Fluorescent Probe-Based Fiber Optic Sensor for Real-Time Monitoring of Chloride Ions in Coastal Concrete Structures
Abstract
1. Introduction
2. Working Principle
- I0: Initial fluorescence intensity in the absence of a specific ion;
- I: Fluorescence intensity in the presence of a specific ion;
- KSV: Stern–Volmer constant;
- [Q]: Ion concentration.
3. Sensor Fabrication
4. Experiments
4.1. Calibration
4.2. Test
- (a)
- Concrete simulation solution test: This study used Ca(OH)2 powder and a NaHCO3 standard solution to configure concrete simulation solutions with different pH values. The configuration process started with adding excess Ca(OH)2 powder to deionized water to obtain a supersaturated Ca(OH)2 solution. The supersaturated solution was left to stand for more than 24 h, and then the upper layer of the supersaturated solution was extracted, serving as the base of the concrete simulation solution. At this time, the pH value of the saturated Ca(OH)2 solution was 12.6, and the pH value of the simulation solution was adjusted by adding NaHCO3 at a concentration of 1 M drop by drop to the saturated solution, and thus concrete simulation solutions with pH values of 11.6, 10.6, 9.6, and 8.6 were obtained. The concentrations of chloride ions in the simulated concrete solutions were then adjusted using a known amount of NaCl, and the tests were carried out separately.
- (b)
- Resistance-to-ionic-interference test: Ionic selectivity is the main index used to evaluate the performance of fluorescence sensors. The internal environment of a concrete structure is complex, and other ions may interfere with the detection of chloride ions. In this study, several anions, namely, , , , , and and cations, namely, , , and , which are commonly found inside concrete, were selected to verify the ionic selectivity of the quinine-sulfate-based chloride ion sensor. The ratio of fluorescence burst, that is, , was used to define the degree of influence of the added ions on the fluorescence intensity of quinine sulfate, and a control experiment with a blank group was conducted using deionized water, taking into account the dilution effect during the addition of the standard solution of each ion. The concentrations of the interfering ions were all 100 μg/mL, and the concentration of chloride ions was 10 μg/mL.
- (c)
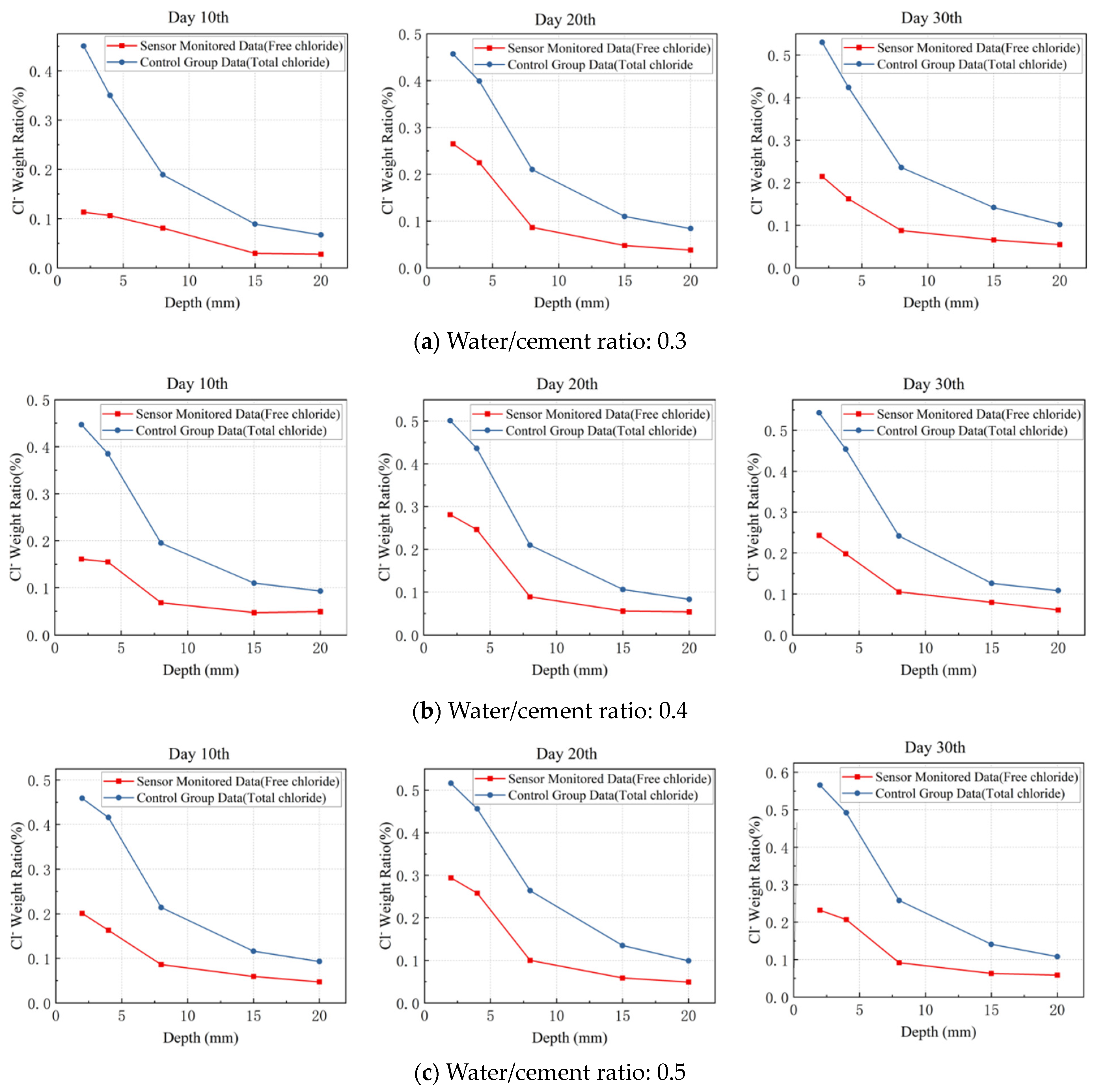
- Chloride ion concentration monitoring in cement mortar specimens: Mortar specimens with buried sensors (Figure 5) located at different depths (2 mm, 4 mm, 8 mm, 15 mm, 20 mm) and water/cement ratios (0.3, 0.4, 0.5) were prepared, with the specimens being 30 mm long by 30 mm wide. Control groups with no sensors were also prepared for chloride measurement using a conventional method. All specimens were subjected to standard curing for 28 days to ensure that the specimens acquired the expected strength, and Figure 6 shows the mortar specimens after demolding. The sides of all the specimens were sealed with epoxy resin to allow unidirectional penetration of the chloride ions. Figure 7 shows the overall experimental design. The dimensions of the squares in which the mortar specimens were placed were 32 mm × 32 mm, and all the specimens were placed in the same airtight chloride-salt environment at a constant temperature of 25 °C. The sodium chloride concentration was set to 3%, and the bottom of the specimen block was placed in contact with the solution and periodically replenished with a 3% sodium chloride solution.
4.3. Results and Analysis
4.3.1. Concrete Simulation Solution Test
4.3.2. Ion Resistance Test
4.3.3. Mortar Specimen Test
5. Conclusions
- (1)
- Fluorescence-based chloride ion sensing: Quinine sulfate exhibits robust fluorescence properties, wherein the fluorescence intensity proportionally correlates with the concentration of free chloride ions in accordance with the Stern–Volmer law. This relationship is crucial for sensor calibration. The experimental results demonstrate that the fiber optic fluorescent chloride ion sensor, utilizing quinine sulfate as a fluorescent agent, achieved a sensitivity exceeding 0.01 M. Such sensitivity proves this sensor’s capacity for precise chloride ion detection.
- (2)
- Sensor stability and selectivity: The sensor maintains consistent performance across a range of pH values typically found in concrete simulation solutions, demonstrating minimal deviation in chloride ion detection. This stability, coupled with its resistance to ionic interference, highlights the sensor’s robustness. Furthermore, the sensor exhibits a superior selectivity for chloride ions, a critical attribute for reliable sensing in complex concrete environments.
- (3)
- Chloride penetration-depth-sensing accuracy: The experimental results derived from the cement mortar specimens indicate that the sensor’s depth-sensing accuracy surpasses 3 mm. Notably, as the depth increases, the sensor’s concentration-sensing accuracy improves, achieving an overall accuracy greater than 0.1%. Remarkably, beyond a depth of 15 mm, the sensing accuracy enhances tenfold, achieving a precision better than 0.02%. However, it was observed that an increase in the water/cement ratio corresponds to a gradual decrease in sensing accuracy.
Author Contributions
Funding
Institutional Review Board Statement
Informed Consent Statement
Data Availability Statement
Conflicts of Interest
References
- Ann, K.Y.; Song, H.W. Chloride threshold level for corrosion of steel in concrete. Corros. Sci. 2007, 49, 4113–4133. [Google Scholar] [CrossRef]
- Angst, U.; Elsener, B.; Larsen, C.K.; Vennesland, Ø. Critical chloride content in rein-forced concrete—A review. Cem. Concr. Res. 2009, 39, 1122–1138. [Google Scholar] [CrossRef]
- Laferrière, F.; Inaudi, D.; Kronenberg, P.; Smith, I.F.C. A new system for early chloride detection in concrete. Smart Mater. Struct. 2008, 17, 045017. [Google Scholar] [CrossRef]
- Yan, Y.; Jang, Y.; Liang, J.Y.; Hu, Z.H. The Feasibility Studies on Monitoring Corrosion of Rebar Embedded in Concrete by Optical Fiber Grating. J. Sichuan Univ. 2006, 38, 167–172. [Google Scholar]
- Stubelius, A.; Lee, S.; Almutairi, A. The chemistry of boronic acids in nanomaterials for drug delivery. Acc. Chem. Res. 2019, 52, 3108–3119. [Google Scholar] [CrossRef] [PubMed]
- Wang, J.; Neng, W.J.N. A microfluidic long-period fiber grating sensor platform for chloride ion concentration measurement. Sensors 2011, 11, 8550–8568. [Google Scholar] [CrossRef] [PubMed]
- Muralidharan, S.; Vedalakshmi, R.; Saraswathi, V.; Joseph, J.; Palaniswamy, N. Studies on the aspects of chloride ion determination in different types of concrete under macro-cell corrosion conditions. Build. Environ. 2005, 40, 1275–1281. [Google Scholar] [CrossRef]
- Leung, C.K.Y. Fiber optic sensors in concrete: The future? NDT E Int. 2001, 34, 85–94. [Google Scholar] [CrossRef]
- Song, H.W.; Saraswathy, V. Corrosion monitoring of reinforced concrete structures—A review. Int. J. Electrochem. Sci. 2007, 2, 1–28. [Google Scholar] [CrossRef]
- Pargar, F.; Kolev, H.; Koleva, D.A.; van Breugel, K. Microstructure, surface chemistry and electrochemical response of Ag | AgCl sensors in alkaline media. J. Mater. Sci. 2018, 53, 7527–7550. [Google Scholar] [CrossRef]
- Montemor, M.F.; Alves, J.H.; Simoes, A.M.; Fernandes, J.C.S.; Lourenço, Z.; Costa, A.J.S.; Appleton, A.J.; Ferreira, M.G.S. Multiprobe chloride sensor for in situ monitoring of reinforced concrete structures. Cem. Concr. Compos. 2006, 28, 233–236. [Google Scholar] [CrossRef]
- de Graaf, D.B.; Abbas, Y.; Bomer, J.G.; Olthuis, W.; van den Berg, A. Sensor–actuator system for dynamic chloride ion determination. Anal. Chim. Acta 2015, 888, 44–51. [Google Scholar] [CrossRef] [PubMed]
- Habel, W.R.; Krebber, K. Fiber-optic sensor applications in civil and geotechnical engineering. Photonic Sens. 2011, 1, 268–280. [Google Scholar] [CrossRef]
- Guo, C.; Fan, L.; Wu, C.; Chen, G.; Li, W. Ultrasensitive LPFG corrosion sensor with Fe-C coating electroplated on a Gr/AgNW film. Sens. Actuators B Chem. 2019, 283, 334–342. [Google Scholar] [CrossRef]
- Fan, L.; Bao, Y. Review of fiber optic sensors for corrosion monitoring in reinforced concrete. Cem. Concr. Compos. 2021, 120, 104029. [Google Scholar] [CrossRef]
- Xiao, W.; Ding, L.; He, J.; Huang, J. Preparation of lucigenin-doped silica nanoparticles and their application in fiber optic chloride ion sensor. Opt. Mater. 2019, 98, 109467. [Google Scholar] [CrossRef]
- Nguyen, T.H.; Zhao, Y.; Sun, T.; Grattan, K.T.V. An optical fiber salinity sensor based on fluorescence quenching mechanism. In Proceedings of the OFS2012 22nd International Conference on Optical Fiber Sensors, Beijing, China, 14–19 October 2012; SPIE: Bellingham, WA, USA, 2012; Volume 8421, pp. 964–967. [Google Scholar]
- Benito-Peña, E.; Valdés, M.G.; Glahn-Martínez, B.; Moreno-Bondi, M.C. Fluorescence based fiber optic and planar waveguide biosensors. A review. Anal. Chim. Acta 2016, 943, 17–40. [Google Scholar] [CrossRef] [PubMed]
- Martin, A.; Narayanaswamy, R. Studies on quenching of fluorescence of reagents in aqueous solution leading to an optical chloride-ion sensor. Sens. Actuators B Chem. 1997, 39, 330–333. [Google Scholar] [CrossRef]
- Demchenko, A.P. Introduction to Fluorescence Sensing; Springer International Publishing: Cham, Switzerland, 2015. [Google Scholar]
- Jayaraman, S.; Verkman, A.S. Quenching mechanism of quinolinium-type chloride-sensitive fluorescent indicators. Biophys. Chem. 2000, 85, 49–57. [Google Scholar] [CrossRef] [PubMed]
- Li, Z.J. Study of Optical Fiber Sensor for Monitoring Chloride Concentration on Concrete Environment; Wuhan University of Technology: Wuhan, China, 2018. [Google Scholar]
- AASHTO T260-97; Sampling and Testing for Chloride Ion in Concrete and Concrete Raw Materials. American Association of State Highway and Transportation Officials: Washington, DC, USA, 2009.











(mm) | (mm) | (mm) |
|---|---|---|
| 2 | 3.3 | 1.3 |
| 4 | 3.3 | 0.7 |
| 8 | 6.3 | 1.7 |
| 15 | 16.7 | 1.7 |
| 20 | 17.3 | 2.7 |
| (a) Water-to-Cement Ratio: 0.3 | |||
| Depths (mm) | (%) | 25% (%) | (%) |
| 2 | 0.22 | 0.13 | 0.09 |
| 4 | 0.16 | 0.11 | 0.05 |
| 8 | 0.09 | 0.06 | 0.03 |
| 15 | 0.07 | 0.04 | 0.03 |
| 20 | 0.06 | 0.03 | 0.03 |
| (b) Water-to-Cement Ratio: 0.4 | |||
| Depths (mm) | (%) | 25% (%) | (%) |
| 2 | 0.24 | 0.14 | 0.10 |
| 4 | 0.21 | 0.11 | 0.10 |
| 8 | 0.10 | 0.06 | 0.04 |
| 15 | 0.06 | 0.03 | 0.03 |
| 20 | 0.06 | 0.03 | 0.03 |
| (c) Water-to-Cement Ratio: 0.5 | |||
| Depths (mm) | (%) | 25% (%) | (%) |
| 2 | 0.23 | 0.14 | 0.09 |
| 4 | 0.20 | 0.12 | 0.08 |
| 8 | 0.11 | 0.07 | 0.04 |
| 15 | 0.08 | 0.04 | 0.04 |
| 20 | 0.06 | 0.03 | 0.03 |
Disclaimer/Publisher’s Note: The statements, opinions and data contained in all publications are solely those of the individual author(s) and contributor(s) and not of MDPI and/or the editor(s). MDPI and/or the editor(s) disclaim responsibility for any injury to people or property resulting from any ideas, methods, instructions or products referred to in the content. |
© 2024 by the authors. Licensee MDPI, Basel, Switzerland. This article is an open access article distributed under the terms and conditions of the Creative Commons Attribution (CC BY) license (https://creativecommons.org/licenses/by/4.0/).
Share and Cite
Lin, Z.; Ouyang, Q.; Guo, C.; Ni, Y. Fluorescent Probe-Based Fiber Optic Sensor for Real-Time Monitoring of Chloride Ions in Coastal Concrete Structures. Sensors 2024, 24, 3700. https://doi.org/10.3390/s24123700
Lin Z, Ouyang Q, Guo C, Ni Y. Fluorescent Probe-Based Fiber Optic Sensor for Real-Time Monitoring of Chloride Ions in Coastal Concrete Structures. Sensors. 2024; 24(12):3700. https://doi.org/10.3390/s24123700
Chicago/Turabian StyleLin, Zhen, Quanfeng Ouyang, Chuanrui Guo, and Yiqing Ni. 2024. "Fluorescent Probe-Based Fiber Optic Sensor for Real-Time Monitoring of Chloride Ions in Coastal Concrete Structures" Sensors 24, no. 12: 3700. https://doi.org/10.3390/s24123700
APA StyleLin, Z., Ouyang, Q., Guo, C., & Ni, Y. (2024). Fluorescent Probe-Based Fiber Optic Sensor for Real-Time Monitoring of Chloride Ions in Coastal Concrete Structures. Sensors, 24(12), 3700. https://doi.org/10.3390/s24123700

