990, 2, 275–284. [Google Scholar] [CrossRef] [PubMed]
- McLachlan, G.J. Discriminant Analysis and Statistical Pattern Recognition; Wiley Series in Probability and Mathematical Statistics: Applied Probability and Statistics; John Wiley & Sons, Inc.: New York, NY, USA, 1992. [Google Scholar] [CrossRef]
- Xu, B.; Li, W.; Liu, D.; Zhang, K.; Miao, M.; Xu, G.; Song, A. Continuous Hybrid BCI Control for Robotic Arm Using Noninvasive Electroencephalogram, Computer Vision, and Eye Tracking. Mathematics 2022, 10, 618. [Google Scholar] [CrossRef]
- World Medical Association. World Medical Association Declaration of Helsinki: Ethical Principles for Medical Research Involving Human Subjects. JAMA 2013, 310, 2191–2194. [Google Scholar] [CrossRef] [PubMed]
- Harris, P.A.; Taylor, R.; Minor, B.L.; Elliott, V.; Fernandez, M.; O’Neal, L.; McLeod, L.; Delacqua, G.; Delacqua, F.; Kirby, J.; et al. The REDCap Consortium: Building an International Community of Software Platform Partners. J. Biomed. Informatics 2019, 95, 103208. [Google Scholar] [CrossRef] [PubMed]
- Reback, J.; McKinney, W.; Jbrockmendel; den Bossche, J.V.; Augspurger, T.; Cloud, P.; Gfyoung; Sinhrks; Klein, A.; Roeschke, M.; et al. Pandas-Dev/Pandas: Pandas 1.0.3; Zenodo: Geneva, Switzerland, 2020. [Google Scholar] [CrossRef]
- Waskom, M.L. Seaborn: Statistical Data Visualization. J. Open Source Softw. 2021, 6, 3021. [Google Scholar] [CrossRef]
- Virtanen, P.; Gommers, R.; Oliphant, T.E.; Haberland, M.; Reddy, T.; Cournapeau, D.; Burovski, E.; Peterson, P.; Weckesser, W.; Bright, J.; et al. SciPy 1.0: Fundamental Algorithms for Scientific Computing in Python. Nat. Methods 2020, 17, 261–272. [Google Scholar] [CrossRef] [PubMed]
- Laugwitz, B.; Held, T.; Schrepp, M. Construction and Evaluation of a User Experience Questionnaire. In HCI and Usability for Education and Work; Holzinger, A., Ed.; Springer: Berlin/Heidelberg, Germany, 2008. [Google Scholar] [CrossRef]
- Smith, M.R.; Chai, R.; Nguyen, H.T.; Marcora, S.M.; Coutts, A.J. Comparing the Effects of Three Cognitive Tasks on Indicators of Mental Fatigue. J. Psychol. 2019, 153, 759–783. [Google Scholar] [CrossRef]
- McNair, D.M.; Lorr, M.; Droppleman, L.F. Profile of Mood States; Educational and Industrial Testing Service: San Diego, CA, USA, 1992. [Google Scholar]
- Williams, S.E.; Cumming, J.; Ntoumanis, N.; Nordin-Bates, S.M.; Ramsey, R.; Hall, C. Further Validation and Development of the Movement Imagery Questionnaire. J. Sport Exerc. Psychol. 2012, 34, 621–646. [Google Scholar] [CrossRef] [PubMed]
- D’Agostino, R.; Pearson, E.S. Tests for Departure from Normality. Empirical Results for the Distributions of B2 and √b1. Biometrika 1973, 60, 613–622. [Google Scholar] [CrossRef]
- Student. The Probable Error of a Mean. Biometrika 1908, 6, 1–25. [Google Scholar] [CrossRef]
- Wilcoxon, F. Individual Comparisons by Ranking Methods. Biom. Bull. 1945, 1, 80–83. [Google Scholar] [CrossRef]
- Mann, H.B.; Whitney, D.R. On a Test of Whether One of Two Random Variables Is Stochastically Larger than the Other. Ann. Math. Stat. 1947, 18, 50–60. [Google Scholar] [CrossRef]
- Kotonya, G. Requirements Engineering: Processes and Techniques; Chichester, [Eng.]; J. Wiley: New York, NY, USA, 1998. [Google Scholar]
- McGraw, K.L.; Harbison, K. User-Centered Requirements: The Scenario-based Engineering Process; CRC Press: Boca Raton, FL, USA, 2020. [Google Scholar] [CrossRef]
- Sawangjai, P.; Hompoonsup, S.; Leelaarporn, P.; Kongwudhikunakorn, S.; Wilaiprasitporn, T. Consumer Grade EEG Measuring Sensors as Research Tools: A Review. IEEE Sensors J. 2020, 20, 3996–4024. [Google Scholar] [CrossRef]
- Talukdar, U.; Hazarika, S.M.; Gan, J.Q. Motor Imagery and Mental Fatigue: Inter-Relationship and EEG Based Estimation. J. Comput. Neurosci. 2019, 46, 55–76. [Google Scholar] [CrossRef]
- Sakurada, T.; Hirai, M.; Watanabe, E. Optimization of a Motor Learning Attention-Directing Strategy Based on an Individual’s Motor Imagery Ability. Exp. Brain Res. 2016, 234, 301–311. [Google Scholar] [CrossRef] [PubMed]
- Nouri, M.; Moradi, F.; Ghaemi, H.; Motie Nasrabadi, A. Towards Real-World BCI: CCSPNet, a Compact Subject-Independent Motor Imagery Framework. Digit. Signal Process. 2023, 133, 103816. [Google Scholar] [CrossRef]
- Zhao, H.; Zheng, Q.; Ma, K.; Li, H.; Zheng, Y. Deep Representation-Based Domain Adaptation for Nonstationary EEG Classification. IEEE Trans. Neural Networks Learn. Syst. 2021, 32, 535–545. [Google Scholar] [CrossRef]
- Xu, Y.; Ding, C.; Shu, X.; Gui, K.; Bezsudnova, Y.; Sheng, X.; Zhang, D. Shared Control of a Robotic Arm Using Non-Invasive Brain–Computer Interface and Computer Vision Guidance. Robot. Auton. Syst. 2019, 115, 121–129. [Google Scholar] [CrossRef]
- Vourvopoulos, A.; Blanco-Mora, D.A.; Aldridge, A.; Jorge, C.; Figueiredo, P.; i Badia, S.B. Enhancing Motor-Imagery Brain-Computer Interface Training With Embodied Virtual Reality: A Pilot Study With Older Adults. In Proceedings of the 2022 IEEE International Conference on Metrology for Extended Reality, Artificial Intelligence and Neural Engineering (MetroXRAINE), Rome, Italy, 26–28 October 2022; pp. 157–162. [Google Scholar] [CrossRef]
- Lorist, M.M.; Faber, L.G. Consideration of the Influence of Mental Fatigue on Controlled and Automatic Cognitive Processes and Related Neuromodulatory Effects. In Cognitive Fatigue: Multidisciplinary Perspectives on Current Research and Future Applications; Decade of Behavior/Science Conference, American Psychological Association: Washington, DC, USA, 2011; pp. 105–126. [Google Scholar] [CrossRef]
- Nagarajan, A.; Robinson, N.; Ang, K.K.; Chua, K.S.G.; Chew, E.; Guan, C. Transferring a Deep Learning Model from Healthy Subjects to Stroke Patients in a Motor Imagery Brain–Computer Interface. J. Neural Eng. 2024, 21, 016007. [Google Scholar] [CrossRef]
- Dillen, A.; Lathouwers, E.; Miladinović, A.; Marusic, U.; Ghaffari, F.; Romain, O.; Meeusen, R.; De Pauw, K. A Data-Driven Machine Learning Approach for Brain-Computer Interfaces Targeting Lower Limb Neuroprosthetics. Front. Hum. Neurosci. 2022, 16, 949224. [Google Scholar] [CrossRef]
- Abenna, S.; Nahid, M.; Bouyghf, H.; Ouacha, B. EEG-based BCI: A Novel Improvement for EEG Signals Classification Based on Real-Time Preprocessing. Comput. Biol. Med. 2022, 148, 105931. [Google Scholar] [CrossRef] [PubMed]
- Wan, Z.; Yang, R.; Huang, M.; Zeng, N.; Liu, X. A Review on Transfer Learning in EEG Signal Analysis. Neurocomputing 2021, 421, 1–14. [Google Scholar] [CrossRef]
- Lee, P.L.; Chen, S.H.; Chang, T.C.; Lee, W.K.; Hsu, H.T.; Chang, H.H. Continual Learning of a Transformer-Based Deep Learning Classifier Using an Initial Model from Action Observation EEG Data to Online Motor Imagery Classification. Bioengineering 2023, 10, 186. [Google Scholar] [CrossRef] [PubMed]
- Klein, G.; Guetschel, P.; Silvestri, G.; Tangermann, M. Synthesizing EEG Signals from Event-Related Potential Paradigms with Conditional Diffusion Models. arXiv 2024, arXiv:2403.18486. [Google Scholar] [CrossRef]
- Roc, A.; Pillette, L.; Mladenovic, J.; Benaroch, C.; N’Kaoua, B.; Jeunet, C.; Lotte, F. A Review of User Training Methods in Brain Computer Interfaces Based on Mental Tasks. J. Neural Eng. 2021, 18, 011002. [Google Scholar] [CrossRef] [PubMed]
- Kyriaki, K.; Koukopoulos, D.; Fidas, C.A. A Comprehensive Survey of EEG Preprocessing Methods for Cognitive Load Assessment. IEEE Access 2024, 12, 23466–23489. [Google Scholar] [CrossRef]
- Joseph Artuso. Slush 2023: OpenBCI Unveils Galea Beta and Galea Unlimited Roadmap. 2023. Available online: https://galea.co/blog/slush-2023-openbci-unveils-galea-beta-and-galea-unlimited-roadmap (accessed on 17 May 2024).
- Belwafi, K.; Gannouni, S.; Aboalsamh, H. Embedded Brain Computer Interface: State-of-the-Art in Research. Sensors 2021, 21, 4293. [Google Scholar] [CrossRef]
- Pacini, F.; Pacini, T.; Lai, G.; Zocco, A.M.; Fanucci, L. Design and Evaluation of CPU-, GPU-, and FPGA-Based Deployment of a CNN for Motor Imagery Classification in Brain-Computer Interfaces. Electronics 2024, 13, 1646. [Google Scholar] [CrossRef]






| Question | BCI | Eye Tracking | p-Value |
|---|---|---|---|
| annoying—enjoyable | |||
| not understandable—understandable | 0.019 | ||
| creative—dull | |||
| easy to learn—difficult to learn | |||
| valuable—inferior | |||
| boring—exciting | |||
| not interesting—interesting | |||
| unpredictable—predictable | |||
| fast—slow | |||
| inventive—conventional | |||
| obstructive—supportive | |||
| good—bad | |||
| complicated—simple | |||
| unlikable—pleasing | |||
| usual—leading edge | |||
| unpleasant—pleasant | |||
| secure—not secure | |||
| motivating—demotivating | |||
| meets expectations—does not meet expectations | |||
| inefficient—efficient | |||
| clear—confusing | |||
| impractical—practical | |||
| organized—cluttered | |||
| attractive—unattractive | |||
| friendly—unfriendly | |||
| conservative—innovative |
Disclaimer/Publisher’s Note: The statements, opinions and data contained in all publications are solely those of the individual author(s) and contributor(s) and not of MDPI and/or the editor(s). MDPI and/or the editor(s) disclaim responsibility for any injury to people or property resulting from any ideas, methods, instructions or products referred to in the content. |
© 2024 by the authors. Licensee MDPI, Basel, Switzerland. This article is an open access article distributed under the terms and conditions of the Creative Commons Attribution (CC BY) license (https://creativecommons.org/licenses/by/4.0/).
Share and Cite
Dillen, A.; Omidi, M.; Ghaffari, F.; Romain, O.; Vanderborght, B.; Roelands, B.; Nowé, A.; De Pauw, K. User Evaluation of a Shared Robot Control System Combining BCI and Eye Tracking in a Portable Augmented Reality User Interface. Sensors 2024, 24, 5253. https://doi.org/10.3390/s24165253
Dillen A, Omidi M, Ghaffari F, Romain O, Vanderborght B, Roelands B, Nowé A, De Pauw K. User Evaluation of a Shared Robot Control System Combining BCI and Eye Tracking in a Portable Augmented Reality User Interface. Sensors. 2024; 24(16):5253. https://doi.org/10.3390/s24165253
Chicago/Turabian StyleDillen, Arnau, Mohsen Omidi, Fakhreddine Ghaffari, Olivier Romain, Bram Vanderborght, Bart Roelands, Ann Nowé, and Kevin De Pauw. 2024. "User Evaluation of a Shared Robot Control System Combining BCI and Eye Tracking in a Portable Augmented Reality User Interface" Sensors 24, no. 16: 5253. https://doi.org/10.3390/s24165253
APA StyleDillen, A., Omidi, M., Ghaffari, F., Romain, O., Vanderborght, B., Roelands, B., Nowé, A., & De Pauw, K. (2024). User Evaluation of a Shared Robot Control System Combining BCI and Eye Tracking in a Portable Augmented Reality User Interface. Sensors, 24(16), 5253. https://doi.org/10.3390/s24165253

