Design and Characterisation of a Read-Out System for Wireless Monitoring of a Novel Implantable Sensor for Abdominal Aortic Aneurysm Monitoring
Abstract
1. Introduction
2. Methodology
2.1. Proposed Geometries for the Read-Out Inductor System
2.2. Z-Shaped Inductors for Wireless Linkage Characterisation
2.3. The Experimental Evaluation of the Read-Out Inductor for the Detection of the Z-Shaped Inductor
3. Results and Discussion
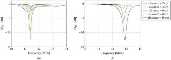
3.1. The Spacing Optimisation between the Read-Out System Inductors
3.2. The Analysis of the Detection of the Z-Shaped Inductor by the Read-Out Inductors System
3.2.1. The Analysis of the Z-Shaped Inductor Orientation
3.2.2. Analysis Using a Two-Coil and Three-Coil Inductive Link
3.2.3. Analysis Using a Biocompatible Material
4. Conclusions
Author Contributions
Funding
Institutional Review Board Statement
Informed Consent Statement
Data Availability Statement
Conflicts of Interest
References
- Sakalihasan, N.; Limet, R.; Defawe, O. Abdominal aortic aneurysm. Lancet 2005, 365, 1577–1589. [Google Scholar] [CrossRef] [PubMed]
- Sakalihasan, N.; Michel, J.B.; Katsargyris, A.; Kuivaniemi, H.; Defraigne, J.O.; Nchimi, A.; Powell, J.T.; Yoshimura, K.; Hultgren, R. Abdominal aortic aneurysms. Nat. Rev. Dis. Prim. 2018, 4, 34. [Google Scholar] [CrossRef] [PubMed]
- Aggarwal, S.; Qamar, A.; Sharma, V.; Sharma, A. Abdominal aortic aneurysm: A comprehensive review. Exp. Clin. Cardiol. 2011, 16, 11–15. [Google Scholar] [PubMed]
- Aversa, S.; Amin, B.; Silva, N.P.; Elahi, M.A. Anthropomorphic Abdominal Aortic Aneurysm Artificial Circulatory System for Medical Device Testing: 3D Reconstruction from CT Scans. In Proceedings of the 2023 Photonics & Electromagnetics Research Symposium (PIERS), Prague, Czech Republic, 3–6 July 2023; pp. 2073–2078, ISSN 2831-5804. [Google Scholar] [CrossRef]
- Brewster, D.C.; Cronenwett, J.L.; Hallett, J.W.; Johnston, K.W.; Krupski, W.C.; Matsumura, J.S.; Joint Council of the American Association for Vascular Surgery and Society for Vascular Surgery. Guidelines for the treatment of abdominal aortic aneurysms. Report of a subcommittee of the Joint Council of the American Association for Vascular Surgery and Society for Vascular Surgery. J. Vasc. Surg. 2003, 37, 1106–1117. [Google Scholar] [CrossRef] [PubMed]
- Buksh, M.M.; Nuzhath, S.; Heslop, J.; Moawad, M. A systematic review and case presentation: Giant abdominal aortic aneurysm. Vascular 2023, 17085381221140166. [Google Scholar] [CrossRef] [PubMed]
- Sokol, J.; Nguyen, P.K. Risk prediction for abdominal aortic aneurysm: One size does not necessarily fit all. J. Nucl. Cardiol. 2023, 30, 814–817. [Google Scholar] [CrossRef] [PubMed]
- Wanhainen, A.; Verzini, F.; Herzeele, I. Editor’s choice—European Society for Vascular Surgery (ESVS) 2019 clinical practice guidelines on the management of abdominal aorto-iliac artery aneurysms. Eur. J. Vasc. Endovasc. Surg. 2019, 57, 9–93. [Google Scholar] [CrossRef] [PubMed]
- Garland, S.K.; Falster, M.O.; Beiles, C.B.; Freeman, A.J.; Jorm, L.R.; Sedrakyan, A.; Sotade, O.; Varcoe, R.L. Long-term outcomes following elective repair of intact abdominal aortic aneurysms: A comparison between open surgical and endovascular repair using linked administrative and clinical registry data. Ann. Surg. 2023, 277, 955–962. [Google Scholar] [CrossRef] [PubMed]
- Back, M.R. Surveillance after endovascular abdominal aortic aneurysm repair. Perspect. Vasc. Surg. Endovasc. Ther. 2007, 19, 395–400. [Google Scholar] [CrossRef] [PubMed]
- Charalambous, S.; Perisinakis, K.; Kontopodis, N.; Papadakis, A.E.; Maris, T.G.; Ioannou, C.V.; Karantanas, A.; Tsetis, D. Dual-energy CT angiography in imaging surveillance of endovascular aneurysm repair – preliminary study results. Eur. J. Radiol. 2022, 148, 110165. [Google Scholar] [CrossRef]
- Li, C.; Deery, S.E.; Eisenstein, E.L.; Fong, Z.V.; Dansey, K.; Davidson-Ray, L.; O’Neal, B.; Schermerhorn, M.L. Index and follow-up costs of endovascular abdominal aortic aneurysm repair from the Endurant Stent Graft System Post Approval Study (ENGAGE PAS). J. Vasc. Surg. 2020, 72, 886–895. [Google Scholar] [CrossRef] [PubMed]
- Demir, U. Comparison of Doppler ultrasonography and computed tomography angiography for endoleak diagnosis after endovascular treatment of abdominal aortic aneurysm. Cardiovasc. Surg. Interv. 2022, 9, 9–19. [Google Scholar] [CrossRef]
- Shukla, K.; Messner, M.; Albuquerque, F.; Larson, R.; Newton, D.; Levy, M. Safety of utilizing ultrasound as the sole modality of follow-up after endovascular aneurysm repair. Ann. Vasc. Surg. 2023, 92, 172–177. [Google Scholar] [CrossRef]
- Ohki, T.; Ouriel, K.; Silveira, P.G.; Katzen, B.; White, R.; Criado, F.; Diethrich, E. Initial results of wireless pressure sensing for endovascular aneurysm repair: The APEX trial - Acute Pressure measurement to confirm aneurysm sac EXclusion. J. Vasc. Surg. 2007, 45, 236–242. [Google Scholar] [CrossRef] [PubMed]
- Springer, F.; Günther, R.W.; Schmitz-Rode, T. Aneurysm sac pressure measurement with minimally invasive implantable pressure sensors: An alternative to current surveillance regimes after EVAR? CardioVasc. Interv. Radiol. 2008, 31, 460–467. [Google Scholar] [CrossRef]
- Power, S.P.; Moloney, F.; Twomey, M.; James, K.; O’Connor, O.J.; Maher, M.M. Computed tomography and patient risk: Facts, perceptions and uncertainties. World J. Radiol. 2016, 8, 902–915. [Google Scholar] [CrossRef] [PubMed]
- Grootes, I.; Barrett, J.K.; Ulug, P.; Rohlffs, F.; Laukontaus, S.J.; Tulamo, R.; Venermo, M.; Greenhalgh, R.M.; Sweeting, M.J. Predicting risk of rupture and rupture-preventing reinterventions following endovascular abdominal aortic aneurysm repair. Br. J. Surg. 2018, 105, 1294–1304. [Google Scholar] [CrossRef] [PubMed]
- Ghazali, F.A.M.; Hasan, M.N.; Rehman, T.; Nafea, M.; Ali, M.S.M.; Takahata, K. MEMS Actuators for Biomedical Applications: A Review. J. Micromech. Microeng. 2020, 30, 073001. [Google Scholar] [CrossRef]
- Amin, B.; Rehman, M.R.U.; Farooq, M.; Elahi, A.; Donaghey, K.; Wijns, W.; Shahzad, A.; Vazquez, P. Optimizing cardiac wireless implant communication: A feasibility study on selecting the frequency and matching medium. Sensors 2023, 23, 3411. [Google Scholar] [CrossRef]
- Chow, E.Y.; Ouyang, Y.; Beier, B.; Chappell, W.J.; Irazoqui, P.P. Evaluation of Cardiovascular Stents as Antennas for Implantable Wireless Applications. IEEE Trans. Microw. Theory Tech. 2009, 57, 2523–2532. [Google Scholar] [CrossRef]
- Chow, E.Y.; Beier, B.L.; Francino, A.; Chappell, W.J.; Irazoqui, P.P. Toward an Implantable Wireless Cardiac Monitoring Platform Integrated with an FDA-Approved Cardiovascular Stent. J. Interv. Cardiol. 2009, 22, 479–487. [Google Scholar] [CrossRef] [PubMed]
- Chen, X.; Assadsangabi, B.; Brox, D.; Hsiang, Y.; Takahata, K. A Pressure-Sensing Smart Stent Compatible with Angioplasty Procedure and its In Vivo Testing. In Proceedings of the 2017 IEEE 30th International Conference on Micro Electro Mechanical Systems (MEMS), Las Vegas, NV, USA, 22–26 January 2017; IEEE: New York, NY, USA, 2017; pp. 133–136. [Google Scholar]
- Chen, X.; Assadsangabi, B.; Hsiang, Y.; Takahata, K. Enabling Angioplasty-Ready “Smart” Stents to Detect In-Stent Restenosis and Occlusion. Adv. Sci. 2018, 5, 1700560. [Google Scholar] [CrossRef] [PubMed]
- Farooq, M.; Amin, B.; Kraśny, M.J.; Elahi, A.; Rehman, M.R.U.; Wijns, W.; Shahzad, A. An ex vivo study of wireless linkage distance between implantable LC resonance sensor and external readout coil. Sensors 2022, 22, 8402. [Google Scholar] [CrossRef] [PubMed]
- Khan, M.W.A.; Björninen, T.; Sydänheimo, L.; Ukkonen, L. Remotely Powered Piezoresistive Pressure Sensor: Toward Wireless Monitoring of Intracranial Pressure. IEEE Microw. Wirel. Components Lett. 2016, 26, 549–551. [Google Scholar] [CrossRef]
- Schormans, M.; Valente, V.; Demosthenous, A. Practical inductive link design for biomedical wireless power transfer: A tutorial. IEEE Trans. Biomed. Circuits Syst. 2018, 12, 1112–1130. [Google Scholar] [CrossRef] [PubMed]
- Yoo, S.; Lee, J.; Joo, H.; Sunwoo, S.H.; Kim, S.; Kim, D.H. Wireless Power Transfer and Telemetry for Implantable Bioelectronics. Adv. Healthc. Mater. 2021, 10, 2100614. [Google Scholar] [CrossRef] [PubMed]
- Malik, N.A.; Sant, P.; Ajmal, T.; Ur-Rehman, M. Implantable Antennas for Bio-Medical Applications. IEEE J. Electromagn. RF Microw. Med. Biol. 2021, 5, 84–96. [Google Scholar] [CrossRef]
- Farooq, M.; Amin, B.; Elahi, A.; Wijns, W.; Shahzad, A. Planar elliptical inductor design for wireless implantable medical devices. Bioengineering 2023, 10, 151. [Google Scholar] [CrossRef] [PubMed]
- Silva, N.P.; Elahi, A.; O’Halloran, M.; O’Keeffe, D.T.; O’Loughlin, D. Design limitations of using magnetic inductive coupling to verify nasogastric tube placement. In Proceedings of the 2023 17th European Conference on Antennas and Propagation (EuCAP), Florence, Italy, 26–31 March 2023; pp. 1–5. [Google Scholar] [CrossRef]
- Mohanarangam, K.; Palagani, Y.; Cho, K.; Choi, J.R. Inductive power transfer link at 13.56 MHz for leadless cardiac pacemakers. Energies 2021, 14, 5436. [Google Scholar] [CrossRef]
- Silva, N.P.; Amin, B.; Dunne, E.; O’Halloran, M.; Elahi, A. Development and Characterisation of a Stent-Like Z-Shaped Wireless Implantable Sensor for Aneurysm Size Detection. In Proceedings of the 2023 Photonics & Electromagnetics Research Symposium (PIERS), Prague, Czech Republic, 3–6 July 2023; pp. 2149–2155. [Google Scholar] [CrossRef]
- Mahmood, A.I.; Gharghan, S.K.; Eldosoky, M.A.; Soliman, A.M. Near-field wireless power transfer used in biomedical implants: A comprehensive review. IET Power Electron. 2022, 15, 1936–1955. [Google Scholar] [CrossRef]
- Campi, T.; Cruciani, S.; Palandrani, F.; De Santis, V.; Hirata, A.; Feliziani, M. Wireless power transfer charging system for AIMDs and pacemakers. IEEE Trans. Microw. Theory Tech. 2016, 64, 633–642. [Google Scholar] [CrossRef]
- Mutashar, S.; Hannan, M.A.; Samad, S.A.; Hussain, A. Analysis and optimization of spiral circular inductive coupling link for bio-implanted applications on air and within human tissue. Sensors 2014, 14, 11523–11541. [Google Scholar] [CrossRef] [PubMed]
- Hernández-Sebastián, N.; Díaz-Alonso, D.; Renero-Carrillo, F.J.; Villa-Villaseñor, N.; Calleja-Arriaga, W. Design and Simulation of an Integrated Wireless Capacitive Sensors Array for Measuring Ventricular Pressure. Sensors 2018, 18, 2781. [Google Scholar] [CrossRef] [PubMed]
- Gasperini, D.; Costa, F.; Daniel, L.; Manara, G.; Genovesi, S. Matching layer design for far-field and near-field penetration into a multilayered lossy media. IEEE Antennas Propag. Mag. 2022, 64, 86–96. [Google Scholar] [CrossRef]
- Stoeckel, D.; Pelton, A.; Duerig, T. Self-expanding nitinol stents: Material and design considerations. Eur. Radiol. 2003, 14, 292–301. [Google Scholar] [CrossRef] [PubMed]
- Alipour, S.; Taromian, F.; Ghomi, E.R.; Zare, M.; Singh, S.; Ramakrishna, S. Nitinol: From historical milestones to functional properties and biomedical applications. Proc. Inst. Mech. Eng. Part H J. Eng. Med. 2022, 236, 1595–1612. [Google Scholar] [CrossRef] [PubMed]
- Coronel-Meneses, D.; Sánchez-Trasviña, C.; Ratera, I.; Mayolo-Deloisa, K. Strategies for surface coatings of implantable cardiac medical devices. Front. Bioeng. Biotechnol. 2023, 11, 1173260. [Google Scholar] [CrossRef] [PubMed]
- Christ, A.; Kainz, W.; Hahn, E.G.; Honegger, K.; Zefferer, M.; Neufeld, E.; Rascher, W.; Janka, R.; Bautz, W.; Chen, J.; et al. The Virtual Family—development of surface-based anatomical models of two adults and two children for dosimetric simulations. Phys. Med. Biol. 2010, 55, N23–N38. [Google Scholar] [CrossRef] [PubMed]
- Abiri, P.; Abiri, A.; Packard, R.R.S.; Ding, Y.; Yousefi, A.; Ma, J.; Bersohn, M.; Nguyen, K.L.; Markovic, D.; Moloudi, S.; et al. Inductively powered wireless pacing via a miniature pacemaker and remote stimulation control system. Sci. Rep. 2017, 7, 6180. [Google Scholar] [CrossRef] [PubMed]
- Hua, Q.; Rytoft, L.A.; Kroyer, B.K.; Rahbek, O.; Kold, S.V.; Shen, M. Design and In-Vivo Test of Battery-Free Implantable Temperature Sensor Based on Magnetic Resonant Wireless Power Transfer. In Proceedings of the 2022 IEEE Nordic Circuits and Systems Conference (NorCAS), Oslo, Norway, 25–26 October 2022; pp. 1–6. [Google Scholar] [CrossRef]










| Parameter | ||
|---|---|---|
| Outer diameter [mm] | 100 | 75 |
| Inner diameter [mm] | - | 55 |
| Number of turns | - | 5 |
| Width [mm] | - | 1 |
| Spacing between turns [mm] | - | 1 |
| Wire radius [mm] | 0.5 | 0.5 |
| Type of wire | Copper | Copper |
| Inductance measured [nH] | 320 | 3070 |
| Inductance calculated [nH] | 294 | 2950 |
| Error [%] | 9 | 5 |
| Capacitor [pF] | 440 | 47 |
| Frequency [MHz] | 13.4 | 13.2 |
| Parameter | |||
|---|---|---|---|
| Inductance [nH] | 354 | 251 | 299 |
| Diameter [mm] | 90 | 50 | 60 |
| Height [mm] | 10.4 | 22.0 | 20.3 |
| Number of struts | 6 | 6 | 6 |
| Capacitor [pF] | 550 | 550 | 550 |
| Wire radius [mm] | 0.250 | 0.250 | 0.235 |
| Type of wire | Copper | Copper | Nitinol |
| Frequency [MHz] | 11.4 | 13.5 | 12.4 |
| Parameter | Inductive Link | Frequency [MHz] | Distance [mm] | Ref. |
|---|---|---|---|---|
| Cardiac pacemaker | 3-coil | 13.56 | 50 | [32] |
| Cardiac pacemaker | 2-coil | 13.56 | 40 | [43] |
| Implantable sensor | 3-coil | 65 | 30 | [25] |
| Implantable sensor | 2-coil | 0.3 | 10 | [35] |
| Implantable sensor | 2-coil | 13.56 | 10 | [35] |
| Temperature implantable sensor | 3-coil | 0.18 | 50 | [44] |
| Z-shaped implantable sensor | 3-coil | 13.56 | >50 | - |
Disclaimer/Publisher’s Note: The statements, opinions and data contained in all publications are solely those of the individual author(s) and contributor(s) and not of MDPI and/or the editor(s). MDPI and/or the editor(s) disclaim responsibility for any injury to people or property resulting from any ideas, methods, instructions or products referred to in the content. |
© 2024 by the authors. Licensee MDPI, Basel, Switzerland. This article is an open access article distributed under the terms and conditions of the Creative Commons Attribution (CC BY) license (https://creativecommons.org/licenses/by/4.0/).
Share and Cite
Silva, N.P.; Elahi, A.; Dunne, E.; O’Halloran, M.; Amin, B. Design and Characterisation of a Read-Out System for Wireless Monitoring of a Novel Implantable Sensor for Abdominal Aortic Aneurysm Monitoring. Sensors 2024, 24, 3195. https://doi.org/10.3390/s24103195
Silva NP, Elahi A, Dunne E, O’Halloran M, Amin B. Design and Characterisation of a Read-Out System for Wireless Monitoring of a Novel Implantable Sensor for Abdominal Aortic Aneurysm Monitoring. Sensors. 2024; 24(10):3195. https://doi.org/10.3390/s24103195
Chicago/Turabian StyleSilva, Nuno P., Adnan Elahi, Eoghan Dunne, Martin O’Halloran, and Bilal Amin. 2024. "Design and Characterisation of a Read-Out System for Wireless Monitoring of a Novel Implantable Sensor for Abdominal Aortic Aneurysm Monitoring" Sensors 24, no. 10: 3195. https://doi.org/10.3390/s24103195
APA StyleSilva, N. P., Elahi, A., Dunne, E., O’Halloran, M., & Amin, B. (2024). Design and Characterisation of a Read-Out System for Wireless Monitoring of a Novel Implantable Sensor for Abdominal Aortic Aneurysm Monitoring. Sensors, 24(10), 3195. https://doi.org/10.3390/s24103195

