A Tuned Microwave Resonant System for Subcutaneous Imaging
Abstract
1. Introduction
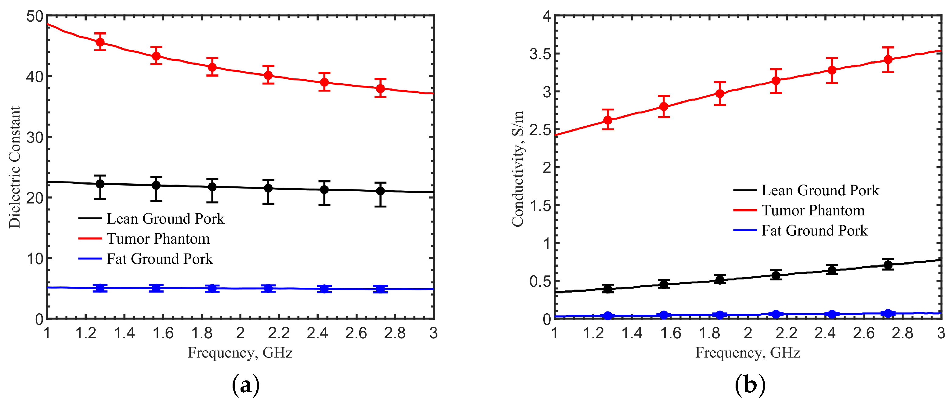
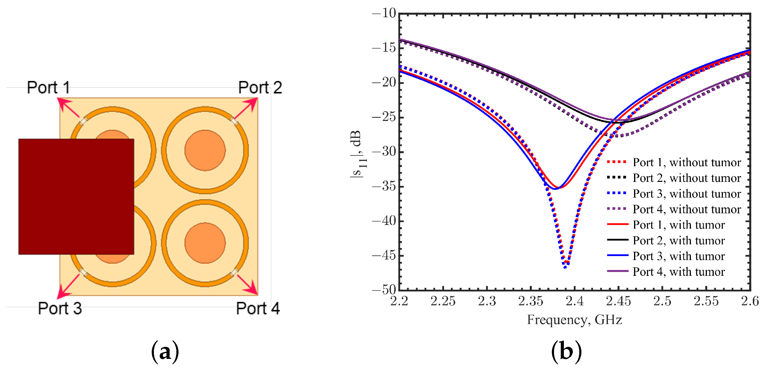
2. Sensor Design and Simulations
3. Tumor Localization and Imaging
3.1. Raster Scan
3.2. Weighted Image Synthesis
4. Measurements
5. Phased Array Loops
5.1. Design and Validation
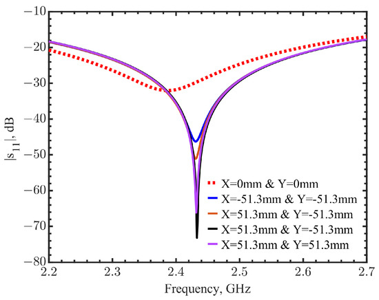
5.2. Radiation Direction Steering
6. Discussion
7. Conclusions
Author Contributions
Funding
Institutional Review Board Statement
Informed Consent Statement
Data Availability Statement
Acknowledgments
Conflicts of Interest
References
- Tricoles, G.; Farhat, N.H. Microwave holography: Applications and techniques. Proc. IEEE 1977, 65, 108–121. [Google Scholar] [CrossRef]
- Deng, Y.; Liu, X. Electromagnetic Imaging Methods for Nondestructive Evaluation Applications. Sensors 2011, 11, 11774–11808. [Google Scholar] [CrossRef] [PubMed]
- Deng, Y. Forward and Inverse Problems in Noninvasive Imaging Techniques. Ph.D. Thesis, Michigan State University, East Lansing, MI, USA, 2009. [Google Scholar]
- Chiao, J.C.; Bing, S.; Chawang, K. Review on Noninvasive Radio-Frequency Sensing for Closed-Loop Body Health Management. In Proceedings of the 2021 IEEE International Symposium on Radio-Frequency Integration Technology (RFIT), Hualien, Taiwan, 25–27 August 2021; IEEE: Piscataway, NJ, USA, 2021; pp. 1–3. [Google Scholar]
- Säbel, M.; Aichinger, H. Recent developments in breast imaging. Phys. Med. Biol. 1996, 41, 315–368. [Google Scholar] [CrossRef] [PubMed]
- Fear, E.C. Microwave Imaging of the Breast. Technol. Cancer Res. Treat. 2005, 4, 69–82. [Google Scholar] [CrossRef]
- Huynh, P.T.; Jarolimek, A.M.; Daye, S. The false-negative mammogram. Radiographics 1998, 18, 1137–1154. [Google Scholar] [CrossRef]
- Fletcher, S.W.; Elmore, J.G. Mammographic Screening for Breast Cancer. N. Engl. J. Med. 2003, 348, 1672–1680. [Google Scholar] [CrossRef]
- Hagness, S.C.; Taflove, A.; Bridges, J.E. Two-dimensional FDTD analysis of a pulsed microwave confocal system for breast cancer detection: Fixed-focus and antenna-array sensors. IEEE Trans. Biomed. Eng. 1998, 45, 1470–1479. [Google Scholar] [CrossRef]
- Chiao, J.C.; Li, C.; Lin, J.; Caverly, R.H.; Hwang, J.C.M.; Rosen, H.; Rosen, A. Applications of Microwaves in Medicine. IEEE J. Microw. 2023, 3, 134–169. [Google Scholar] [CrossRef]
- Walter, F.; Webster, A.; Scott, S.; Emery, J. The Andersen Model of Total Patient Delay: A systematic review of its application in cancer diagnosis. J. Health Serv. Res. Policy 2012, 17, 110–118. [Google Scholar] [CrossRef]
- Choi, J.W.; Cho, J.; Lee, Y.; Yim, J.; Kang, B.; Oh, K.K.; Jung, W.H.; Kim, H.J.; Cheon, C.; Lee, H.D.; et al. Microwave Detection of Metastasized Breast Cancer Cells in the Lymph Node; Potential Application for Sentinel Lymphadenectomy. Breast Cancer Res. Treat. 2004, 86, 107–115. [Google Scholar] [CrossRef]
- Arab, H.; Chioukh, L.; Ardakani, M.D.; Dufour, S.; Tatu, S.O. Early-Stage Detection of Melanoma Skin Cancer Using Contactless Millimeter-Wave Sensors. IEEE Sens. J. 2020, 20, 7310–7317. [Google Scholar] [CrossRef]
- Lazebnik, M.; Madsen, E.L.; Frank, G.R.; Hagness, S.C. Tissue-mimicking phantom materials for narrowband and ultrawideband microwave applications. Phys. Med. Biol. 2005, 50, 4245–4258. [Google Scholar] [CrossRef] [PubMed]
- Pollacco, D.A.; Farrugia, L.; Conti, M.C.; Farina, L.; Wismayer, P.S.; Sammut, C.V. Characterization of the dielectric properties of biological tissues using mixture equations and correlations to different states of hydration. Biomed. Phys. Eng. Express 2019, 5, 35022. [Google Scholar] [CrossRef]
- Gabriel, S.; Lau, R.W.; Gabriel, C. The dielectric properties of biological tissues: II. Measurements in the frequency range 10 Hz to 20 GHz. Phys. Med. Biol. 1996, 41, 2251–2269. [Google Scholar] [CrossRef] [PubMed]
- Mirbeik-Sabzevari, A.; Ashinoff, R.; Tavassolian, N. Ultra-Wideband Millimeter-Wave Dielectric Characteristics of Freshly Excised Normal and Malignant Human Skin Tissues. IEEE Trans. Biomed. Eng. 2018, 65, 1320–1329. [Google Scholar] [CrossRef]
- Gniadecka, M.; Nielsen, O.F.; Wulf, H.C. Water content and structure in malignant and benign skin tumours. J. Mol. Struct. 2003, 661, 405–410. [Google Scholar] [CrossRef]
- Mayrovitz, H.N.; Gildenberg, S.R.; Spagna, P.; Killpack, L.; Altman, D.A. Characterizing the tissue dielectric constant of skin basal cell cancer lesions. Ski. Res. Technol. 2018, 24, 686–691. [Google Scholar] [CrossRef] [PubMed]
- Pastorino, M. Microwave Imaging; Wiley: Hoboken, NJ, USA, 2010. [Google Scholar]
- Kwon, S.; Lee, S. Recent Advances in Microwave Imaging for Breast Cancer Detection. Int. J. Biomed. Imaging 2016, 2016, 5054912–5054926. [Google Scholar] [CrossRef]
- Hassan, A.M.; El-Shenawee, M. Review of Electromagnetic Techniques for Breast Cancer Detection. IEEE Rev. Biomed. Eng. 2011, 4, 103–118. [Google Scholar] [CrossRef]
- Meaney, P.M.; Paulsen, K.D.; Hartov, A.; Crane, R.K. Microwave imaging for tissue assessment: Initial evaluation in multitarget tissue-equivalent phantoms. IEEE Trans. Biomed. Eng. 1996, 43, 878–890. [Google Scholar] [CrossRef]
- Meaney, P.M.; Paulsen, K.D.; Hartov, A.; Crane, R.K. An active microwave imaging system for reconstruction of 2-D electrical property distributions. IEEE Trans. Biomed. Eng. 1995, 42, 1017–1026. [Google Scholar] [CrossRef]
- Klemm, M.; Craddock, I.J.; Leendertz, J.A.; Preece, A.; Benjamin, R. Radar-Based Breast Cancer Detection Using a Hemispherical Antenna Array-Experimental Results. IEEE Trans. Antennas Propag. 2009, 57, 1692–1704. [Google Scholar] [CrossRef]
- Li, X.; Bond, E.J.; Veen, B.D.V.; Hagness, S.C. An overview of ultra-wideband microwave imaging via space-time beamforming for early-stage breast-cancer detection. IEEE Antennas Propag. Mag. 2005, 47, 19–34. [Google Scholar]
- Guo, B.; Wang, Y.; Li, J.; Stoica, P.; Wu, R. Microwave Imaging Via Adaptive Beamforming Methods for Breast Cancer Detection. J. Electromagn. Waves Appl. 2006, 20, 53–63. [Google Scholar] [CrossRef]
- Xie, Y.; Guo, B.; Xu, L.; Li, J.; Stoica, P. Multistatic Adaptive Microwave Imaging for Early Breast Cancer Detection. IEEE Trans. Biomed. Eng. 2006, 53, 1647–1657. [Google Scholar] [CrossRef] [PubMed]
- Davis, S.K.; Tandradinata, H.; Hagness, S.C.; Veen, B.D.V. Ultrawideband microwave breast cancer detection: A detection-theoretic approach using the generalized likelihood ratio test. IEEE Trans. Biomed. Eng. 2005, 52, 1237–1250. [Google Scholar] [CrossRef] [PubMed]
- Lin, J.C. Microwave Thermoelastic Tomography and Imaging; Advances in Electromagnetic Fields in Living Systems; Springer: Boston, MA, USA, 2005; pp. 41–76. [Google Scholar]
- Lin, J.C. Microwave thermoacoustic tomographic (MTT) imaging. Phys. Med. Biol. 2021, 66, 10. [Google Scholar] [CrossRef]
- Cui, Y.; Yuan, C.; Ji, Z. A review of microwave-induced thermoacoustic imaging: Excitation source, data acquisition system and biomedical applications. J. Innov. Opt. Health Sci. 2017, 10, 1730007. [Google Scholar] [CrossRef]
- Zhao, S.; Wang, H.; Li, Y.; Nie, L.; Zhang, S.; Xing, D.; Qin, H. Ultrashort-Pulse-Microwave Excited Whole-Breast Thermoacoustic Imaging With Uniform Field of Large Size Aperture Antenna for Tumor Screening. IEEE Trans. Biomed. Eng. 2022, 69, 725–733. [Google Scholar] [CrossRef]
- Bing, S.; Chawang, K.; Chiao, J.C. A Self-Tuned Method for Impedance-Matching of Planar-Loop Resonators in Conformable Wearables. Electronics 2022, 11, 2784. [Google Scholar] [CrossRef]
- Wei, J. Distributed capacitance of planar electrodes in optic and acoustic surface wave devices. IEEE J. Quantum Electron. 1977, 13, 152–158. [Google Scholar] [CrossRef]
- Maradei, F.; Caniggia, S. Appendix A: Formulae for Partial Inductance Calculation; Signal Integrity and Radiated Emission of High-Speed Digital Systems; John Wiley & Sons, Ltd.: Chichester, UK, 2008; pp. 481–486. [Google Scholar]
- Bing, S.; Chawang, K.; Chiao, J.C. A Flexible Tuned Radio-Frequency Planar Resonant Loop for Noninvasive Hydration Sensing. IEEE J. Microwaves 2022, 3, 181–192. [Google Scholar] [CrossRef]
- Bing, S.; Chawang, K.; Chiao, J.C. A Radio-Frequency Planar Resonant Loop for Noninvasive Monitoring of Water Content. In Proceedings of the 2022 IEEE Sensors, Dallas, TX, USA, 30 October–2 November 2022; IEEE: Piscataway, NJ, USA, 2022; pp. 1–4. [Google Scholar]
- Bing, S.; Chawang, K.; Chiao, J.C. A Resonant Coupler for Subcutaneous Implant. Sensors 2021, 21, 8141. [Google Scholar] [CrossRef] [PubMed]
- Bing, S.; Chawang, K.; Chiao, J.C. Resonant Coupler Designs for Subcutaneous Implants. In Proceedings of the 2021 IEEE Wireless Power Transfer Conference (WPTC), San Diego, CA, USA, 1–4 June 2021; pp. 1–4. [Google Scholar]
- Siegel, R.L.; Miller, K.D.; Fuchs, H.E.; Jemal, A. Cancer statistics, 2022. CA Cancer J. Clin. 2022, 72, 7–33. [Google Scholar] [CrossRef] [PubMed]
- Kothari, C.; Diorio, C.; Durocher, F. The Importance of Breast Adipose Tissue in Breast Cancer. Int. J. Mol. Sci. 2020, 21, 5760. [Google Scholar] [CrossRef]
- Sugitani, T.; Kubota, S.-i.; Kuroki, S.-i.; Sogo, K.; Arihiro, K.; Okada, M.; Kadoya, T.; Hide, M.; Oda, M.; Kikkawa, T. Complex permittivities of breast tumor tissues obtained from cancer surgeries. Appl. Phys. Lett. 2014, 104, 253702. [Google Scholar] [CrossRef]
- Lazebnik, M.; McCartney, L.; Popovic, D.; Watkins, C.B.; Lindstrom, M.J.; Harter, J.; Sewall, S.; Magliocco, A.; Booske, J.H.; Okoniewski, M.; et al. A large-scale study of the ultrawideband microwave dielectric properties of normal breast tissue obtained from reduction surgeries. Phys. Med. Biol. 2007, 52, 2637–2656. [Google Scholar] [CrossRef]
- Porter, E.; Fakhoury, J.; Oprisor, R.; Coates, M.; Popović, M. Improved tissue phantoms for experimental validation of microwave breast cancer detection. In Proceedings of the Fourth European Conference on Antennas and Propagation, Barcelona, Spain, 12–16 April 2010; IEEE: Piscataway, NJ, USA, 2010; pp. 1–5. [Google Scholar]
- Fear, E.C.; Hagness, S.C.; Meaney, P.M.; Okoniewski, M.; Stuchly, M.A. Enhancing breast tumor detection with near-field imaging. IEEE Microw. Mag. 2002, 3, 48–56. [Google Scholar] [CrossRef]
- Cheng, Y.; Fu, M. Dielectric properties for non-invasive detection of normal, benign, and malignant breast tissues using microwave theories. Thorac. Cancer 2018, 9, 459–465. [Google Scholar] [CrossRef]
- Kuwahara, Y.; Nozaki, A.; Fujii, K. Large Scale Analysis of Complex Permittivity of Breast Cancer in Microwave Band. Adv. Breast Cancer Res. 2020, 9, 101–109. [Google Scholar] [CrossRef]
- Andreuccetti, D.; Fossi, R.; Petrucci, C. An Internet Resource for the Calculation of the Dielectric Properties of Body Tissues in the Frequency Range 10 Hz–100 GHz. 1997. Available online: http://niremf.ifac.cnr.it/tissprop/ (accessed on 19 November 2022). IFAC-CNR, Florence (Italy), Based on data published by C.Gabriel et al. in 1996.
- Hagl, D.M.; Popovic, D.; Hagness, S.C.; Booske, J.H.; Okoniewski, M. Sensing volume of open-ended coaxial probes for dielectric characterization of breast tissue at microwave frequencies. IEEE Trans. Microw. Theory Tech. 2003, 51, 1194–1206. [Google Scholar] [CrossRef]
- Gray, H. (Ed.) Anatomy of the Human Body, 25th ed.; Lea & Febiger: Philadelphia, PA, USA, 1949. [Google Scholar]
- Rosenstein, M.; Andersen, L.W.; Warner, G. Handbook of Glandular Tissue Doses in Mammography; Food and Drug Administration: Rockville, MD, USA, 1985.
- Wu, X.; Barnes, G.T.; Tucker, D.M. Spectral dependence of glandular tissue dose in screen-film mammography. Radiology 1991, 179, 143–148. [Google Scholar] [CrossRef] [PubMed]
- Parsons, W.H. Cancer of the Breast; Thomas: Springfield, IL, USA, 1959. [Google Scholar]
- Curlander, J.C.; MacDonough, R.N. Synthetic Aperture Radar; Wiley: New York, NY, USA, 1991. [Google Scholar]
- Boyd, N.F.; Martin, L.J.; Bronskill, M.; Yaffe, M.J.; Duric, N.; Minkin, S. Breast tissue composition and susceptibility to breast cancer. J. Natl. Cancer Inst. 2010, 102, 1224–1237. [Google Scholar] [CrossRef] [PubMed]
- Porembka, J.H.; Ma, J.; Le-Petross, H.T. Breast density, MR imaging biomarkers, and breast cancer risk. Breast J. 2020, 26, 1535–1542. [Google Scholar] [CrossRef]
























Disclaimer/Publisher’s Note: The statements, opinions and data contained in all publications are solely those of the individual author(s) and contributor(s) and not of MDPI and/or the editor(s). MDPI and/or the editor(s) disclaim responsibility for any injury to people or property resulting from any ideas, methods, instructions or products referred to in the content. |
© 2023 by the authors. Licensee MDPI, Basel, Switzerland. This article is an open access article distributed under the terms and conditions of the Creative Commons Attribution (CC BY) license (https://creativecommons.org/licenses/by/4.0/).
Share and Cite
Bing, S.; Chawang, K.; Chiao, J.-C. A Tuned Microwave Resonant System for Subcutaneous Imaging. Sensors 2023, 23, 3090. https://doi.org/10.3390/s23063090
Bing S, Chawang K, Chiao J-C. A Tuned Microwave Resonant System for Subcutaneous Imaging. Sensors. 2023; 23(6):3090. https://doi.org/10.3390/s23063090
Chicago/Turabian StyleBing, Sen, Khengdauliu Chawang, and Jung-Chih Chiao. 2023. "A Tuned Microwave Resonant System for Subcutaneous Imaging" Sensors 23, no. 6: 3090. https://doi.org/10.3390/s23063090
APA StyleBing, S., Chawang, K., & Chiao, J.-C. (2023). A Tuned Microwave Resonant System for Subcutaneous Imaging. Sensors, 23(6), 3090. https://doi.org/10.3390/s23063090

