A Wearable Personalised Sonification and Biofeedback Device to Enhance Movement Awareness
Abstract
1. Introduction
1.1. Sonification in Gait and Posture
1.2. Sensor Technologies and Techniques for Motion Detection and Sonification
1.3. Real-Time Biofeedback and Personalised Cueing
2. Materials and Methods
2.1. Design Considerations and Development
2.2. Software and Processing Unit
2.3. Personalised Cueing and Audio Feedback
2.4. Sample Size
2.5. Experimental Setup and Data Processing
2.6. Data Analysis
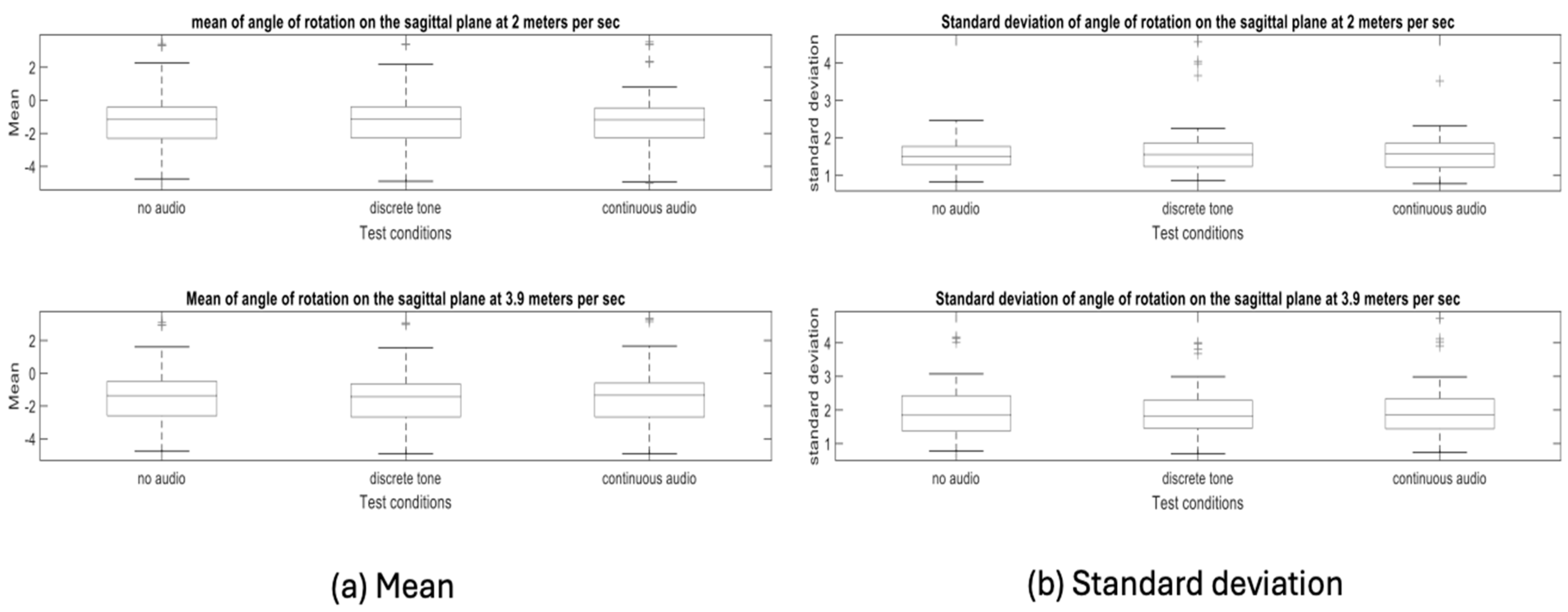
3. Results
3.1. Evaluation of the System
3.2. User Feedback on the Awareness of Movement Due to Sonification
- Awareness of movements: Many participants (70%) reported increased awareness of their movements, particularly at the beginning of their footstep cycle, which is often linked to the heel strike and midfoot stance phases of their gait. About 50% of the participants felt that the sonifications influenced their footstep timing and gait, making them more conscious of their heel strikes and overall walking patterns.
- Initial confusion and adaptation: Some participants (60%) initially found the sound confusing due to its lack of a fixed rhythm, which affected their engagement with the system. However, 40% of the participants found themselves subconsciously adjusting their steps to align with the audio cues.
- Personal sound preferences: Several participants (45%) indicated that personal sound preferences might have influenced their experiences when processing the audio cues and affected their engagement.
4. Discussion
4.1. System Integration
4.2. Algorithmic Approach for Sonification
4.3. Evaluation of the System and User Engagement
4.4. Limitations and Future Works
5. Conclusions
Author Contributions
Funding
Institutional Review Board Statement
Informed Consent Statement
Data Availability Statement
Conflicts of Interest
Appendix A
| Participant ID | No Audio | Discrete | Continuous |
|---|---|---|---|
| 1 | 30.93% | 28.80% | 33.60% |
| 2 | 45.00% | 45.60% | 48.00% |
| 3 | 39.93% | 40.40% | 47.67% |
| 4 | 27.13% | 17.33% | 2.87% |
| 5 | 49.33% | 46.20% | 51.60% |
| 6 | 25.07% | 35.40% | 29.00% |
| 7 | 21.80% | 17.40% | 18.87% |
| 8 | 22.67% | 16.53% | 10.33% |
| 9 | 22.00% | 37.33% | 32.40% |
| 10 | 35.40% | 37.60% | 30.07% |
| 11 | 13.40% | 11.73% | 18.27% |
| 12 | 8.47% | 13.93% | 17.40% |
| 13 | 46.00% | 44.80% | 49.00% |
| 14 | 39.13% | 38.13% | 47.27% |
| 15 | 35.60% | 34.53% | 38.73% |
| 16 | 62.07% | 48.47% | 49.33% |
| 17 | 37.27% | 41.27% | 34.73% |
| 18 | 45.33% | 46.67% | 41.40% |
| 19 | 41.20% | 47.13% | 40.27% |
| 20 | 32.53% | 31.47% | 40.80% |
| Participant ID | Walking Speed | |||||
|---|---|---|---|---|---|---|
| 2 km/h | 3.9 km/h | |||||
| No Audio (°) | Discrete (°) | Continuous (°) | No Audio (°) | Discrete (°) | Continuous (°) | |
| 1 | 0.71572 | 0.79182 | 0.80502 | 1.35652 | 1.1808 | 1.17453 |
| 2 | 2.16181 | 2.09157 | 2.34176 | 1.54489 | 1.65214 | 1.51026 |
| 3 | 3.34663 | 3.38363 | 3.4305 | 2.99839 | 3.26405 | 3.02818 |
| 4 | −0.86546 | −0.8696 | −0.89281 | −0.67104 | −0.73644 | −0.79188 |
| 5 | −0.81115 | −0.67619 | −0.72091 | −0.3834 | −0.54749 | −0.62744 |
| 6 | −2.51562 | −2.54313 | −2.41103 | −2.38821 | −2.50841 | −2.49048 |
| 7 | −1.16815 | −1.12697 | −1.05428 | −1.21995 | −1.17348 | −1.11223 |
| 8 | −1.5885 | −1.52865 | −1.43568 | −1.53717 | −1.61223 | −1.55882 |
| 9 | −0.29455 | −0.1816 | −0.44196 | −0.83046 | −0.83082 | −0.76341 |
| 10 | −2.13539 | −2.18334 | −2.17401 | −2.80198 | −2.88276 | −2.86627 |
| 11 | −0.54938 | −0.59242 | −0.54363 | −0.87196 | −1.00595 | −0.91564 |
| 12 | −2.39685 | −2.55208 | −2.61632 | −3.3719 | −3.34896 | −3.22874 |
| 13 | −1.23542 | −1.33203 | −1.21123 | −1.58142 | −1.48197 | −1.60164 |
| 14 | −2.01704 | −1.92003 | −1.82618 | −2.41333 | −1.9952 | −2.1423 |
| 15 | −1.2268 | −1.14859 | −1.3043 | −1.4874 | −1.54337 | −1.61742 |
| 16 | −0.99331 | −0.9177 | −0.85362 | −1.16707 | −1.19621 | −1.26316 |
| 17 | 0.08646 | 0.09898 | 0.03862 | −0.08541 | −0.03387 | 0.07757 |
| 18 | −4.63385 | −4.81796 | −4.87633 | −4.68477 | −4.83437 | −4.81773 |
| 19 | −3.58613 | −3.514 | −3.54151 | −3.77229 | −3.95034 | −3.83729 |
| 20 | −4.12038 | −4.28964 | −4.20403 | −4.39558 | −4.42439 | −4.22397 |
References
- Aramaki, M.; Davies, M.E.P.; Kronland-Martinet, R.; Ystad, S. Music and Musical Sonification for the Rehabilitation of Parkinsonian Dysgraphia: Conceptual Framework; Springer International Publishing AG: Cham, Switzerland, 2018; Volume 11265, pp. 312–326. [Google Scholar]
- Véron-Delor, L.; Pinto, S.; Eusebio, A.; Azulay, J.P.; Witjas, T.; Velay, J.L.; Danna, J. Musical sonification improves motor control in Parkinson’s disease: A proof of concept with handwriting. Ann. N. Y. Acad. Sci. 2020, 1465, 132–145. [Google Scholar] [CrossRef] [PubMed]
- Kantan, P.; Spaich, E.G.; Dahl, S. A Technical Framework for Musical Biofeedback in Stroke Rehabilitation. IEEE Trans. Hum.-Mach. Syst. 2022, 52, 220–231. [Google Scholar] [CrossRef]
- Raglio, A.; De Maria, B.; Parati, M.; Giglietti, A.; Premoli, S.; Salvaderi, S.; Molteni, D.; Ferrante, S.; Dalla Vecchia, L.A. Movement Sonification Techniques to Improve Balance in Parkinson’s Disease: A Pilot Randomized Controlled Trial. Brain Sci. 2023, 13, 1586. [Google Scholar] [CrossRef]
- Thaut, M.H.; McIntosh, G.C.; Hoemberg, V. Neurobiological foundations of neurologic music therapy: Rhythmic entrainment and the motor system. Front. Psychol. 2014, 5, 1185. [Google Scholar] [CrossRef]
- Ghai, S.; Ghai, I. Role of sonification and rhythmic auditory cueing for enhancing gait associated deficits induced by neurotoxic cancer therapies: A perspective on auditory neuroprosthetics. Front. Neurol. 2019, 10, 21. [Google Scholar] [CrossRef]
- Effenberg, A.O.; Fehse, U.; Schmitz, G.; Krueger, B.; Mechling, H. Movement sonification: Effects on motor learning beyond rhythmic adjustments. Front. Neurosci. 2016, 10, 219. [Google Scholar] [CrossRef]
- Guerra, J.; Smith, L.; Vicinanza, D.; Stubbs, B.; Veronese, N.; Williams, G. The use of sonification for physiotherapy in human movement tasks: A scoping review. Sci. Sports 2020, 35, 119–129. [Google Scholar] [CrossRef]
- Newbold, J.; Bianchi-Berthouze, N.; Gold, N. Musical Expectancy in Squat Sonification For People Who Struggle With Physical Activity. In Sound in Learning: Proceedings of the 23rd Annual International Conference on Auditory Display (ICAD 2017); Pennsylvania State University: Philadelphia, PA, USA, 2017; pp. 65–72. [Google Scholar]
- Braun Janzen, T.; Koshimori, Y.; Richard, N.M.; Thaut, M.H. Rhythm and Music-Based Interventions in Motor Rehabilitation: Current Evidence and Future Perspectives. Front. Hum. Neurosci. 2021, 15, 789467. [Google Scholar] [CrossRef] [PubMed]
- Nikmaram, N.; Scholz, D.S.; Großbach, M.; Schmidt, S.B.; Spogis, J.; Belardinelli, P.; Müller-Dahlhaus, F.; Remy, J.; Ziemann, U.; Rollnik, J.D.; et al. Musical Sonification of Arm Movements in Stroke Rehabilitation Yields Limited Benefits. Front. Neurosci. 2019, 13, 1378. [Google Scholar] [CrossRef]
- Särkämö, T.; Altenmüller, E.; Rodríguez-Fornells, A.; Peretz, I. Editorial: Music, Brain, and Rehabilitation: Emerging Therapeutic Applications and Potential Neural Mechanisms. Front. Hum. Neurosci. 2016, 10, 103. [Google Scholar] [CrossRef]
- Toader, C.; Tataru, C.P.; Florian, I.A.; Covache-Busuioc, R.A.; Bratu, B.G.; Glavan, L.A.; Bordeianu, A.; Dumitrascu, D.I.; Ciurea, A.V. Cognitive Crescendo: How Music Shapes the Brain’s Structure and Function. Brain Sci. 2023, 13, 1390. [Google Scholar] [CrossRef]
- Reh, J.; Schmitz, G.; Hwang, T.-H.; Effenberg, A.O. Loudness affects motion: Asymmetric volume of auditory feedback results in asymmetric gait in healthy young adults. BMC Musculoskelet. Disord. 2022, 23, 586. [Google Scholar] [CrossRef] [PubMed]
- Wall, C.; McMeekin, P.; Walker, R.; Hetherington, V.; Graham, L.; Godfrey, A. Sonification for Personalised Gait Intervention. Sensors 2024, 24, 65. [Google Scholar] [CrossRef]
- Rodger, M.W.M.; Young, W.R.; Craig, C.M. Synthesis of Walking Sounds for Alleviating Gait Disturbances in Parkinson’s Disease. IEEE Trans. Neural Syst. Rehabil. Eng. 2014, 22, 543–548. [Google Scholar] [CrossRef]
- Linnhoff, D.; Alizadeh, S.; Schaffert, N.; Mattes, K. Use of acoustic feedback to change gait patterns: Implementation and transfer to motor learning theory-a scoping review. J. Mot. Learn. Dev. 2020, 8, 598–618. [Google Scholar] [CrossRef]
- Sevdalis, V.; Keller, P.E. Know thy sound: Perceiving self and others in musical contexts. Acta Psychol. 2014, 152, 67–74. [Google Scholar] [CrossRef] [PubMed]
- Kennel, C.; Pizzera, A.; Hohmann, T.; Schubotz, R.I.; Murgia, M.; Agostini, T.; Raab, M. The Perception of Natural and Modulated Movement Sounds. Perception 2014, 43, 796–804. [Google Scholar] [CrossRef]
- Linnhoff, D.; Ploigt, R.; Mattes, K. Sofigait—A Wireless Inertial Sensor-Based Gait Sonification System. Sensors 2022, 22, 8782. [Google Scholar] [CrossRef] [PubMed]
- Feltham, F.; Connelly, T.; Cheng, C.-T.; Pang, T.Y. A Wearable Sonification System to Improve Movement Awareness: A Feasibility Study. Appl. Sci. 2024, 14, 816. [Google Scholar] [CrossRef]
- Liu, S.; Zhang, J.; Zhang, Y.; Zhu, R. A wearable motion capture device able to detect dynamic motion of human limbs. Nat. Commun. 2020, 11, 5615. [Google Scholar] [CrossRef]
- Guo, L.; Lu, Z.; Yao, L. Human-Machine Interaction Sensing Technology Based on Hand Gesture Recognition: A Review. IEEE Trans. Hum.-Mach. Syst. 2021, 51, 300–309. [Google Scholar] [CrossRef]
- Bötzel, K.; Marti, F.M.; Rodríguez, M.Á.C.; Plate, A.; Vicente, A.O. Gait recording with inertial sensors—How to determine initial and terminal contact. J. Biomech. 2016, 49, 332–337. [Google Scholar] [CrossRef] [PubMed]
- Reh, J.; Schmitz, G.; Hwang, T.-H.; Effenberg, A.O. Acoustic Feedback in Gait Rehabilitation—Pre-Post Effects in Patients With Unilateral Hip Arthroplasty. Front. Sports Act. Living 2021, 3, 654546. [Google Scholar] [CrossRef] [PubMed]
- Teufl, W.; Taetz, B.; Miezal, M.; Lorenz, M.; Pietschmann, J.; Jöllenbeck, T.; Fröhlich, M.; Bleser, G. Towards an Inertial Sensor-Based Wearable Feedback System for Patients after Total Hip Arthroplasty: Validity and Applicability for Gait Classification with Gait Kinematics-Based Features. Sensors 2019, 19, 5006. [Google Scholar] [CrossRef] [PubMed]
- Rodger, M.W.M.; Craig, C.M. Beyond the Metronome: Auditory Events and Music May Afford More than Just Interval Durations as Gait Cues in Parkinson’s Disease. Front. Neurosci. 2016, 10, 272. [Google Scholar] [CrossRef] [PubMed]
- Pauletto, S.; Cambridge, H.; Susini, P. Data sonification and sound design in interactive systems. Int. J. Hum.-Comput. Stud. 2016, 85, 1–3. [Google Scholar] [CrossRef]
- Pang, T.Y.; Feltham, F. Effect of continuous auditory feedback (CAF) on human movements and motion awareness. Med. Eng. Phys. 2022, 109, 103902. [Google Scholar] [CrossRef] [PubMed]
- Guest, G.; Bunce, A.; Johnson, L. How Many Interviews Are Enough?:An Experiment with Data Saturation and Variability. Field Methods 2006, 18, 59–82. [Google Scholar] [CrossRef]
- Crouch, M.; McKenzie, H. The logic of small samples in interview-based qualitative research. Soc. Sci. Inf. 2006, 45, 483–499. [Google Scholar] [CrossRef]









| Technique | Sensors | Motion Detection and Sonification | Advantages and/or Disadvantages |
|---|---|---|---|
| Analog system [24] | Analog gyroscope and accelerometers | Oqus camera system |
|
| Ground reaction force [16] | AccuGait force-plate | Qualisys Oqus-3 cameras |
|
| IMUs Feltham, et al. [21] | A single IMU (integrated 3-axis gyroscope, 3-axis accelerometer, and 3-axis magnetometer) | MATLAB code |
|
| Linnhoff, et al. [20] | Four IMU sensors (integrated triaxial accelerometer, triaxial gyroscope, magnetometer, and microcontroller) | Python code |
|
| Raglio, et al. [4] | Two IMU sensors (integrated accelerometers and gyroscopes) | MATLAB code |
|
| Reh, et al. [25] | System of seven wireless inertial sensors | MATLAB code |
|
| Teufl, et al. [26] | Seven IMU sensors (integrated gyroscopes and accelerometers) | Optical cameras |
|
Disclaimer/Publisher’s Note: The statements, opinions and data contained in all publications are solely those of the individual author(s) and contributor(s) and not of MDPI and/or the editor(s). MDPI and/or the editor(s) disclaim responsibility for any injury to people or property resulting from any ideas, methods, instructions or products referred to in the content. |
© 2024 by the authors. Licensee MDPI, Basel, Switzerland. This article is an open access article distributed under the terms and conditions of the Creative Commons Attribution (CC BY) license (https://creativecommons.org/licenses/by/4.0/).
Share and Cite
Pang, T.Y.; Connelly, T.; Feltham, F.; Cheng, C.-T.; Rahman, A.; Chan, J.; McCarney, L.; Neville, K. A Wearable Personalised Sonification and Biofeedback Device to Enhance Movement Awareness. Sensors 2024, 24, 4814. https://doi.org/10.3390/s24154814
Pang TY, Connelly T, Feltham F, Cheng C-T, Rahman A, Chan J, McCarney L, Neville K. A Wearable Personalised Sonification and Biofeedback Device to Enhance Movement Awareness. Sensors. 2024; 24(15):4814. https://doi.org/10.3390/s24154814
Chicago/Turabian StylePang, Toh Yen, Thomas Connelly, Frank Feltham, Chi-Tsun Cheng, Azizur Rahman, Jeffrey Chan, Luke McCarney, and Katrina Neville. 2024. "A Wearable Personalised Sonification and Biofeedback Device to Enhance Movement Awareness" Sensors 24, no. 15: 4814. https://doi.org/10.3390/s24154814
APA StylePang, T. Y., Connelly, T., Feltham, F., Cheng, C.-T., Rahman, A., Chan, J., McCarney, L., & Neville, K. (2024). A Wearable Personalised Sonification and Biofeedback Device to Enhance Movement Awareness. Sensors, 24(15), 4814. https://doi.org/10.3390/s24154814

