Thermally Coupled NTC Chip Thermistors: Their Properties and Applications
Abstract
1. Introduction
2. Experiment and Results
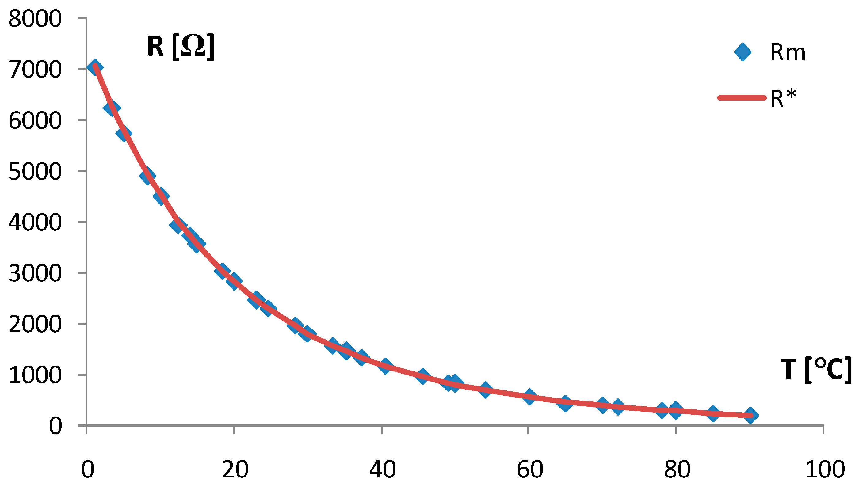
2.1. Main Properties of Chip Thermistors
2.2. Thermal Coupling of Chip Thermistors
2.3. Resistances and Temperatures in TCCT Device
2.4. Self-Heating Current Stability vs. Time of TCCT Device
2.5. Application of TCCT Device
3. Discussion
3.1. Operating Point of TCCT Device
3.2. Heat Transfer in TCCT Device
3.3. Comparison of TCCT with TF TCT and TCDT Devices
4. Conclusions
- The main properties: The chip TCCT is a resistive device based on the thermal junction of two small NTC chip thermistors: a chip size of 0603 and dissipation power of 100 mW, nominal resistance R0 ≈ 2600 Ω, and exponential factor B = 3908 K. The input voltage U was limited using a practical criterion k > 0.97 (Section 2.2, bar diagrams in Figure 7) to keep the stability of the self-heating current according to the ambient temperature Ta in the range from around 1 °C to 40 °C. Practically, the self-heating current is limited to a maximum of 10 mA and power to a maximum of 25 mW. The various chip thermistors’ nominal resistances can be chosen to form the TCCT with a resistances’ ratio Rinput/Routput from 1:1 to 1:5 or more. The input supply voltage can be DC, AC, or slow changeable impulses, and the output chip thermistor has a thermal response with a thermally coupling factor k1,2 ≈ 0.25. The insulation resistance of the epoxy between the chip thermistors was >109 Ω, and the delay time of the chip thermistor response from the switch on of the supply voltage U to a stable self-heating current I1 was less than 30 s.
- The main advantages: The chip TCCT is a small cubic type of device made out of modified nickel manganese chip thermistors (NTC). The thermal coupling (heat transfer) from the self-heating thermistor to heat receiving thermistor is weaker (k1,2 ≈ 0.25) compared to the TF TCT and disk TCDT devices (realized recently in our previous works), but the volume and occupied area on a PCB are much smaller. The production of TCCT is cheaper. The TCCT device operates like an electro-thermal potentiometer (slider-less).
- The core conclusions are the following: The chip TCCT device has a small volume and simple construction, is cheap to use, and enables different applications, such as the measurement of the input power through the output temperature. It can be coupled with operational amplifiers for output linearization and used in microelectronics and power microelectronics as feedback in small power AC/DC convertors, car automation electronics, home appliances, thermo switches, thermostats, air conditioning, etc.
Author Contributions
Funding
Institutional Review Board Statement
Informed Consent Statement
Data Availability Statement
Conflicts of Interest
References
- Macklen, D.E. Thermistors; Electrochemical Pub. Ltd.: Glasgow, UK, 1979; pp. 103–125. [Google Scholar]
- Buchanan, C.R. Ceramic Sensors. In Ceramic Materials for Electronics, 3rd ed.; Marcel Dekker: New York, NY, USA, 2004; pp. 193–225. [Google Scholar]
- Fraden, J. Handbook of Modern Sensors: Physics, Designs, and Applications, 4th ed.; Springer: Berlin/Heidelberg, Germany, 2010; pp. 519–566. [Google Scholar]
- Scarr, R.W.A.; Setterington, R.A. Thermistors, Their Theory, Manufacture and Application. Proc. IEE-Part B Electron. Commun. Eng. 1960, 107, 395–405. [Google Scholar] [CrossRef]
- Turner, J. Temperature sensors. In Automotive Sensors; Momentum Press, LLC: Highland Park, NJ, USA, 2009; Chapter 3; pp. 85–105. [Google Scholar]
- Feteira, A. Negative Temperature Coefficient Resistance (NTCR) Ceramic Thermistors: An Industrial Perspective. J. Am. Ceram. Soc. 2009, 92, 967–983. [Google Scholar] [CrossRef]
- Aleksic, S.O.; Nikolic, M.P. Recent Advances in Thick Film Thermistor Properties and Applications. Facta Univ. Electron. Energetics 2017, 30, 267–284. [Google Scholar] [CrossRef]
- Liptak, G.B. Process Measurement and Analysis. In Instrument Engineers’ Handbook, 4th ed.; CRC Press: Boca Raton, FL, USA, 2003; pp. 666–671. [Google Scholar]
- Vakiv, M.; Shpotyuk, O.; Mrooz, O.; Hadzaman, I. Controlled thermistor effect in the system CuxNi1−x−yCo2yMn2−yO4. J. Eur. Ceram. Soc. 2001, 21, 1783–1785. [Google Scholar] [CrossRef]
- Guan, F.; Zhang, H.; Chang, A.; Zhao, P.; Zhang, B. Effect of CaO—Doped in NiMn2O4—LaMnO3 Composite Ceramics on Microstructure and Electrical Properties. J. Mater. Sci. Mater. Electron. 2012, 23, 1728–1733. [Google Scholar] [CrossRef]
- Acharya, A.; Sagar, R. Structure and electrical properties characterization of NiMn2O4NTC ceramics. Inorg. Chem. Commun. 2021, 132, 108856. [Google Scholar] [CrossRef]
- Zhang, M.H.; Guan, F.; Chang, M.A.; Zhao, J.L. Preparation and Characterization of NTCNiMn2O4-La1−xCaxMnO3(0 ≤ x ≤ 0.3) Composite Ceramics. Adv. Mater. Res. 2013, 716, 78–83. [Google Scholar] [CrossRef]
- Fujita, T.; Fujiwara, K.; Yamaguchi, T. Electrical Properties of La(Cr,Mn)O3 NTC Materials. Key Eng. Mater. 2011, 485, 237–240. [Google Scholar] [CrossRef]
- Muralidharan, N.M.; Rohini, P.; Sunny, E.; Dayas, K.; Seema, A. Effect of Cu and Fe Addition on Electrical Properties of N-Mn-Co-ONTC Thermistor Compositions. Ceram. Int. 2012, 38, 6481–6486. [Google Scholar] [CrossRef]
- Kang, W.D.; Jeon, W.; Choi, J.; Jo, J. Control of current distribution between parallel-connected NTC thermistors. Electron. Lett. 2017, 53, 169–171. [Google Scholar] [CrossRef]
- Shpotyuk, O.; Balitska, V.; Hadzaman, I.; Klym, H. Sintering-modified mixed Ni–Co–Cu oxymanganospinels for NTC electroceramics. J. Alloys Compd. 2011, 50, 447–450. [Google Scholar] [CrossRef]
- Han, S.H.; Mhin, S.; Park, R.K.; Kim, M.K.; Lee, I.J.; Ryu, H.J. Fedoped Ni-Mn-Co-O ceramics with varying Fe content as negative temperature coefficient sensors. Ceram. Int. 2017, 43, 10528–10532. [Google Scholar] [CrossRef]
- Györgyfalva, C.D.G.; Reaney, M.I. Decomposition of NiMn2O4 spinel: An NTC thermistor material. J. Eur. Ceram. Soc. 2001, 21, 2145–2148. [Google Scholar] [CrossRef]
- Schmidt, R.; Basau, A.; Brinkman, W.A. Production of NTCR thermistor devices based on NiMn2O4+δ. J. Eur. Ceram. Soc. 2004, 24, 1233–1236. [Google Scholar] [CrossRef]
- Savić, S.M.; Aleksić, O.S.; Nikolić, P.M.; Luković, D.T. Geometrical and Electrical Properties of NTC Polycrystalline Thermistors vs. Changes of Sintering Parameters. Sci. Sinter. 2006, 38, 223–229. [Google Scholar] [CrossRef]
- Metz, R. Electrical properties of N.T.C. thermistors made of manganite ceramics of general spinel structure: Mn3−x−x′ MxNx′O4 (0≤ x + x′ ≤ 1; M and N being Ni, Co or Cu). Aging phenomenon study. J. Mater. Sci. 2000, 35, 4705–4711. [Google Scholar] [CrossRef]
- Degraeuwe, J.; Brauns, E.; Overstraeten, V.R.; Roos, J.; Govaerts, R. Sintering mechanisms in base metal conductors. Electrocompon. Sci. Technol. 1980, 7, 113–118. [Google Scholar] [CrossRef]
- Lee, S.W.; Su, Y.C.; Lee, C.Y.; Lin, P.S.; Yang, T. Effects of Dopant on the Dielectric Properties of CaZrO3 Ceramic Sintered in a Reducing Atmosphere. Jpn. J. Appl. Phys. 2006, 45 Pt 1, 5853–5958. [Google Scholar] [CrossRef]
- Yang, T.; Zhang, B.; Zhao, Q.; Luo, P.; Chang, A. New high temperature NTC thermistors based on the Mg(Al1−xCrx)2O4 ceramics. J. Alloys Compd. 2016, 685, 287–293. [Google Scholar] [CrossRef]
- Wiendartun, W.; Syarif, G.D. Effect of MnO2 Addition on Characteristics of Fe2TiO5 Ceramics for NTC Thermistor Utilizing Commercial and Local Iron Oxide. J. Am. Ceram. Soc. 2013, 49, 141–147. [Google Scholar]
- Luo, Y.; Liu, X. High Temperature NTC BaTiO3—Based Ceramic Resistors. Mater. Lett. 2005, 59, 3881–3884. [Google Scholar] [CrossRef]
- Feltz, A.; Krigel, R.; Polzl, W. Sr7Mn4O15 ceramics for high temperature NTC thermistors. J. Mater. Sci. Lett. 1999, 18, 1693–1695. [Google Scholar] [CrossRef]
- Zhao, L.Y.; Zhao, H.C.; Huang, J.; Zhao, B. LaMnO3–Ni0.75Mn2.25O4 Supported Bilayer NTC Thermistors. J. Am. Ceram. Soc. 2014, 97, 1016–1019. [Google Scholar] [CrossRef]
- Samatha, K.; Vijeth, H.; Sagar, R. Electrical and electrochemical properties of nanostructured Ni and Zn substituted Co3O4 spinels for thermistors and supercapacitor applications. J. Energy Storage 2022, 52 Pt A, 104871. [Google Scholar]
- Bodic, Z.M.; Aleksic, O.S.; Rajs, M.V.; Damnjanovic, S.M.; Kisic, G.M. Thermally Coupled Thick-Film Thermistors: Main Properties and Applications. IEEE Sens. J. 2023, 23, 21010–21017. [Google Scholar] [CrossRef]
- Bodic, Z.M.; Rajs, M.V.; Aleksic, O.S.; Damnjanovic, S.M.; Kisic, G.M. Thermally Coupled NTC Disk Thermistors for Power Applications. IEEE Sens. J. 2024, 24, 12058–12065. [Google Scholar] [CrossRef]
- Steinhart, S.J.; Hart, R.S. Calibration curves for thermistors. Deep-Sea Res. Oceanogr. Abstr. 1968, 15, 497–503. [Google Scholar] [CrossRef]










| Properties | TF TCT | DISK TCT | TCCT |
|---|---|---|---|
| R0 [Ω] nominal resistance at 20 °C | 562 | 586 | 2600 |
| B [K] temperature exponential factor | 3353 | 3186 | 3908 |
| type of device geometry | planar | cubic | cubic |
| device dimensions [mm] | 25.4 × 12.7 × 1 | D = 4.6; l = 6.5 | 2.2 × 1.4 × 1 |
| V [mm3] device volume | 323 | 108 | 3.08 |
| S [mm2] occupied surface on board | 323 | 30 | 3.6 |
| Ta [°C] ambient temperature | 1 to 40 | 1 to 40 | 1 to 40 |
| Umax [V] supply voltage | 16 to 8 | 14 to 4.5 | 14 to 5 |
| I1max [mA] self-heating current | 15 to 48 | 16 to 24 | 2.5 to 9.5 |
| P1max [mW] nominal input power | 500 | 450 | 100 |
| R1min [Ω] input resistance | 905 to 155 | 956 to 105 | 5378 to 461 |
| R1max [Ω] input resistance | 1375 to 173 | 1412 to 384 | 6399 to 1091 |
| R2min [Ω] output resistance | 9855 to 1550 | 11,450 to 3060 | 5843 to 743 |
| R2max [Ω] output resistance | 13,950 to 2992 | 11,950 to 3750 | 6499 to 1034 |
| ΔT[K] temperature difference | 6 to 10 | 4.5 to 18 | 2 to 16 |
| td [s] self-heating time * | 10 to 30 | 10 to 30 | ** 10 to 30 |
| k1,2 relative thermal coupling | 0.55 | 0.35 | 0.25 |
| DC Insulation resistance [Ω] * | >1012 | >109 | >109 |
| insulation resistance [Ω] * at 50 Hz | >200 M | >250 M | >200 M |
| parasitic capacitance [pF] * | <12.5 | <3 | <1 |
| Properties | TF TCT | DISK TCT | TCCT |
|---|---|---|---|
| Ta [°C] ambient temperature | 1 to 40 | 1 to 40 | 1 to 40 |
| Δ1min [K/V] min sensitivity | 0.116 to 0.321 | 0.112 to 0.308 | 0.076 to 0.362 |
| Δ1max [K/V] max sensitivity | 0.927 to 2.573 | 0.625 to 1.562 | 0.201 to 1.45 |
| Δ2min [mW/°C] power sensitivity | 15.9 to 12.25 | 37.15 to 18.51 | 1.011 to 1.31 |
| Δ2max [mW/°C] power sensitivity | 39.2 to 29.35 | 60.9 to 41.66 | 4.95 to 7.85 |
Disclaimer/Publisher’s Note: The statements, opinions and data contained in all publications are solely those of the individual author(s) and contributor(s) and not of MDPI and/or the editor(s). MDPI and/or the editor(s) disclaim responsibility for any injury to people or property resulting from any ideas, methods, instructions or products referred to in the content. |
© 2024 by the authors. Licensee MDPI, Basel, Switzerland. This article is an open access article distributed under the terms and conditions of the Creative Commons Attribution (CC BY) license (https://creativecommons.org/licenses/by/4.0/).
Share and Cite
Bodić, M.Z.; Aleksić, S.O.; Rajs, V.M.; Damnjanović, M.S.; Kisić, M.G. Thermally Coupled NTC Chip Thermistors: Their Properties and Applications. Sensors 2024, 24, 3547. https://doi.org/10.3390/s24113547
Bodić MZ, Aleksić SO, Rajs VM, Damnjanović MS, Kisić MG. Thermally Coupled NTC Chip Thermistors: Their Properties and Applications. Sensors. 2024; 24(11):3547. https://doi.org/10.3390/s24113547
Chicago/Turabian StyleBodić, Milan Z., Stanko O. Aleksić, Vladimir M. Rajs, Mirjana S. Damnjanović, and Milica G. Kisić. 2024. "Thermally Coupled NTC Chip Thermistors: Their Properties and Applications" Sensors 24, no. 11: 3547. https://doi.org/10.3390/s24113547
APA StyleBodić, M. Z., Aleksić, S. O., Rajs, V. M., Damnjanović, M. S., & Kisić, M. G. (2024). Thermally Coupled NTC Chip Thermistors: Their Properties and Applications. Sensors, 24(11), 3547. https://doi.org/10.3390/s24113547

