Research on a Method for Classifying Bolt Corrosion Based on an Acoustic Emission Sensor System
Abstract
1. Introduction
- (1)
- The gateway uses the ReliefF feature selection algorithm to screen the optimal features, thereby improving the accuracy of identification;
- (2)
- The ELM (Extreme Learning Machine) model is used for corrosion level diagnosis and classification, and the GOOSE algorithm is used to optimize parameters;
- (3)
- Experimental results show that the classification model based on AE sensors designed for bolt corrosion levels of 0%, 25%, 50%, 75%, and 100% outperforms traditional methods with higher identification accuracy.
2. WASN Bolt State Non-Destructive Testing System
2.1. Trial Specimen Design and Sensor Selection
2.2. WASN Hardware System Framework Design and Installation Layout Scheme
2.3. AE Data Acquisition and Analysis
- (1)
- Threshold: Set according to the mean, variance, and other statistical parameters of the signal and the distribution of noise, with repeated adjustments to find the optimal threshold;
- (2)
- Amplitude: Maximum voltage threshold in decibels (dB), used for wave source type identification;
- (3)
- Rise time: The time interval between the acoustic emission signal first exceeding the threshold voltage and reaching the maximum voltage amplitude, used for noise identification;
- (4)
- Duration: Time difference between the first and last occurrences of the acoustic emission signal exceeding the threshold voltage;
- (5)
- Ringing count: Number of times the acoustic emission signal exceeds the threshold voltage;
- (6)
- Power: Area under the energy envelope spectrum or the sum of squared sample values, also used for identifying the type of wave source.
3. Initial Framework of Bolt Corrosion Diagnosis Method
4. Bolt Corrosion Level Diagnosis and Classification Method Design
4.1. Data Preprocessing
4.2. Feature Selection Based on ReliefF
4.3. GOOSE-ELM Classification Algorithm
4.3.1. Original Extreme Learning Machine (ELM)
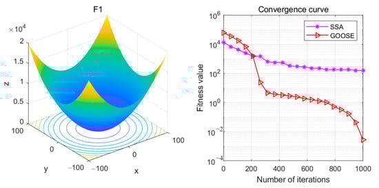
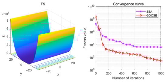
4.3.2. Enhanced ELM with GOOSE Algorithm
5. Results and Discussion
5.1. Results
5.2. Verification
- (1)
- Using the Pearson correlation coefficient method and the ReliefF feature selection method, the importance of features was ranked from the aspects of correlation and weight, respectively. The number of features was incrementally increased and incorporated into the original ELM classification model, where the highest accuracy represented the optimal feature dimension for each method. The comparison between the maximum accuracy and kappa coefficient at the optimal feature dimension demonstrates the merits of the two approaches;
- (2)
- With the feature selection algorithm determined to use the ReliefF algorithm, four different classification algorithm models were separately applied for analysis. The superiority of the various models was judged based on accuracy, precision, recall, and F1 score.
5.2.1. Feature Selection Performance Analysis
5.2.2. GOOSE-ELM Algorithm Performance Analysis
6. Conclusions
- (1)
- The ReliefF algorithm demonstrated high efficiency in optimizing the selection process of multiple mixed features. In practical operations, by inputting the top seven ranked features into the recognition model, SVM achieved an accuracy rate of over 98.04% for the collected data;
- (2)
- The GOOSE-ELM model, optimized by the GOOSE algorithm for ELM classification model parameters, exhibited the best performance. The classification diagnosis system based on this algorithm showed good steady-state accuracy, recall rate, and F1 score for classifying the degree of bolt corrosion.
Author Contributions
Funding
Institutional Review Board Statement
Informed Consent Statement
Data Availability Statement
Conflicts of Interest
References
- Wen, J.; Li, Z.; Hu, T.; Liu, L. Simple analysis on failure of high strength bolts in Chongqing Chaotianmen Bridge. IOP Conf. Ser. Mater. Sci. Eng. 2018, 439, 042060. [Google Scholar] [CrossRef]
- Wang, C.; Zhang, W.W.; Wang, H.R. Experimental study on crack detection at bolt hole edge in rail joint using the third harmonic. J. Phys. Conf. Ser. 2020, 1676, 012177. [Google Scholar] [CrossRef]
- Daniel, E.F.; Wang, C.; Li, C.; Dong, J.; Udoh, I.I.; Zhang, D.; Zhong, W.; Zhong, S. Evolution of corrosion degradation in galvanised steel bolts exposed to a tropical marine environment. J. Mater. Res. Technol. 2023, 27, 5177–5190. [Google Scholar] [CrossRef]
- Kong, Z.; Jin, Y.; Hong, S.; Liu, Q.; Vu, Q.V.; Kim, S.E. Degradation behavior of the preload force of high-strength bolts after corrosion. Buildings 2022, 12, 2122. [Google Scholar] [CrossRef]
- Wang, H.; Yin, H.; Qin, S. Fatigue performance analysis of frictional type high strength bolts of overlapped joints. In Proceedings of the 13th International Conference on Fracture, Beijing, China, 16–21 June 2013. [Google Scholar]
- Gao, R.D.; Li, X.M.; Chen, L.Z.; Tian, K. Experimental study on using digital display torque wrench to detect looseness of bolt groups. Constr. Technol. 2023, 52, 1–3. [Google Scholar]
- Deng, S.; Wang, T.; Tan, B.; Yu, W.; Lu, G. Proof-of-concept study of bolt connection status monitoring using fiber Bragg grating curvature sensor. Smart Mater. Struct. 2022, 31, 114001. [Google Scholar] [CrossRef]
- Yuan, B.; Sun, W.; Wang, Y.; Zhao, R.; Mu, X.; Sun, Q. Study on bolt preload measurement: An error compensation model for ultrasonic detection based on solid coupling. Meas. J. Int. Meas. Confed. 2023, 221, 113484. [Google Scholar] [CrossRef]
- Lao, W.; Cui, C.; Zhang, D.; Zhang, Q.; Bao, Y. Computer vision-based autonomous method for quantitative detection of loose bolts in bolted connections of steel structures. Struct. Control Health Monit. 2023, 2023, 8817058. [Google Scholar] [CrossRef]
- Wang, F. Multi-Bolt looseness detection using a new acoustic emission strategy. Struct. Health Monit. 2023, 22, 1543–1553. [Google Scholar] [CrossRef]
- Almeida, R.S.M.; Magalhães, M.D.; Karim, M.N.; Tushtev, K.; Rezwan, K. Identifying damage mechanisms of composites by acoustic emission and supervised machine learning. Mater. Des. 2023, 227, 111745. [Google Scholar] [CrossRef]
- Zhang, M.; Zhang, Q.; Li, J.; Xu, J.; Zheng, J. Classification of acoustic emission signals in wood damage and fracture process based on empirical mode decomposition, discrete wavelet transform methods, and selected features. J. Wood Sci. 2021, 67, 59. [Google Scholar] [CrossRef]
- Seye, M.M.; Kawasaki, Y.; Rahimi, E. Fracture analysis of short-scale corroded/healthy reinforced concrete beams under bending using acoustic emission. Materials 2023, 16, 7011. [Google Scholar] [CrossRef]
- Tian, S.X. High-Strength Bolt Fracture Monitoring Based on Acoustic Emission Technology. Master’s Thesis, Dalian University of Technology, Dalian, China, 2021. [Google Scholar]
- NB/T 31082-2016; Highstrength Bolting Assemblies for Tower on Wind Turbine. China National Energy Administration: Beijing, China, 2016.
- Liu, C.H. Research on the Entire Process of Rust-Induced Damage to Reinforced Concrete Based on Acoustic Emission Technology. Master’s Thesis, Shijiazhuang Railway University, Shijiazhuang, China, 2020. [Google Scholar]
- Wang, X.J. Research on bolt condition monitoring based on acoustic emission technology. Mech. Electr. Inf. 2011, 158–159. [Google Scholar] [CrossRef]
- Lang, X.; Yuan, L.; Li, S.; Liu, M. Pipeline multipoint leakage detection method based on KKL-MSCNN. IEEE Sens. J. 2024, 24, 11438–11449. [Google Scholar] [CrossRef]
- Kira, K.; Rendell, L.A. The Feature Selection Problem: Traditional Methods and a New Algorithm. In Proceedings of the Tenth National Conference on Artificial Intelligence, San Jose, CA, USA, 12–16 July 1992. [Google Scholar]
- Cui, X.; Li, Y.; Fan, J.; Wang, T. A novel filter feature selection algorithm based on relief. Appl. Intell. 2022, 52, 5063–5081. [Google Scholar] [CrossRef]
- Peng, H.; Long, F.; Ding, C. Feature selection based on mutual information: Criteria of Max-Dependency, Max-Relevance, and Min-Redundancy. IEEE Trans. Pattern Anal. Mach. Intell. 2005, 27, 1226–1238. [Google Scholar] [CrossRef]
- Huang, G.B.; Chen, L.; Siew, C.K. Universal approximation using incremental constructive feedforward networks with random hidden nodes. IEEE Trans. Neural Netw. 2006, 17, 879–892. [Google Scholar] [CrossRef] [PubMed]
- Jayalakshmi, D.; Dheeba, J. Computer aided diagnostic support system for skin cancer using ELM classifier. Int. J. Syst. Assur. Eng. Manag. 2024, 15, 449–461. [Google Scholar] [CrossRef]
- Hamad, R.K.; Rashid, T.A. GOOSE algorithm: A powerful optimization tool for real-world engineering challenges and beyond. Evol. Syst. 2024, 15, 1249–1274. [Google Scholar] [CrossRef]
- Theissler, A.; Thomas, M.; Burch, M.; Gerschner, F. ConfusionVis: Comparative evaluation and selection of multi-class classifiers based on confusion matrices. Knowl.-Based Syst. 2022, 247, 108651. [Google Scholar] [CrossRef]
- Le, P.B.; Nguyen, Z.T. ROC curves, loss functions, and distorted probabilities in binary classification. Mathematics 2022, 10, 1410. [Google Scholar] [CrossRef]
- Gong, H.; Li, Y.; Zhang, J.; Zhang, B.; Wang, X. A new filter feature selection algorithm for classification task by ensembling pearson correlation coefficient and mutual information. Eng. Appl. Artif. Intell. 2024, 131, 107865. [Google Scholar] [CrossRef]
- Han, N.; Li, G.F.; Ren, L. Application of improved HPO optimized VMD-GRU method in tool wear status identification. Mech. Sci. Technol. 2023, 44, 1–9. [Google Scholar] [CrossRef]
- Fan, C.; Zheng, Y.; Wen, Y.; Sun, M. Classification and prediction of deformed steel and concrete bond-slip failure modes based on SSA-ELM model. Structures 2023, 57, 105131. [Google Scholar] [CrossRef]





















| Feature Selection Algorithm | Weighted Ranking of AE Features |
|---|---|
| ReliefF | (1) Near/far-end energy difference; (2) Near/far-end amplitude difference; (3) Near-end amplitude; (4) Near-end energy; (5) Near-end ringing count; (6) Near/far-end duration difference; (7) Near-end duration; (8) Near/far-end ringing count difference; (9) Far-end ringing count, (10) Far-end amplitude; (11) Far-end duration; (12) Far-end energy |
| Feature Selection Methods | Dimension Selected | Accuracy | Kappa |
|---|---|---|---|
| Pearson | 9 | 89.11 | 0.857 |
| ReliefF | 7 | 98.04 | 0.975 |
| Classification Method | K-Means Clustering | Hierarchical Clustering | GOOSE-ELM |
|---|---|---|---|
| Accuracy | 64.67 | 67.33 | 98.04 |
| Classification Algorithms | Accuracy (%) | Precision (%) | Recall (%) | F1 Score |
|---|---|---|---|---|
| Traditional ELM | 89.33 | 89.34 | 90.20 | 0.8977 |
| HPO-ELM | 92.22 | 92.00 | 92.44 | 0.9222 |
| SSA-ELM | 95.10 | 95.33 | 94.87 | 0.9510 |
| GOOSE-ELM | 98.04 | 98.02 | 98.06 | 0.9804 |
Disclaimer/Publisher’s Note: The statements, opinions and data contained in all publications are solely those of the individual author(s) and contributor(s) and not of MDPI and/or the editor(s). MDPI and/or the editor(s) disclaim responsibility for any injury to people or property resulting from any ideas, methods, instructions or products referred to in the content. |
© 2024 by the authors. Licensee MDPI, Basel, Switzerland. This article is an open access article distributed under the terms and conditions of the Creative Commons Attribution (CC BY) license (https://creativecommons.org/licenses/by/4.0/).
Share and Cite
Di, S.; Wu, Y.; Liu, Y. Research on a Method for Classifying Bolt Corrosion Based on an Acoustic Emission Sensor System. Sensors 2024, 24, 5047. https://doi.org/10.3390/s24155047
Di S, Wu Y, Liu Y. Research on a Method for Classifying Bolt Corrosion Based on an Acoustic Emission Sensor System. Sensors. 2024; 24(15):5047. https://doi.org/10.3390/s24155047
Chicago/Turabian StyleDi, Shuyi, Yin Wu, and Yanyi Liu. 2024. "Research on a Method for Classifying Bolt Corrosion Based on an Acoustic Emission Sensor System" Sensors 24, no. 15: 5047. https://doi.org/10.3390/s24155047
APA StyleDi, S., Wu, Y., & Liu, Y. (2024). Research on a Method for Classifying Bolt Corrosion Based on an Acoustic Emission Sensor System. Sensors, 24(15), 5047. https://doi.org/10.3390/s24155047

