State-of-the-Art Room Temperature Operable Zero-Bias Schottky Diode-Based Terahertz Detector Up to 5.56 THz
Abstract
1. Introduction
2. Zero-Bias Schottky Diode THz Detector
3. Experimental Setups
3.1. Table-Top Experimental Setup
3.2. FELBE Experimental Setup
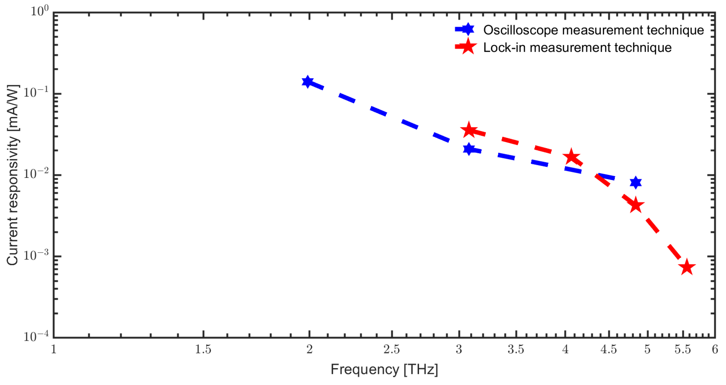
4. Results and Discussion
5. Conclusions
Author Contributions
Funding
Institutional Review Board Statement
Informed Consent Statement
Data Availability Statement
Acknowledgments
Conflicts of Interest
Abbreviations
| CW | Continuous wave |
| EOS | Electro-optical sampling |
| ESD | Electro static discharge |
| HEMT | High electron mobility transistor |
| HZDR | Helmholtz Zentrum Dresden Rossendorf |
| FET | Field effect transistor |
| FEL | Free-Electron Laser |
| IF | Intermediate frequency |
| LNA | Low noise amplifier |
| NEP | Noise equivalent power |
| OF | Optical fiber |
| OR | Optical rectification |
| PM | Parabolic mirror |
| SD | Schottky diode |
| TeraFET | Terahertz field effect transistor |
| THz | Terahertz |
| TIA | Trans-impedance amplifier |
References
- Lee, D.; Cheon, H.; Jeong, S.Y.; Son, J.-H. Transformation of terahertz vibrational modes of cytosine under hydration. Sci. Rep. 2020, 10, 10271. [Google Scholar] [CrossRef]
- Sun, Y.; Lu, X.; Du, P.; Xie, P.; Ullah, R. Terahertz spectroscopy of Bisphenol “A”, “AF”, “S”, “E” and the interrelationship between their molecular vibrations. Spectrochim. Acta Part A Mol. Biomol. Spectrosc. 2019, 209, 70–77. [Google Scholar]
- Takahashi, M. Terahertz Vibrations and Hydrogen-Bonded Networks in Crystals. Crystals 2014, 4, 74–103. [Google Scholar] [CrossRef]
- Xu, Y.; Havenith, M. Perspective: Watching low-frequency vibrations of water in biomolecular recognition by THz spectroscopy. J. Chem. Phys. 2015, 143, 170901. [Google Scholar] [CrossRef] [PubMed]
- Rostami, A.; Rasooli, H.; Baghban, H. Terahertz Technology: Fundamentals and Applications; Springer Science & Business Media: Berlin/Heidelberg, Germany, 2010; Volume 77. [Google Scholar]
- Carpintero, G.; Garcia-Munoz, E.; Hartnagel, H.; Preu, S.; Raisanen, A. Semiconductor Terahertz Technology: Devices and Systems at Room Temperature Operation; John Wiley & Sons Ltd.: Chichester, UK, 2015. [Google Scholar]
- Kürner, T. Towards future THz communications systems. Terahertz Sci. Technol. 2012, 15, 11–17. [Google Scholar]
- Wietzke, S.; Jansen, C.; Jördens, C.; Krumbholz, N.; Vieweg, N.; Scheller, M.; Shakfa, M.K.; Romeike, D.; Hochrein, T.; Mikulics, M.; et al. Industrial applications of THz systems. In Proceedings of the International Symposium on Photoelectronic Detection and Imaging 2009: Terahertz and High Energy Radiation Detection Technologies and Applications, Beijing, China, 17–19 June 2009; SPIE: Bellingham, WA, USA, 2009; Volume 7385, pp. 56–68. [Google Scholar]
- Mathanker, S.K.; Weckler, P.R.; Wang, N. Terahertz (THz) applications in food and agriculture: A review. Trans. ASABE 2013, 56, 1213–1226. [Google Scholar]
- Perenzoni, M.; Paul, D.J. (Eds.) Physics and Applications of Terahertz Radiation; Springer: New York, NY, USA, 2014; Volume 173. [Google Scholar]
- Schulz, S.; Grguraš, I.; Behrens, C.; Bromberger, H.; Costello, J.T.; Czwalinna, M.K.; Cavalieri, A.L. Femtosecond all-optical synchronization of an X-ray free-electron laser. Nat. Commun. 2015, 6, 5938. [Google Scholar] [CrossRef] [PubMed]
- Krauspe, P.; Banerji, N.; Réhault, J. Effective detection of weak terahertz pulses in electro-optic sampling at kilohertz repetition rate. JOSA B 2020, 37, 127–132. [Google Scholar] [CrossRef]
- Lewis, R.A. A review of terahertz detectors. J. Phys. D Appl. Phys. 2019, 52, 433001. [Google Scholar] [CrossRef]
- Parshin, V.V.; Serov, E.A.; Bubnov, G.M.; Vdovin, V.F.; Nikolenko, A.S.; Lesnov, I.V.; Gunbina, A.A.; Smirnov, A.V.; Malginov, V.A.; Dolzhenko, D.E.; et al. Terahertz reflectivity of YBa2Cu3O7-δ at cryogenic temperatures. IEEE Trans. Appl. Supercond. 2020, 30, 9001705. [Google Scholar] [CrossRef]
- Simoens, F. THz bolometer detectors. In Physics and Applications of Terahertz Radiation; Springer: Dordrecht, The Netherlands, 2014; pp. 35–75. [Google Scholar]
- Semenov, A.D.; Hubers, H.; Il’in, K.S.; Siegel, M.; Judin, V.; Muller, A. Monitoring coherent THz-synchrotron radiation with superconducting NbN hot-electron detector. In Proceedings of the 34th International Conference on Infrared, Millimeter, and Terahertz Waves, Busan, South Korea, 21–25 September 2009; pp. 1–2. [Google Scholar]
- Regensburger, S.; Mukherjee, A.K.; Schönhuber, S.; Kainz, M.A.; Winnerl, S.; Klopf, J.M.; Lu, H.; Gossard, A.C.; Unterrainer, K.; Preu, S. Broadband Terahertz Detection With Zero-Bias Field-Effect Transistors Between 100 GHz and 11.8 THz With a Noise Equivalent Power of 250 pW/Hz at 0.6 THz. IEEE Trans. Terahertz Sci. Technol. 2018, 8, 465–471. [Google Scholar] [CrossRef]
- Regensburger, S.; Winnerl, S.; Klopf, J.M.; Lu, H.; Gossard, A.C.; Preu, S. Picosecond-Scale Terahertz Pulse Characterization with Field-Effect Transistors. IEEE Trans. Terahertz Sci. Technol. 2019, 9, 262–271. [Google Scholar] [CrossRef]
- Preu, S.; Mittendorff, M.; Winnerl, S.; Cojocari, O.; Penirschke, A. THz Autocorrelators for ps Pulse Characterization Based on Schottky Diodes and Rectifying Field-Effect Transistors. IEEE Trans. Terahertz Sci. Technol. 2015, 5, 922–929. [Google Scholar] [CrossRef]
- Penirschke, A.; Soboryntskyy, M.; Preu, S.; Mittendorff, M.; Winnerl, S.; Hoefle, M.; Cojocari, O.; Jakoby, R. Compact quasi-optical Schottky detector with fast voltage response. In Proceedings of the 2014 39th International Conference on Infrared, Millimeter, and Terahertz Waves (IRMMW-THz), Tucson, AZ, USA, 14–19 September 2014; pp. 1–2. [Google Scholar]
- Schiselski, M.; Laabs, M.; Neumann, N.; Kovalev, S.; Green, B.; Gensch, M.; Plettemeier, D. A planar Schottky diode based integrated THz detector for fast electron pulse diagnostics. In Proceedings of the 2016 IEEE MTT-S International Microwave Symposium (IMS), San Francisco, CA, USA, 22–27 May 2016. [Google Scholar]
- Semenov, A.D.; Hübers, H.-W.; Pohl, A.; Cojocari, O.; Sobornytskyy, M.; Hoehl, A.; Müller, R.; Ries, M.; Wüstefeld, G. Schottky Diode Detectors for Monitoring Coherent THz Synchrotron Radiation Pulses. In Proceedings of the 5th International Particle Accelerator Conference (IPAC’14), Dresden, Germany, 15–20 June 2014; pp. 3465–3467. [Google Scholar]
- Cojocari, O.; Sydlo, C.; Hartnagel, H.-L.; Biber, S.; Schur, J.; Schmidt, L.-P. Schottky-structures for THz-application based on quasi-vertical design-concept. In Proceedings of the 16th International Symposium on Space Terahertz Technology, Goteborg, Sweden, 2–4 May 2005. [Google Scholar]
- Jaeschke, E.J.; Khan, S.; Schneider, J.R.; Hastings, J.B. Synchrotron Light Sources and Free-Electron Lasers: Accelerator Physics, Instrumentation and Science Applications, 2nd ed.; Springer International Publishing: Cham, Switzerland, 2020. [Google Scholar]
- Steinmann, J.L. Diagnostics of Short Electron Bunches with THz Detectors in Particle Accelerators; KIT Scientific Publishing: Karlsruhe, Germany, 2019. [Google Scholar]
- Helm, M.; Winnerl, S.; Pashkin, A.; Klopf, J.M.; Deinert, J.-C.; Kovalev, S.; Evtushenko, P.; Lehnert, U.; Xiang, R.; Arnold, A.; et al. The ELBE infrared and THz facility at Helmholtz-Zentrum Dresden-Rossendorf. Eur. Phys. J. Plus 2023, 138, 158. [Google Scholar] [CrossRef]
- Snyder, J.; Ji, L.L.; George, K.M.; Willis, C.; Cochran, G.E.; Daskalova, R.L.; Handler, A.; Rubin, T.; Poole, P.L.; Nasir, D.; et al. Relativistic laser driven electron accelerator using micro-channel plasma targets. Phys. Plasmas 2019, 26, 033110. [Google Scholar] [CrossRef]
- Di Mitri, S.; Perucchi, A.; Adhlakha, N.; Di Pietro, P.; Nicastro, S.; Roussel, E.; Spampinati, S.; Veronese, M.; Allaria, E.; Badano, L.; et al. Coherent THz Emission Enhanced by Coherent Synchrotron Radiation Wakefield. Sci. Rep. 2018, 8, 11661. [Google Scholar] [CrossRef]
- Paoloni, C.; Gamzina, D.; Himes, L.; Popovic, B.; Barchfeld, R.; Yue, L.; Zheng, Y.; Tang, X.; Tang, Y.; Pan, P.; et al. THz Backward-Wave Oscillators for Plasma Diagnostic in Nuclear Fusion. IEEE Trans. Plasma Sci. 2016, 44, 369–376. [Google Scholar] [CrossRef]
- Bunea, A.C.; Neculoiu, D.; Stavrinidis, A.; Stavrinidis, G.; Kostopoulos, A.; Chatzopoulos, Z.; Konstantinidis, G. Monolithic integrated antenna and Schottky diode multiplier for free space millimeter-wave power generation. IEEE Microw. Wirel. Components Lett. 2020, 30, 74–77. [Google Scholar] [CrossRef]
- Carr, G.; Martin, M.; McKinney, W.; Jordan, K.; Neil, G.R.; Williams, G.P. High-power terahertz radiation from relativistic electrons. Nature 2002, 420, 153–156. [Google Scholar] [CrossRef] [PubMed]
- Berden, G.; Jamison, S.P.; MacLeod, A.M.; Gillespie, W.A.; Redlich, B.; Van der Meer, A.F.G. Electro-optic technique with improved time resolution for real-time, nondestructive, single-shot measurements of femtosecond electron bunch profiles. Phys. Rev. Lett. 2004, 93, 114802. [Google Scholar] [CrossRef] [PubMed]
- Yu, A.Y.C. The metal-semiconductor contact: An old device with a new future. IEEE Spectrum 1970, 7, 83–89. [Google Scholar] [CrossRef]
- Mehdi, I.; Siles, J.V.; Lee, C.; Schlecht, E. THz Diode Technology: Status, Prospects, and Applications. Proc. IEEE 2017, 105, 990–1007. [Google Scholar] [CrossRef]
- Balanis, C.A. Antenna Theory: Analysis and Design; John Wiley & Sons: Hoboken, NJ, USA, 2015. [Google Scholar]
- Regensburger, S. Large-Area and Lumped Element Field-Effect Transistors for Picosecond-Scale Detection in the Terahertz Band and Beyond; Technische Universität Darmstadt: Darmstadt, Germany, 2019. [Google Scholar]
- Ferreras, M.; Čibiraitė-Lukenskienė, D.; Lisauskas, A.; Grajal, J.; Krozer, V. Broadband sensing around 1 THz via a novel biquad-antenna-coupled low-NEP detector in CMOS. IEEE Trans. Terahertz Sci. Technol. 2020, 11, 16–27. [Google Scholar] [CrossRef]
- Kohlhaas, R.B.; Breuer, S.; Mutschall, S.; Kehrt, M.; Nellen, S.; Liebermeister, L.; Schell, M.; Globisch, B. Ultrabroadband terahertz time-domain spectroscopy using III–V photoconductive membranes on silicon. Opt. Express 2022, 30, 23896–23908. [Google Scholar] [CrossRef]
- Andree, M.; Grzyb, J.; Jain, R.; Heinemann, B.; Pfeiffer, U.R. A broadband dual-polarized terahertz direct detector in a 0.13-µm SiGe HBT technology. In Proceedings of the 2019 IEEE MTT-S International Microwave Symposium (IMS), Boston, MA, USA, 2–7 June 2019; pp. 500–503. [Google Scholar]
- Kuznetsov, S.A.; Paulish, A.G.; Navarro-Cía, M.; Arzhannikov, A.V. Selective pyroelectric detection of millimetre waves using ultra-thin metasurface absorbers. Sci. Rep. 2016, 6, 21079. [Google Scholar] [CrossRef] [PubMed]
- Tydex. Available online: http://www.tydex.ru/ (accessed on 8 March 2023).
- Martín-Mateos, P.; Čibiraitė-Lukenskienė, D.; Barreiro, R.; de Dios, C.; Lisauskas, A.; Krozer, V.; Acedo, P. Hyperspectral terahertz imaging with electro-optic dual combs and a FET-based detector. Sci. Rep. 2020, 10, 14429. [Google Scholar] [CrossRef]
- Bauer, M.; Rämer, A.; Chevtchenko, S.A.; Osipov, K.Y.; Čibiraitė, D.; Pralgauskaitė, S.; Roskos, H.G. A high-sensitivity AlGaN/GaN HEMT terahertz detector with integrated broadband bow-tie antenna. IEEE Trans. Terahertz Sci. Technol. 2019, 9, 430–444. [Google Scholar] [CrossRef]
- Generalov, A.A.; Andersson, M.A.; Yang, X.; Vorobiev, A.; Stake, J. A 400-GHz graphene FET detector. IEEE Trans. Terahertz Sci. Technol. 2017, 7, 614–616. [Google Scholar] [CrossRef]
- Virginia Diodes. Available online: https://www.vadiodes.com/en/products-6/detectors (accessed on 8 March 2023).









| Detector | NEP (pW/) | Responsivity (V/W) | Operational Frequency (THz) | References |
|---|---|---|---|---|
| Pyroelectric | 2000 | 56,000 | 0.14 | [40] |
| Golay cell | 140 | 100,000 | - | [41] |
| SiCMOS TeraFET | 20.8 | 54,000 | 0.25 | [42] |
| GaAs TeraFET | 250 | - | 0.6 | [17] |
| GaN TeraFET | 25.4 | - | 0.5 | [43] |
| Graphene TeraFET | 130 | 74 | 0.4 | [44] |
| Schottky barrier diode | 11.6 | 700 | 0.4–0.6 | [45] |
| Zero-bias Schottky diode | 10 | 500,000 | 0.2–0.6 | This work |
Disclaimer/Publisher’s Note: The statements, opinions and data contained in all publications are solely those of the individual author(s) and contributor(s) and not of MDPI and/or the editor(s). MDPI and/or the editor(s) disclaim responsibility for any injury to people or property resulting from any ideas, methods, instructions or products referred to in the content. |
© 2023 by the authors. Licensee MDPI, Basel, Switzerland. This article is an open access article distributed under the terms and conditions of the Creative Commons Attribution (CC BY) license (https://creativecommons.org/licenses/by/4.0/).
Share and Cite
Yadav, R.; Ludwig, F.; Faridi, F.R.; Klopf, J.M.; Roskos, H.G.; Preu, S.; Penirschke, A. State-of-the-Art Room Temperature Operable Zero-Bias Schottky Diode-Based Terahertz Detector Up to 5.56 THz. Sensors 2023, 23, 3469. https://doi.org/10.3390/s23073469
Yadav R, Ludwig F, Faridi FR, Klopf JM, Roskos HG, Preu S, Penirschke A. State-of-the-Art Room Temperature Operable Zero-Bias Schottky Diode-Based Terahertz Detector Up to 5.56 THz. Sensors. 2023; 23(7):3469. https://doi.org/10.3390/s23073469
Chicago/Turabian StyleYadav, Rahul, Florian Ludwig, Fahd Rushd Faridi, J. Michael Klopf, Hartmut G. Roskos, Sascha Preu, and Andreas Penirschke. 2023. "State-of-the-Art Room Temperature Operable Zero-Bias Schottky Diode-Based Terahertz Detector Up to 5.56 THz" Sensors 23, no. 7: 3469. https://doi.org/10.3390/s23073469
APA StyleYadav, R., Ludwig, F., Faridi, F. R., Klopf, J. M., Roskos, H. G., Preu, S., & Penirschke, A. (2023). State-of-the-Art Room Temperature Operable Zero-Bias Schottky Diode-Based Terahertz Detector Up to 5.56 THz. Sensors, 23(7), 3469. https://doi.org/10.3390/s23073469

