Experimental Study of Sinkhole Propagation Induced by a Leaking Pipe Using Fibre Bragg Grating Sensors
Abstract
1. Introduction
- Sturdy material supports the soil covering the dome, functioning as essential support for the void’s roof. The span should fall within the limits conducive to arch formation.
- The development of an arching mechanism within the residuum material.
- The formation of a void beneath the arch in the residuum.
- The requirement for a reservoir below the arch to accumulate the material resulting from the arch’s collapse.
- The initiation of a disruptive factor occurs when a void of adequate size forms in the residuum, leading to the collapse of the arch’s roof. Typically, the triggering factor is water infiltration, causing a weakening of the arching soils.
2. Sinkhole Monitoring Methods and Previous Investigations
2.1. Methods of Sinkhole Monitoring
2.2. Previous Investigations of Sinkholes
3. Introduction to the Optical Fibre Sensing Using Fibre Bragg Gratings (FBGs)
4. Materials and Methods
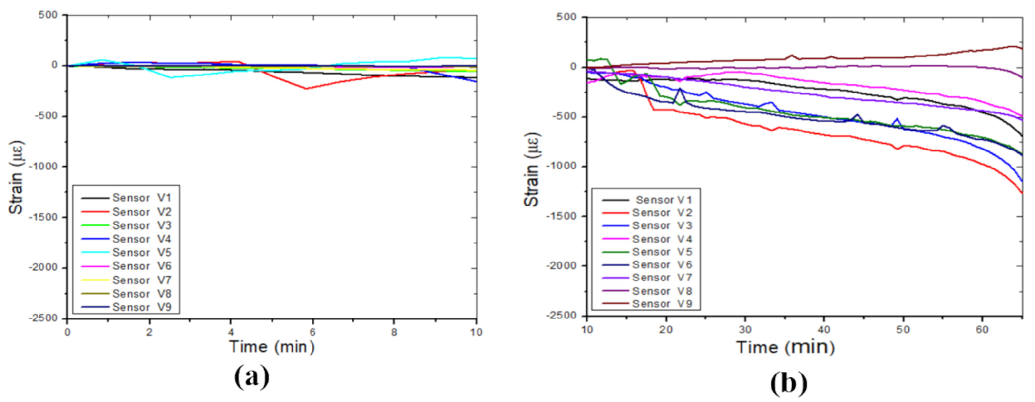
5. Results
6. Discussion
- Addressing the noise issues in the interrogator resolution is crucial to avoid false alarms in the sensing network and to ensure the reliability of collected data. It is essential to recoat the optical fibre cable with a recoating material that can enhance its adhesion to the surrounding soil, which plays a significant role in the overall performance and longevity of the monitoring system.
- Future work should focus on developing real-time monitoring and remote sensing by integrating cloud computing and IoT, enhancing sensor performance through advanced algorithms and wireless technologies, and studying soil variability. Testing these systems in large-scale or field models, interdisciplinary collaboration, and field trials will be essential for advancing these technologies.
7. Conclusions
- Phase 1: Underground cavity formation, determined by the balloon deflation time, produces a stable arch supporting the soil.
- Phase 2: Weathering process characterised by the leaking time (water infiltration) after forming the cavity.
- Phase 3: Collapsing process, during which time the failure was induced.
- Phase 4: Equilibrium period, where the soil mass falls over the sensors and reaches equilibrium.
Author Contributions
Funding
Institutional Review Board Statement
Informed Consent Statement
Data Availability Statement
Conflicts of Interest
References
- Buttrick, D.B.; Trollip, N.Y.G.; Gerber, A.A. A Performance Based Approach to Dolomite Risk Management. Environ. Earth Sci. 2011, 64, 1127–1138. [Google Scholar] [CrossRef]
- Gutiérrez, F.; Parise, M.; De Waele, J.; Jourde, H.; De Waele, J.; Jourde, H.; Waele, J.D.; Jourde, H. A Review on Natural and Human-Induced Geohazards and Impacts in Karst. Earth-Sci. Rev. 2014, 138, 61–88. [Google Scholar] [CrossRef]
- Gao, Y.; Zhu, H.; Qiao, L.; Liu, X.; Wei, C.; Zhang, W. Feasibility Study on Sinkhole Monitoring with Fiber Optic Strain Sensing Nerves. J. Rock Mech. Geotech. Eng. 2023, 15, 3059–3070. [Google Scholar] [CrossRef]
- Gutiérrez, F.; Cooper, A.H.; Johnson, K.S. Identification, Prediction, and Mitigation of Sinkhole Hazards in Evaporite Karst Areas. Environ. Geol. 2008, 53, 1007–1022. [Google Scholar] [CrossRef]
- Zhou, W.; Beck, B.F. Management and Mitigation of Sinkholes on Karst Lands: An Overview of Practical Applications. Environ. Geol. 2008, 55, 837–851. [Google Scholar] [CrossRef]
- Gutiérrez, F.; Zarroca, M.; Linares, R.; Roqué, C.; Carbonel, D.; Guerrero, J.; McCalpin, J.P.; Comas, X.; Cooper, A.H. Identifying the Boundaries of Sinkholes and Subsidence Areas via Trenching and Establishing Setback Distances. Eng. Geol. 2018, 233, 255–268. [Google Scholar] [CrossRef]
- Parise, M. A Procedure for Evaluating the Susceptibility to Natural and Anthropogenic Sinkholes. Georisk 2015, 9, 272–285. [Google Scholar] [CrossRef]
- Brinkmann, R.; Wilson, K.; Elko, N.; Seale, L.D.; Florea, L.; Vacher, H.L. Sinkhole Distribution Based on Pre-Development Mapping in Urbanised Pinellas County, Florida, USA. Geol. Soc. Spec. Publ. 2007, 279, 5–11. [Google Scholar] [CrossRef]
- Vaccari, A.; Stuecheli, M.; Bruckno, B.; Hoppe, E.; Acton, S.T. Detection of Geophysical Features in InSAR Point Cloud Data Sets Using Spatiotemporal Models. Int. J. Remote Sens. 2013, 34, 8215–8234. [Google Scholar] [CrossRef]
- Del Prete, S.; Di Crescenzo, G.; Santangelo, N.; Santo, A. Collapse Sinkholes in Campania (Southern Italy): Predisposing Factors, Genetic Hypothesis and Susceptibility. Z. Geomorphol. 2010, 54, 259–284. [Google Scholar] [CrossRef]
- Parise, M.; Lollino, P. A Preliminary Analysis of Failure Mechanisms in Karst and Man-Made Underground Caves in Southern Italy. Geomorphology 2011, 134, 132–143. [Google Scholar] [CrossRef]
- Intrieri, E.; Gigli, G.; Nocentini, M.; Lombardi, L.; Mugnai, F.; Fidolini, F.; Casagli, N. Sinkhole Monitoring and Early Warning: An Experimental and Successful GB-InSAR Application. Geomorphology 2015, 241, 304–314. [Google Scholar] [CrossRef]
- Doǧan, U.; Yilmaz, M. Natural and Induced Sinkholes of the Obruk Plateau and Karapidotlessnar-Hotami{dotless}ş Plain, Turkey. J. Asian Earth Sci. 2011, 40, 496–508. [Google Scholar] [CrossRef]
- Gao, Y.; Luo, W.; Jiang, X.; Lei, M.; Dai, J. Investigations of Large Scale Sinkhole Collapses, Laibin, Guangxi, China. In Proceedings of the Full Proceedings of the Thirteenth Multidisciplinary Conference on Sinkholes and the Engineering and Environmental Impacts of Karst, Carlsbad, NM, USA, 6–10 May 2013; National Cave and Karst Research Institute: Carlsbad, NM, USA, 2013; pp. 327–331. [Google Scholar]
- Youssef, A.M.; Al-Harbi, H.M.; Gutiérrez, F.; Zabramwi, Y.A.; Bulkhi, A.B.; Zahrani, S.A.; Bahamil, A.M.; Zahrani, A.J.; Otaibi, Z.A.; El-Haddad, B.A. Natural and Human-Induced Sinkhole Hazards in Saudi Arabia: Distribution, Investigation, Causes and Impacts. Hydrogeol. J. 2015, 24, 625–644. [Google Scholar] [CrossRef]
- Baer, G.; Magen, Y.; Nof, R.N.; Raz, E.; Lyakhovsky, V.; Shalev, E. InSAR Measurements and Viscoelastic Modeling of Sinkhole Precursory Subsidence: Implications for Sinkhole Formation, Early Warning, and Sediment Properties. J. Geophys. Res. Earth Surf. 2018, 123, 678–693. [Google Scholar] [CrossRef]
- Dippenaar, M.A.; Swart, D.; Van Rooy, J.L. The Karst Vadose Zone: Influence on Recharge, Vulnerability; Technical Report No. Tt 109/99; Water Research Commission: Pretoria, South Africa, 2019. [Google Scholar]
- Theron, A.; Engelbrecht, J.; Kemp, J.; Kleynhans, W.; Turnbull, T. Detection of Sinkhole Precursors Through SAR Interferometry: Radar and Geological Considerations. IEEE Geosci. Remote Sens. Lett. 2017, 14, 871–875. [Google Scholar] [CrossRef]
- Constantinou, S.; Van Rooy, J.L. Sinkhole and Subsidence Size Distribution across Dolomitic Land in Gauteng. J. S. Afr. Inst. Civ. Eng. 2018, 60, 2–8. [Google Scholar] [CrossRef]
- Weary, D. The Cost of Karst Subsidence and Sinkhole Collapse in the United States Compared with Other Natural Hazards. In Proceedings of the Sinkholes and the Engineering and Environmental Impacts of Karst: Proceedings of the Fourteenth Multidisciplinary Conference, Rochester, NY, USA, 5–9 October 2015; University of South Florida Tampa Library: Tampa, FL, USA, 2015; pp. 433–446. [Google Scholar]
- Gutiérrez, F.; Guerrero, J.; Lucha, P. A Genetic Classification of Sinkholes Illustrated from Evaporite Paleokarst Exposures in Spain. Environ. Geol. 2008, 53, 993–1006. [Google Scholar] [CrossRef]
- Jennings, J.E.; Brink, A.B.A.; Louw, A.; Gowan, G. Sinkholes and Subsidences in the Transvaal Dolomite of South Africa. Int. Soc. Soil Mech. Geotech. Eng. 1965, 51–54. Available online: https://www.issmge.org/publications/publication/sinkholes-and-subsidences-in-the-transvaal-dolomite-of-south-africa (accessed on 16 September 2024).
- Jacobsz, S.W. Trapdoor Experiments Studying Cavity Propagation. In Proceedings of the First Southern African Geotechnical Conference; Group, T. & F., Ed.; CRC Press: Boca Raton, FL, USA, 2016; pp. 159–165. Available online: https://www.researchgate.net/publication/303445149_Trapdoor_experiments_studying_cavity_propagation (accessed on 16 September 2024).
- Labuschagne, J.; Ferentinou, M.; Grobler, M.; Jacobsz, S.W. Smart Monitoring of Sinkhole Formation Using Optic Fibre Technology. In Springer Series in Geomechanics and Geoengineering; Springer: Berlin/Heidelberg, Germany, 2020; Volume 1, pp. 763–773. ISBN 9783030320287. [Google Scholar]
- Ferentinou, M. Sinkhole Collapse Propagation Studies through Instrumented Small-Scale Physical Models. Int. Assoc. Hydrol. Sci. 2020, 382, 71–76. [Google Scholar] [CrossRef]
- Möller, T.; da Silva Burke, T.S.; Xu, X.; Della Ragione, G.; Bilotta, E.; Abadie, C.N. Distributed Fibre Optic Sensing for Sinkhole Early Warning: Experimental Study. Géotechnique 2022, 73, 701–715. [Google Scholar] [CrossRef]
- Terzaghi, K. Stress Distribution in Dry Ans in Saturated Sand above a Yielding Trap-Door. International Society for Soil Mechanics and Geotechnical Engineering (ISSMGE) 1936. Available online: https://www.issmge.org/publications/publication/stress-distribution-in-dry-and-in-saturated-sand-above-a-yielding-trap-door (accessed on 16 September 2024).
- Costa, Y.D.; Zornberg, J.G.; Asce, M.; Benedito, B.S.; Costa, C.L. Failure Mechanisms in Sand over a Deep Active Trapdoor. J. Geotech. Geoenviron. Eng. 2009, 135, 1741–1753. [Google Scholar] [CrossRef]
- Alrowaimi, M.; Yun, H.-B.; Chopra, M. Sinkhole Physical Models to Simulate and Investigate Sinkhole Collapses. In Proceedings of the Sinkholes and the Engineering and Environmental Impacts of Karst: Proceedings of the Fourteenth Multidisciplinary Conference, Orlando, FL, USA, 15–17 October 2015; University of South Florida Tampa Library: Tampa, FL, USA, 2015; pp. 559–568. [Google Scholar]
- Al-Naddaf, M.; Han, J.; Jawad, S.; Abdulrasool, G.; Xu, C. Investigation of Stability of Soil Arching under Surface Loading Using Trapdoor Model Tests. In Proceedings of the ICSMGE 2017—19th International Conference on Soil Mechanics and Geotechnical Engineering, Seoul, Republic of Korea, 17–21 September 2017; Volume 2017, pp. 889–892. [Google Scholar]
- Bado, M.F.; Casas, J.R. A Review of Recent Distributed Optical Fiber Sensors Applications for Civil Engineering Structural Health Monitoring. Sensors 2021, 21, 1818. [Google Scholar] [CrossRef] [PubMed]
- Xu, D.-S.; Dong, L.-J.; Borana, L.; Liu, H.-B. Early-Warning System with Quasi-Distributed Fiber Optic Sensor Networks and Cloud Computing for Soil Slopes. IEEE Access 2017, 5, 25437–25444. [Google Scholar] [CrossRef]
- Li, R.; Tan, Y.; Chen, Y.; Hong, L.; Zhou, Z. Optical Fiber Technology Investigation of Sensitivity Enhancing and Temperature Compensation for Fi Ber Bragg Grating (FBG)-Based Strain Sensor. Opt. Fiber Technol. 2019, 48, 199–206. [Google Scholar] [CrossRef]
- Zomberg, R.; Hall, P.; Tech, V. Testing of Reinforced Slopes in a Geotechnical Centrifuge. Geotech. Test. J. 1997, 20, 470–480. [Google Scholar] [CrossRef]
- Ni, P.; Wang, S.; Zhang, S.; Mei, L. Response of Heterogeneous Slopes to Increased Surcharge Load. Comput. Geotech. 2016, 78, 99–109. [Google Scholar] [CrossRef]
- Park, H.J.; Kim, D.S. Centrifuge Modelling for Evaluation of Seismic Behaviour of Stone Masonry Structure. Soil Dyn. Earthq. Eng. 2013, 53, 187–195. [Google Scholar] [CrossRef]
- Buttrick, D.B.; Van Schalkwyk, A. The Method of Scenario Supposition for Stability Evaluation of Sites on Dolomitic Land in South Africa, Technical Paper. J. S. Afr. Inst. Civ. Eng. 1995, 37, 9–14. [Google Scholar]
- SABS SANS 2001-DP1; Construction Works Part DP1: Earthworks for Buried Pipelines and Prefabricated Culverts; Edition 1.1. South African Bureau of Standards: Pretoria, South Africa, 2011; ISBN 9780626251604.
- Heath, G.J.J.; Oosthuizen, A.C.C. A Preliminary Overview of the Sinkhole Record of South Africa. SAICE Conf. Probl. Soils South Afr. 2016. Available online: https://www.researchgate.net/publication/289532686_A_preliminary_overview_of_the_sinkhole_record_of_South_Africa (accessed on 16 September 2024).
- Sverdrup, H. Chemical Weathering of Soil Minerals and the Role of Biological Processes. Fungal Biol. Rev. 2009, 23, 94–100. [Google Scholar] [CrossRef]
- Zhang, D.; Xu, Q.; Bezuijen, A.; Zheng, G.; Wang, H. Internal Deformation Monitoring for Centrifuge Slope Model with Embedded FBG Arrays. Landslides 2017, 14, 407–417. [Google Scholar] [CrossRef]












| Parameter | Scaling Factor (Prototype/Model) | ||
|---|---|---|---|
| Centrifuge Physical Modelling | 1-g Physical Modelling | ||
| Displacement, Length | N | N | |
| Mass | N3 | N3 | |
| Density | 1 | 1 | |
| Stress | 1 | N | |
| Strain | 1 | 1 | |
| Time | N0.5 | 1 | |
| Engineering Property | Value |
|---|---|
| Compaction density | 1548.8 kg m−3 |
| Relative density | 60% |
| Specific gravity, Gs | 2.67 |
| Particle shape | Angular to sub-rounded |
| Cohesion, C′ | 0 kPa |
| Angle of repose (ϕ) | 37° |
| D50 particle diameter | 0.15 mm |
| Moisture content | 10% |
| Unified soil classification system (USCS) | SP. |
Disclaimer/Publisher’s Note: The statements, opinions and data contained in all publications are solely those of the individual author(s) and contributor(s) and not of MDPI and/or the editor(s). MDPI and/or the editor(s) disclaim responsibility for any injury to people or property resulting from any ideas, methods, instructions or products referred to in the content. |
© 2024 by the authors. Licensee MDPI, Basel, Switzerland. This article is an open access article distributed under the terms and conditions of the Creative Commons Attribution (CC BY) license (https://creativecommons.org/licenses/by/4.0/).
Share and Cite
Yumba, J.; Ferentinou, M.; Grobler, M. Experimental Study of Sinkhole Propagation Induced by a Leaking Pipe Using Fibre Bragg Grating Sensors. Sensors 2024, 24, 6215. https://doi.org/10.3390/s24196215
Yumba J, Ferentinou M, Grobler M. Experimental Study of Sinkhole Propagation Induced by a Leaking Pipe Using Fibre Bragg Grating Sensors. Sensors. 2024; 24(19):6215. https://doi.org/10.3390/s24196215
Chicago/Turabian StyleYumba, Josué, Maria Ferentinou, and Michael Grobler. 2024. "Experimental Study of Sinkhole Propagation Induced by a Leaking Pipe Using Fibre Bragg Grating Sensors" Sensors 24, no. 19: 6215. https://doi.org/10.3390/s24196215
APA StyleYumba, J., Ferentinou, M., & Grobler, M. (2024). Experimental Study of Sinkhole Propagation Induced by a Leaking Pipe Using Fibre Bragg Grating Sensors. Sensors, 24(19), 6215. https://doi.org/10.3390/s24196215

