Capturing How the Accelerometer Measured Physical Activity Profile Differs in People with Diabetic Foot Ulceration
Abstract
1. Introduction
2. Materials and Methods
Accelerometer Procession and Statistical Analysis
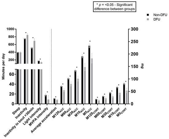
3. Results
4. Discussion
5. Conclusions
Author Contributions
Funding
Institutional Review Board Statement
Informed Consent Statement
Data Availability Statement
Acknowledgments
Conflicts of Interest
References
- Kanaley, J.A.; Colberg, S.R.; Corcoran, M.H.; Malin, S.K.; Rodriguez, N.R.; Crespo, C.J.; Kirwan, J.P.; Zierath, J.R. Exercise/Physical Activity in Individuals with Type 2 Diabetes: A Consensus Statement from the American College of Sports Medicine. Med. Sci. Sports Exerc. 2022, 54, 353–368. [Google Scholar] [CrossRef] [PubMed]
- Edmonds, M.; Manu, C.; Vas, P. The current burden of diabetic foot disease. J. Clin. Orthop. Trauma 2021, 17, 88–93. [Google Scholar] [CrossRef] [PubMed]
- McDermott, K.; Fang, M.; Boulton, A.J.M.; Selvin, E.; Hicks, C.W. Etiology, Epidemiology, and Disparities in the Burden of Diabetic Foot Ulcers. Diabetes Care 2023, 46, 209–221. [Google Scholar] [CrossRef] [PubMed]
- Armstrong, D.G.; Tan, T.W.; Boulton, A.J.M.; Bus, S.A. Diabetic Foot Ulcers: A Review. JAMA 2023, 330, 62–75. [Google Scholar] [CrossRef]
- Armstrong, D.G.; Boulton, A.J.M.; Bus, S.A. Diabetic Foot Ulcers and Their Recurrence. N. Engl. J. Med. 2017, 376, 2367–2375. [Google Scholar] [CrossRef] [PubMed]
- Bus, S.A.; Armstrong, D.G.; Crews, R.T.; Gooday, C.; Jarl, G.; Kirketerp-Moller, K.; Viswanathan, V.; Lazzarini, P.A. Guidelines on offloading foot ulcers in persons with diabetes (IWGDF 2023 update). Diabetes Metab. Res. Rev. 2024, 40, e3647. [Google Scholar] [CrossRef]
- Colberg, S.R.; Sigal, R.J.; Yardley, J.E.; Riddell, M.C.; Dunstan, D.W.; Dempsey, P.C.; Horton, E.S.; Castorino, K.; Tate, D.F. Physical Activity/Exercise and Diabetes: A Position Statement of the American Diabetes Association. Diabetes Care 2016, 39, 2065–2079. [Google Scholar] [CrossRef] [PubMed]
- Bus, S.A.; Armstrong, D.G.; Crews, R.T.; Gooday, C.; Jarl, G.; Kirketerp-Moller, K.; Viswanathan, V.; Lazzarini, P.A. IWGDF Offloading Guideline. 2023. Available online: https://iwgdfguidelines.org/wp-content/uploads/2023/07/IWGDF-2023-06-Offloading-Guideline.pdf (accessed on 11 March 2024).
- Jarl, G.; van Netten, J.J.; Lazzarini, P.A.; Crews, R.T.; Najafi, B.; Mueller, M.J. Should weight-bearing activity be reduced during healing of plantar diabetic foot ulcers, even when using appropriate offloading devices? Diabetes Res. Clin. Pract. 2021, 175, 108733. [Google Scholar] [CrossRef]
- Armstrong, D.G.; Lavery, L.A.; Kimbriel, H.R.; Nixon, B.P.; Boulton, A.J. Activity Patterns of Patients With diabetic foot ulceration. Diabetes Care 2003, 26, 2595–2597. [Google Scholar] [CrossRef]
- Kanade, R.V.; Van Deursen, R.W.; Harding, K.; Price, P. Walking performance in people with diabetic neuropathy: Benefits and threats. Diabetologia 2006, 49, 1747–1754. [Google Scholar] [CrossRef]
- Sheahan, H.; Canning, K.; Refausse, N.; Kinnear, E.M.; Jorgensen, G.; Walsh, J.R.; Lazzarini, P.A. Differences in the daily activity of patients with diabetic foot ulcers compared to controls in their free-living environments. Int. Wound J. 2017, 14, 1175–1182. [Google Scholar] [CrossRef]
- Lee, M.; Van Netten, J.J.; Sheahan, H.; Lazzarini, P.A. Moderate-to-Vigorous-Intensity Physical Activity Observed in People With Diabetes-Related Foot Ulcers Over a One-Week Period. J. Diabetes Sci. Technol. 2019, 13, 827–835. [Google Scholar] [CrossRef] [PubMed]
- Van Netten, J.J.; Fijen, V.M.; Bus, S.A. Weight-bearing physical activity in people with diabetes-related foot disease: A systematic review. Diabetes Metab. Res. Rev. 2022, 38, e3552. [Google Scholar] [CrossRef] [PubMed]
- Henson, J.; Covenant, A.; Hall, A.P.; Herring, L.; Rowlands, A.V.; Yates, T.; Davies, M.J. Waking Up to the Importance of Sleep in Type 2 Diabetes Management: A Narrative Review. Diabetes Care 2024, 47, 331–343. [Google Scholar] [CrossRef] [PubMed]
- Koufakis, T.; Maltese, G.; Popovic, D.S.; Kotsa, K. The importance of sleep quality, quantity, and chronotype in the management of diabetes: Is it time to wake up? J. Diabetes 2022, 14, 633–634. [Google Scholar] [CrossRef]
- Rowlands, A.V.; Dawkins, N.P.; Maylor, B.; Edwardson, C.L.; Fairclough, S.J.; Davies, M.J.; Harrington, D.M.; Khunti, K.; Yates, T. Enhancing the value of accelerometer-assessed physical activity: Meaningful visual comparisons of data-driven translational accelerometer metrics. Sports Med. Open 2019, 5, 47. [Google Scholar] [CrossRef] [PubMed]
- Brady, E.M.; Hall, A.P.; Baldry, E.; Chatterjee, S.; Daniels, L.J.; Edwardson, C.; Khunti, K.; Patel, M.I.; Henson, J.J.; Rowlands, A.; et al. Rationale and design of a cross-sectional study to investigate and describe the chronotype of patients with type 2 diabetes and the effect on glycaemic control: The CODEC study. BMJ Open 2019, 9, e027773. [Google Scholar] [CrossRef]
- Leese, G.P.; Soto-Pedre, E.; Schofield, C. Independent Observational Analysis of Ulcer Outcomes for SINBAD and University of Texas Ulcer Scoring Systems. Diabetes Care 2021, 44, 326–331. [Google Scholar] [CrossRef]
- Migueles, J.H.; Rowlands, A.V.; Huber, F.; Sabia, S.; van Hees, V.T. GGIR: A Research Community–Driven Open Source R Package for Generating Physical Activity and Sleep Outcomes From Multi-Day Raw Accelerometer Data. J. Meas. Phys. Behav. 2019, 2, 188–196. [Google Scholar] [CrossRef]
- Bakrania, K.; Yates, T.; Rowlands, A.V.; Esliger, D.W.; Bunnewell, S.; Sanders, J.; Davies, M.; Khunti, K.; Edwardson, C.L. Intensity Thresholds on Raw Acceleration Data: Euclidean Norm Minus One (ENMO) and Mean Amplitude Deviation (MAD) Approaches. PLoS ONE 2016, 11, e0164045. [Google Scholar] [CrossRef]
- Hildebrand, M.; Hansen, B.H.; van Hees, V.T.; Ekelund, U. Evaluation of raw acceleration sedentary thresholds in children and adults. Scand. J. Med. Sci. Sports 2017, 27, 1814–1823. [Google Scholar] [CrossRef] [PubMed]
- Hildebrand, M.; Van Hees, V.T.; Hansen, B.H.; Ekelund, U. Age group comparability of raw accelerometer output from wrist- and hip-worn monitors. Med. Sci. Sports Exerc. 2014, 46, 1816–1824. [Google Scholar] [CrossRef] [PubMed]
- van Hees, V.T.; Sabia, S.; Anderson, K.N.; Denton, S.J.; Oliver, J.; Catt, M.; Abell, J.G.; Kivimaki, M.; Trenell, M.I.; Singh-Manoux, A. A Novel, Open Access Method to Assess Sleep Duration Using a Wrist-Worn Accelerometer. PLoS ONE 2015, 10, e0142533. [Google Scholar] [CrossRef] [PubMed]
- van Hees, V.T.; Sabia, S.; Jones, S.E.; Wood, A.R.; Anderson, K.N.; Kivimaki, M.; Frayling, T.M.; Pack, A.I.; Bucan, M.; Trenell, M.I.; et al. Estimating sleep parameters using an accelerometer without sleep diary. Sci. Rep. 2018, 8, 12975. [Google Scholar] [CrossRef] [PubMed]
- Blodgett, J.M.; Ahmadi, M.N.; Atkin, A.J.; Chastin, S.; Chan, H.W.; Suorsa, K.; Bakker, E.A.; Hettiarcachchi, P.; Johansson, P.J.; Sherar, L.B.; et al. Device-measured physical activity and cardiometabolic health: The Prospective Physical Activity, Sitting, and Sleep (ProPASS) consortium. Eur. Heart J. 2024, 45, 458–471. [Google Scholar] [CrossRef] [PubMed]
- Barker, J.; Smith Byrne, K.; Doherty, A.; Foster, C.; Rahimi, K.; Ramakrishnan, R.; Woodward, M.; Dwyer, T. Physical activity of UK adults with chronic disease: Cross-sectional analysis of accelerometer-measured physical activity in 96 706 UK Biobank participants. Int. J. Epidemiol. 2019, 48, 1167–1174. [Google Scholar] [CrossRef] [PubMed]
- Brouwer, A.; Van Raalte, D.H.; Rutters, F.; Elders, P.J.M.; Snoek, F.J.; Beekman, A.T.F.; Bremmer, M.A. Sleep and HbA(1c) in Patients With Type 2 Diabetes: Which Sleep Characteristics Matter Most? Diabetes Care 2020, 43, 235–243. [Google Scholar] [CrossRef] [PubMed]
- Maylor, B.D.; Edwardson, C.L.; Clarke-Cornwell, A.M.; Davies, M.J.; Dawkins, N.P.; Dunstan, D.W.; Khunti, K.; Yates, T.; Rowlands, A.V. Physical Activity Assessed by Wrist and Thigh Worn Accelerometry and Associations with Cardiometabolic Health. Sensors 2023, 23, 7353. [Google Scholar] [CrossRef] [PubMed]
- Plekhanova, T.; Rowlands, A.V.; Evans, R.A.; Edwardson, C.L.; Bishop, N.C.; Bolton, C.E.; Chalmers, J.D.; Davies, M.J.; Daynes, E.; Dempsey, P.C.; et al. Device-assessed sleep and physical activity in individuals recovering from a hospital admission for COVID-19: A multicentre study. Int. J. Behav. Nutr. Phys. Act. 2022, 19, 94. [Google Scholar] [CrossRef]
- Rowlands, A.; Davies, M.; Dempsey, P.; Edwardson, C.; Razieh, C.; Yates, T. Wrist-worn accelerometers: Recommending ~1.0 mg as the minimum clinically important difference (MCID) in daily average acceleration for inactive adults. Br. J. Sports Med. 2021, 55, 814–815. [Google Scholar] [CrossRef]
- McCarthy, M.; Yates, T.; Webb, D.; Game, F.; Gray, L.; Davies, M.J. Health impacts of seated arm ergometry training in patients with a diabetic foot ulcer: Protocol for a randomised controlled trial. BMJ Open 2020, 10, e039062. [Google Scholar] [CrossRef] [PubMed]
- Ling, E.; Lepow, B.; Zhou, H.; Enriquez, A.; Mullen, A.; Najafi, B. The impact of diabetic foot ulcers and unilateral offloading footwear on gait in people with diabetes. Clin. Biomech. 2020, 73, 157–161. [Google Scholar] [CrossRef] [PubMed]
- Fernando, M.E.; Woelfel, S.L.; Perry, D.; Najafi, B.; Khan, T.; DuBourdieu, C.; Shin, L.; Armstrong, D.G. Dosing Activity and Return to Preulcer Function in Diabetes-Related Foot Ulcer Remission. J. Am. Podiatr. Med. Assoc. 2021, 111. [Google Scholar] [CrossRef] [PubMed]
- Valent, L.; Dallmeijer, A.; Houdijk, H.; Talsma, E.; van der Woude, L. The effects of upper body exercise on the physical capacity of people with a spinal cord injury. Clin. Rehabil. 2007, 21, 315–330. [Google Scholar] [CrossRef] [PubMed]


| Variable | Definition and Description |
|---|---|
| Average acceleration | Reflects the volume or overall physical activity level in mg across the 24 h day. |
| Intensity gradient | Measure of overall distribution of activity intensities across the 24 h day [17]. In brief, it describes the negative curvilinear relationship between physical activity intensity and the time accumulated at that intensity during the 24 h day. The intensity gradient is always negative, reflecting the drop in time accumulated as intensity increases; a more negative (lower) gradient reflects a lower amount of time accumulated at mid-range and higher intensities, while a less negative (higher) gradient reflects more time spread across the intensity range. |
| Inactivity total | Time accumulated in a sedentary outside sleep window defined as accelerations lower than 40 mg [21]. |
| Inactivity 30 min bouts | Time accumulated in inactive/sedentary intervals >30 min. |
| Light intensity activity | Time in light activity defined as time accumulated with accelerations between 40 and 100 mg. |
| Moderate to Vigorous activity (MVPA) | Time accumulated in moderate to vigorous activity, defined as time spent with accelerations >100 mg [23] in 1 min intervals. |
| M5CONT, M10CONT, M30CONT, M60CONT, M120CONT Metrics | Acceleration threshold above which the most active continuous 5, 10, 30, 60, and 120 min bout of the daywas spent. This measure indicates that 75% of the most active X minutes were above this acceleration, i.e., if M30CONT >100, then the majority of that 30 min period was spent in MVPA (>100 mg), with less than 25% of the time dropping below this threshold, e.g., stopping at traffic lights, tying shoelaces, etc. |
| M5ACC, M10ACC, M30ACC, M60ACC, M120ACC Metrics | Acceleration above which a person’s most active X minutes (where X = number of minutes, 5–120) are accumulated across the day. |
| Sleep duration | The total time accumulated in minutes sleeping during the sleep window. |
| Sleep efficiency | Actual sleep within sleep window/sleep window duration. |
| Sleep midpoint | Time of middle of night period. |
| Sleep midpoint standard deviation | Standard deviation of middle of night period (mins/day). |
| Non-DFU | DFU | |
|---|---|---|
| N | 561 | 34 |
| Age (years) | 64.3 ± 8.2 | 58.9 ± 8.9 |
| Sex | ||
| Male | 361 (64.3%) | 30 (88.2%) |
| Female | 200 (35.7%) | 4 (11.8%) |
| BMI (kg/m2) | 31.0 ± 5.1 | 32.7 ± 4.8 |
| Ethnicity | ||
| White | 472 (84.1%) | 32 (94.1%) |
| Non-white | 89 (15.9%) | 2 (5.9%) |
| Diabetes duration (years) | 10.3 ± 7.5 | 15.4 ± 9.6 |
| Cardiovascular disease | ||
| Yes | 309 (55.1%) | 14 (41.2%) |
| No | 252 (44.9%) | 20 (58.8%) |
| Mean accelerometer wear time (days) | 6.9 ± 0.4 | 6.8 ± 0.7 |
| Non-DFU | DFU | p Value | % Difference | |
|---|---|---|---|---|
| M5CONT | 81.6 (77.4, 85.9) | 53.4 (44.9, 63.6) | <0.001 | 41.8 |
| M10CONT | 67.6 (63.9, 71.5) | 44.5 (36.9, 53.7) | <0.001 | 41.2 |
| M30CONT | 45.2 (42.6, 48.1) | 30.1 (24.5, 36.9) | <0.001 | 40.1 |
| M60CONT | 31.1 (29.2, 33.2) | 22.8 (18.2, 28.5) | 0.001 | 30.8 |
| M120CONT | 19.3 (18.2, 20.5) | 14.6 (11.9, 18.1) | 0.003 | 27.7 |
| M5ACC | 233.4 (225.8, 241.2) | 182.5 (164.1, 203.0) | <0.001 | 24.5 |
| M10ACC | 190.7 (184.8, 196.9) | 147.7 (133.4, 163.6) | <0.001 | 25.4 |
| M30ACC | 134.4 (130.2, 138.6) | 101.1 (91.4, 111.9) | <0.001 | 28.3 |
| M60ACC | 102.4 (99.2, 105.6) | 79.8 (71.5, 89.1) | <0.001 | 24.8 |
| M120ACC | 71.2 (68.9, 73.6) | 55.0 (49.0, 61.7) | <0.001 | 25.5 |
Disclaimer/Publisher’s Note: The statements, opinions and data contained in all publications are solely those of the individual author(s) and contributor(s) and not of MDPI and/or the editor(s). MDPI and/or the editor(s) disclaim responsibility for any injury to people or property resulting from any ideas, methods, instructions or products referred to in the content. |
© 2024 by the authors. Licensee MDPI, Basel, Switzerland. This article is an open access article distributed under the terms and conditions of the Creative Commons Attribution (CC BY) license (https://creativecommons.org/licenses/by/4.0/).
Share and Cite
Neal, L.; McCarthy, M.; Dempsey, P.; Zaccardi, F.; Berrington, R.; Brady, E.M.; Edwardson, C.L.; Game, F.; Hall, A.; Henson, J.; et al. Capturing How the Accelerometer Measured Physical Activity Profile Differs in People with Diabetic Foot Ulceration. Sensors 2024, 24, 4875. https://doi.org/10.3390/s24154875
Neal L, McCarthy M, Dempsey P, Zaccardi F, Berrington R, Brady EM, Edwardson CL, Game F, Hall A, Henson J, et al. Capturing How the Accelerometer Measured Physical Activity Profile Differs in People with Diabetic Foot Ulceration. Sensors. 2024; 24(15):4875. https://doi.org/10.3390/s24154875
Chicago/Turabian StyleNeal, Liam, Matthew McCarthy, Paddy Dempsey, Francesco Zaccardi, Rachel Berrington, Emer M. Brady, Charlotte L. Edwardson, Frances Game, Andrew Hall, Joseph Henson, and et al. 2024. "Capturing How the Accelerometer Measured Physical Activity Profile Differs in People with Diabetic Foot Ulceration" Sensors 24, no. 15: 4875. https://doi.org/10.3390/s24154875
APA StyleNeal, L., McCarthy, M., Dempsey, P., Zaccardi, F., Berrington, R., Brady, E. M., Edwardson, C. L., Game, F., Hall, A., Henson, J., Khunti, K., Turner, B., Webb, D., Davies, M. J., Rowlands, A. V., & Yates, T. (2024). Capturing How the Accelerometer Measured Physical Activity Profile Differs in People with Diabetic Foot Ulceration. Sensors, 24(15), 4875. https://doi.org/10.3390/s24154875

