A Switched Approach for Smartphone-Based Pedestrian Navigation
Abstract
1. Introduction
2. The Proposed Approach
2.1. Navigation Using GNSS Signals
- An inertial measurement unit whose axes are aligned with the principal axes of the smartphone. The latter comprises two types of triaxial sensors that provide the measurements expressed in the local coordinate system (L-system): an accelerometer that measures the specific force [m/s2], and a rate gyro that measures the angular velocity [rad/s], where T is the IMU sampling time, [rad] is the roll angle, is the pitch angle, and [rad] is the yaw angle.
- A GNSS receiver that gathers the position measurements [m] as well as the corresponding velocities [m/s] both expressed in the ENU-system.
- Available information:
- Prediction step:
- Measurement noise parameter update:where is the innovation, and and is the forgetting factor.
- Update step:
- Process noise parameters update:
- Compute
- Compute the average value of the bias vector over a window of length N
2.2. Navigation without GNSS Signals
- Available information:
- Compute the average value of the maneuvering acceleration as in (23) where is obtained from .
- Compute the parameters and (and thus also ) using with .
3. Experiments
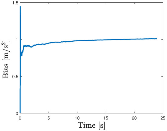
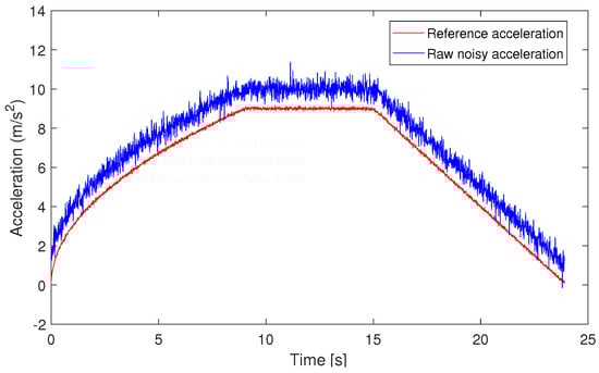
3.1. Synthetic Experiment
3.2. Real Experiment
4. Conclusions
Author Contributions
Funding
Data Availability Statement
Conflicts of Interest
References
- Zhuang, Y.; El-Sheimy, N. Tightly-coupled integration of WiFi and MEMS sensors on handheld devices for indoor pedestrian navigation. IEEE Sens. J. 2016, 16, 224–234. [Google Scholar] [CrossRef]
- Wang, Q.; Luo, H.; Wang, J.; Sun, L.; Ma, Z.; Zhang, C.; Fu, M.; Zhao, F. Recent advances in pedestrian navigation activity recognition: A review. IEEE Sens. J. 2022, 22, 7499–7518. [Google Scholar]
- Majumder, S.; Deen, M.J. Smartphone sensors for health monitoring and diagnosis. Sensors 2022, 19, 2164. [Google Scholar] [CrossRef] [PubMed]
- Kang, W.; Han, Y. SmartPDR: Smartphone-based pedestrian dead reckoning for indoor localization. IEEE Sens. J. 2015, 15, 2906–2916. [Google Scholar] [CrossRef]
- Huang, H.; Gartner, G. Current trends and challenges in location-based services. ISPRS Int. J. Geo-Inf. 2018, 7, 199. [Google Scholar] [CrossRef]
- Liao, J.; Chiang, K.; Zhou, Z. The performance analysis of smartphone-based pedestrian dead reckoning and wireless locating technology for indoor navigation application. Inventions 2016, 1, 25. [Google Scholar] [CrossRef]
- Millonig, A.; Schechtner, K. Developing landmark-based pedestrian-navigation systems. IEEE Trans. Intell. Transp. Syst. 2007, 8, 43–49. [Google Scholar] [CrossRef]
- Du, J.; Zheng, C.; Zhang, Z.; Zhai, Z.; Yu, Y.; He, N.; Sicker, D.; Ren, Y. A smartphone-based traffic information service platform for pedestrian and bicycle systems. In Proceedings of the 15th International IEEE Conference on Intelligent Transportation Systems, Anchorage, AK, USA, 16–19 September 2012; pp. 685–690. [Google Scholar]
- Gao, H.; Yun, Q.; Ran, R.; Ma, J. Smartphone-based parking guidance algorithm and implementation. J. Intell. Transp. Syst. 2021, 20, 412–422. [Google Scholar] [CrossRef]
- Basso, M.; Galanti, M.; Innocenti, G.; Miceli, D. Triggered INS/GNSS data fusion algorithms for enhanced pedestrian navigation system. IEEE Sens. J. 2020, 20, 7447–7459. [Google Scholar] [CrossRef]
- Miyai, S.; Amano, Y.; Kubo, Y. Pedestrian navigation in urban area using GNSS raw data with smartphones. In Proceedings of the 2020 International Technical Meeting of The Institute of Navigation, San Diego, CA, USA, 21–24 January 2020; pp. 660–671. [Google Scholar]
- Magalhaes, A.; Bastos, L.; Maia, D.; Goncalves, J.A. Relative positioning in remote areas using a gnss dual frequency smartphone. Sensors 2021, 21, 8354. [Google Scholar] [CrossRef] [PubMed]
- Weng, D.; Chen, W.; Ji, S.; Wang, J. Intelligent Urban Positioning Using Smartphone-Based GNSS and Pedestrian Network. IEEE Internet Things J. 2024, 11, 22537–22549. [Google Scholar] [CrossRef]
- Renfro, B.A.; Stein, M.; Boeker, N.; Terry, A. An Analysis of Global Positioning System (GPS) Standard Positioning Service (SPS) Performance for 2017. 2018. Available online: https://www.gps.gov/systems/gps/performance/2014-GPS-SPS-performance-analysis.pdf (accessed on 11 August 2024).
- Hegarty, C.J.; Chatre, E. Evolution of the global navigation satellitesystem (gnss). Proc. IEEE 2008, 98, 1902–1917. [Google Scholar] [CrossRef]
- Shakerian, A.; Eghmazi, A.; Goasdoué, J.; Landry, R.J. A secure ZUPT-aided indoor navigation system using blockchain in GNSS-denied environments. Sensors 2023, 23, 6393. [Google Scholar] [CrossRef] [PubMed]
- Boiteau, S.; Vanegas, F.; Gonzalez, F. Framework for Autonomous UAV Navigation and Target Detection in Global-Navigation-Satellite-System-Denied and Visually Degraded Environments. Remote Sens. 2024, 16, 471. [Google Scholar] [CrossRef]
- Retscher, G. Indoor navigation—User requirements, state-of-the-art and developments for smartphone localization. Geomatics 2022, 3, 1–46. [Google Scholar] [CrossRef]
- Li, J.; Wu, W.; Yang, B.; Zou, X.; Yang, Y.; Zhao, X.; Dong, Z. WHU-helmet: A helmet-based multisensor SLAM dataset for the evaluation of real-time 3-D mapping in large-scale GNSS-denied environments. IEEE Trans. Geosci. Remote Sens. 2023, 61, 1–16. [Google Scholar] [CrossRef]
- Masiero, A.; Guarnieri, A.; Pirotti, F.; Vettore, A. A particle filter for smartphone-based indoor pedestrian navigation. Micromachines 2014, 5, 1012–1033. [Google Scholar] [CrossRef]
- Zhang, L.; Liu, J.; Jiang, H.; Guan, Y. SensTrack: Energy-efficient location tracking with smartphone sensors. IEEE Sens. J. 2013, 13, 3775–3784. [Google Scholar] [CrossRef]
- He, G.; Yuan, X.; Zhuang, Y.; Hu, H. An integrated GNSS/LiDAR-SLAM pose estimation framework for large-scale map building in partially GNSS-denied environments. IEEE Trans. Instrum. Meas. 2020, 70, 1–9. [Google Scholar] [CrossRef]
- Quezada, G.D.; Torres, S.J.; Nurmi, J.; Koucheryavy, Y.; Huerta, J. Cloud platforms for context-adaptive positioning and localisation in GNSS-denied scenarios—A systematic review. Sensors 2021, 22, 110. [Google Scholar] [CrossRef] [PubMed]
- El-Taher, F.E.Z.; Taha, A.; Courtney, J.; Mckeever, S. A systematic review of urban navigation systems for visually impaired people. Sensors 2021, 21, 3103. [Google Scholar] [CrossRef] [PubMed]
- Hsu, L.T.; Gu, Y.; Huang, Y.; Kamijo, S. Urban pedestrian navigation using smartphone-based dead reckoning and 3-D map-aided GNSS. IEEE Sens. J. 2015, 16, 1281–1293. [Google Scholar] [CrossRef]
- Wang, X.; Chen, G.; Yang, M.; Jin, S. A multi-mode PDR perception and positioning system assisted by map matching and particle filtering. ISPRS Int. J. Geo-Inf. 2020, 9, 93. [Google Scholar] [CrossRef]
- Naheem, K.; Kim, M.S. A low-cost foot-placed UWB and IMU fusion-based indoor pedestrian tracking system for IoT applications. Sensors 2022, 22, 8160. [Google Scholar] [CrossRef] [PubMed]
- Yan, L.; Zhen, T.; Kong, J.; Wang, L.; Zhou, X. Walking Gait Phase Detection Based on Acceleration Signals Using Voting-Weighted Integrated Neural Network. Complexity 2020, 2020, 4760297. [Google Scholar] [CrossRef]
- Zhang, H.; Yuan, W.; Shen, Q.; Li, T.; Chang, H. A handheld inertial pedestrian navigation system with accurate step modes and device poses recognition. IEEE Sens. J. 2015, 15, 1421–1429. [Google Scholar] [CrossRef]
- Xie, D.; Jiang, J.; Yan, P.; Wu, J.; Li, Y.; Yu, Z. A Novel Three-Dimensional Positioning Method for Foot-Mounted Pedestrian Navigation System Using Low-Cost Inertial Sensor. Electronics 2023, 12, 3. [Google Scholar] [CrossRef]
- Kumar, R.; Torres, S.J. Chaurasiya, V.K. H2LWRF-PDR: An efficient indoor positioning algorithm using a single Wi-Fi access point and Pedestrian Dead Reckoning. Internet Things 2024, 27, 101271. [Google Scholar] [CrossRef]
- Park, K.; Kim, W.; Seo, J. Effects of initial attitude estimation errors on loosely coupled smartphone GPS/IMU integration system. In Proceedings of the 2020 20th International Conference on Control, Automation and Systems (ICCAS), Busan, Republic of Korea, 13–16 October 2020; pp. 800–803. [Google Scholar]
- Jain, M.; Patel, W. Review on lidar-based navigation systems for the visually impaired. SN Comput. Sci. 2023, 4, 323. [Google Scholar] [CrossRef]
- Li, Y.; Zhuang, Y.; Lan, H.; Zhou, Q.; Niu, X.; El-Sheimy, N. A hybrid WiFi/magnetic matching/PDR approach for indoor navigation with smartphone sensors. IEEE Commun. Lett. 2016, 20, 169–172. [Google Scholar] [CrossRef]
- Zhuang, Y.; Sun, X.; Li, Y.; Huai, J.; Hua, L.; Yang, X.; Cao, X.; Zhang, P.; Cao, Y.; Qi, L. Multi-sensor integrated navigation/positioning systems using data fusion: From analytics-based to learning-based approaches. Inf. Fusion 2023, 95, 62–90. [Google Scholar] [CrossRef]
- Yun, X.; Bachmann, E.R.; Moore, H.; Calusdian, J. Self-contained position tracking of human movement using small inertial/magnetic sensor modules. In Proceedings of the 2007 IEEE International Conference on Robotics and Automation, Rome, Italy, 10–14 April 2007; pp. 2526–2533. [Google Scholar]
- Ilewicz, W.; Skrzypczyk, K.; Galuszka, A.; Grzejszczak, T.; Bereska, D.; Pacholczyk, M. Estimation of uncertainty of IMU module measurement results. In Proceedings of the 2018 International Conference on Signals and Electronic Systems (ICSES), Kraków, Poland, 10–12 September 2018; pp. 92–95. [Google Scholar]
- Cho, S.Y.; Park, C.G. MEMS based pedestrian navigation system. J. Navig. 2006, 59, 135–153. [Google Scholar] [CrossRef]
- Groves, P.D. Principles of GNSS, Inertial, and Multisensor Integrated Navigation Systems; Artech House: Norwood, MA, USA, 2013. [Google Scholar]
- Ding, Y.; Xiong, Z.; Li, W.; Cao, Z.; Wang, Z. Pedestrian navigation system with trinal-IMUs for drastic motions. Sensors 2020, 20, 5580. [Google Scholar] [CrossRef] [PubMed]
- Jimenez, A.R.; Seco, F.; Prieto, J.C.; Guevara, J. Indoor pedestrian navigation using an INS/EKF framework for yaw drift reduction and a foot-mounted IMU. In Proceedings of the 7th Workshop on Positioning, Navigation and Communication, Dresden, Germany, 11–12 March 2010; pp. 135–143. [Google Scholar]
- Hou, X.; Bergmann, J. Pedestrian dead reckoning with wearable sensors: A systematic review. IEEE Sens. J. 2020, 21, 143–152. [Google Scholar] [CrossRef]
- Kuang, J.; Niu, X.; Chen, X. Robust pedestrian dead reckoning based on MEMS-IMU for smartphones. Sensors 2018, 18, 1391. [Google Scholar] [CrossRef] [PubMed]
- Yu, N.; Li, Y.; Ma, X.; Wu, Y.; Feng, R. Comparison of Pedestrian Tracking Methods Based on Foot- and Waist-Mounted Inertial Sensors and Handheld Smartphones. IEEE Sens. J. 2019, 19, 8160–8173. [Google Scholar] [CrossRef]
- Abdallah, A.A.; Jao, C.S.; Kassas, Z.M.; Shkel, A.M. A pedestrian indoor navigation system using deep-learning-aided cellular signals and ZUPT-aided foot-mounted IMUs. IEEE Sens. J. 2021, 22, 5188–5198. [Google Scholar] [CrossRef]
- Luan, V.; Huang, M. Real-time human foot motion localization algorithm with dynamic speed. IEEE Trans. Hum.-Mach. Syst. 2016, 46, 822–833. [Google Scholar]
- Brahms, C.; Zhao, Y.; Gerhard, D.; Barden, J.M. Stride length determination during overground running using a single foot-mounted inertial measurement unit. J. Biomech. 2018, 71, 302–305. [Google Scholar] [CrossRef] [PubMed]
- Wei, R.; Xu, H.; Yang, M.; Yu, X.; Xiao, Z.; Yan, B. Real-time pedestrian tracking terminal based on adaptive zero velocity update. Sensors 2021, 21, 3808. [Google Scholar]
- Luo, Y.; Guo, C.; Su, J.; Guo, W.; Zhang, Q. Learning-based complex motion patterns recognition for pedestrian dead reckoning. IEEE Sens. J. 2020, 21, 4280–4290. [Google Scholar] [CrossRef]
- Shin, B.; Kim, C.; Kim, J.; Lee, S.; Kee, C.; Kim, H.S.; Lee, T. Motion recognition-based 3D pedestrian navigation system using smartphone. IEEE Sens. J. 2016, 16, 6977–6989. [Google Scholar] [CrossRef]
- Ye, J.; Li, X.; Zhang, X.; Zhang, Q.; Chen, W. Deep learning-based human activity real-time recognition for pedestrian navigation. Sensors 2020, 20, 2574. [Google Scholar] [CrossRef] [PubMed]
- Song, J.; Zhu, A.; Tu, Y.; Huang, H.; Arif, M.A.; Shen, Z.; Zhang, X.; Cao, G. Effects of different feature parameters of sEMG on human motion pattern recognition using multilayer perceptrons and LSTM neural networks. Appl. Sci. 2020, 10, 3358. [Google Scholar] [CrossRef]
- Plascencia, A.C.; García-Gómez, P.; Perez, E.B.; DeMas-Giménez, G.; Casas, J.R.; Royo, S. A preliminary study of deep learning sensor fusion for pedestrian detection. Sensors 2023, 23, 4167. [Google Scholar] [CrossRef] [PubMed]
- Lu, S.; Gong, Y.; Luo, H.; Zhao, F.; Li, Z.; Jiang, J. Heterogeneous multi-task learning for multiple pseudo-measurement estimation to bridge GPS outages. IEEE Trans. Instrum. Meas. 2020, 70, 1–16. [Google Scholar] [CrossRef]
- Roh, D.H.; Lee, J.Y. Augmented reality-based navigation using deep learning-based pedestrian and personal mobility user recognition—A comparative evaluation for driving assistance. IEEE Access 2023, 11, 62200–62211. [Google Scholar] [CrossRef]
- Chen, C.; Zhao, P.; Lu, C.; Wang, W. a Markham, A.; Trigoni, N. Deep-learning-based pedestrian inertial navigation: Methods, data set, and on-device inference. IEEE Internet Things J. 2020, 7, 4431–4441. [Google Scholar] [CrossRef]
- Chen, C.; Pan, X. Deep learning for inertial positioning: A survey. IEEE Trans. Intell. Transp. Syst. 2024, 1–18. [Google Scholar] [CrossRef]
- Dong, Z.; Kong, J.; Yan, W.; Wang, X.; Li, H. Multivariable High-Dimension Time-Series Prediction in SIoT via Adaptive Dual-Graph-Attention Encoder-Decoder With Global Bayesian Optimization. IEEE Internet Things J. 2024; early access. [Google Scholar]
- Cao, L.; Luo, X.; Liu, L.; Wang, G.; Zhou, J. Error compensation method for pedestrian navigation system based on low-cost inertial sensor array. Sensors 2024, 24, 2234. [Google Scholar] [CrossRef] [PubMed]
- Zhu, H.; Zhang, G.; Li, Y.; Leung, H. An adaptive Kalman filter with inaccurate noise covariances in the presence of outliers. IEEE Trans. Autom. Control 2021, 67, 374–381. [Google Scholar] [CrossRef]
- Ge, Q.; Li, Y.; Wang, Y.; Hu, X.; Li, H.; Sun, C. Adaptive Kalman filtering based on model parameter ratios. IEEE Trans. Autom. Control 2024, 1–8. [Google Scholar] [CrossRef]
- Gao, X.; Luo, H.; Ning, B.; Zhao, F.; Bao, L.; Gong, Y.; Xiao, Y.; Jiang, J. RL-AKF: An adaptive Kalman filter navigation algorithm based on reinforcement learning for ground vehicles. Remote Sens. 2020, 12, 1704. [Google Scholar] [CrossRef]
- Mohamed, A.H.; Schwarz, K.P. Adaptive Kalman filtering for INS/GPS. J. Geod. 1999, 73, 193–203. [Google Scholar] [CrossRef]
- Yi, S.; Zorzi, M. Robust Kalman filtering under model uncertainty: The case of degenerate densities. IEEE Trans. Autom. Control 2021, 67, 3458–3471. [Google Scholar] [CrossRef]
- Yi, S.; Zorzi, M. Robust fixed-lag smoothing under model perturbations. J. Frankl. Inst. 2023, 360, 458–483. [Google Scholar] [CrossRef]
- Rocha, K.D.T.; Terra, M.H. Robust Kalman filter for systems subject to parametric uncertainties. Syst. Control Lett. 2021, 157, 105034. [Google Scholar] [CrossRef]
- Zhu, X.; Soh, Y.C.; Xie, L. Design and analysis of discrete-time robust Kalman filters. Automatica 2002, 38, 1069–1077. [Google Scholar] [CrossRef]
- Zorzi, M. Robust Kalman filtering under model perturbations. IEEE Trans. Autom. Control 2016, 62, 2902–2907. [Google Scholar] [CrossRef]
- Zorzi, M. On the robustness of the Bayes and Wiener estimators under model uncertainty. Automatica 2017, 83, 133–140. [Google Scholar] [CrossRef]
- Zorzi, M. Convergence analysis of a family of robust Kalman filters based on the contraction principle. SIAM J. Control Optim. 2017, 55, 3116–3131. [Google Scholar] [CrossRef]
- Levy, B.; Zorzi, M. A contraction analysis of the convergence of risk-sensitive filters. SIAM J. Control Optim. 2016, 54, 2154–2173. [Google Scholar] [CrossRef]
- Zorzi, M.; Yi, S. On the convergence of degenerate risk sensitive filters. Syst. Control Lett. 2024, 185, 105732. [Google Scholar] [CrossRef]
- Zenere, A.; Zorzi, M. On the coupling of model predictive control and robust Kalman filtering. IET Control Theory Appl. 2018, 12, 1873–1881. [Google Scholar] [CrossRef]
- Emanuele, A.; Gasparotto, F.; Guerra, G.; Zorzi, M. Robust distributed Kalman filtering: On the choice of the local tolerance. Sensors 2020, 20, 3244. [Google Scholar] [CrossRef] [PubMed]
- Zhou, H.; Kumar, K. A ‘current’ statistical model and adaptive algorithm for estimating maneuvering targets. J. Guid. Control Dyn. 1984, 7, 596–602. [Google Scholar] [CrossRef]
- Yi, S.; Su, T.; Tang, Z. Robust adaptive Kalman filter for structural performance assessment. Int. J. Robust Nonlinear Control 2024, 34, 5966–5982. [Google Scholar] [CrossRef]
- Friedlander, B.; Porat, B. The modified Yule-Walker method of ARMA spectral estimation. IEEE Trans. Aerosp. Electron. Syst. 1984, 2, 158–173. [Google Scholar] [CrossRef]
- Zorzi, M. A new family of high-resolution multivariate spectral estimators. IEEE Trans. Autom. Control 2014, 59, 892–904. [Google Scholar] [CrossRef]
- Zorzi, M. An interpretation of the dual problem of the THREE-like approaches. Automatica 2015, 62, 87–92. [Google Scholar] [CrossRef]
- Zorzi, M. Multivariate Spectral Estimation Based on the Concept of Optimal Prediction. IEEE Trans. Autom. Control 2015, 60, 1647–1652. [Google Scholar] [CrossRef]
- Zhu, B.; Zorzi, M. A well-posed multidimensional rational covariance and generalized cepstral extension problem. SIAM J. Control Optim. 2023, 61, 1532–1556. [Google Scholar] [CrossRef]
- Wang, F.; Su, T.; Jin, X.; Zheng, Y.; Kong, J.; Bai, Y. Indoor tracking by rfid fusion with IMU data. Asian J. Control 2019, 21, 1768–1777. [Google Scholar] [CrossRef]
- Wu, L.; Guo, S.; Han, L.; Baris, C.A. Indoor positioning method for pedestrian dead reckoning based on multi-source sensors. Measurement 2024, 229, 114416. [Google Scholar] [CrossRef]
- Yao, Y.; Pan, L.; Fen, W.; Xu, X.; Liang, X.; Xu, X. A robust step detection and stride length estimation for pedestrian dead reckoning using a smartphone. IEEE Sens. J. 2020, 20, 9685–9697. [Google Scholar] [CrossRef]











| East | North | 2D | |
|---|---|---|---|
| First lost trajectory | 0.7146 | 0.0921 | 0.7764 |
| Second lost trajectory | 0.6909 | 0.2038 | 0.8877 |
| Whole trajectory | 0.2910 | 0.0571 | 0.3135 |
Disclaimer/Publisher’s Note: The statements, opinions and data contained in all publications are solely those of the individual author(s) and contributor(s) and not of MDPI and/or the editor(s). MDPI and/or the editor(s) disclaim responsibility for any injury to people or property resulting from any ideas, methods, instructions or products referred to in the content. |
© 2024 by the authors. Licensee MDPI, Basel, Switzerland. This article is an open access article distributed under the terms and conditions of the Creative Commons Attribution (CC BY) license (https://creativecommons.org/licenses/by/4.0/).
Share and Cite
Yi, S.; Zorzi, M.; Jin, X.; Su, T. A Switched Approach for Smartphone-Based Pedestrian Navigation. Sensors 2024, 24, 5247. https://doi.org/10.3390/s24165247
Yi S, Zorzi M, Jin X, Su T. A Switched Approach for Smartphone-Based Pedestrian Navigation. Sensors. 2024; 24(16):5247. https://doi.org/10.3390/s24165247
Chicago/Turabian StyleYi, Shenglun, Mattia Zorzi, Xuebo Jin, and Tingli Su. 2024. "A Switched Approach for Smartphone-Based Pedestrian Navigation" Sensors 24, no. 16: 5247. https://doi.org/10.3390/s24165247
APA StyleYi, S., Zorzi, M., Jin, X., & Su, T. (2024). A Switched Approach for Smartphone-Based Pedestrian Navigation. Sensors, 24(16), 5247. https://doi.org/10.3390/s24165247

