Design and Performance Verification of a Novel RCM Mechanism for a Minimally Invasive Surgical Robot
Abstract
:1. Introduction
2. Mechanism Design
2.1. Conceptualization
2.2. Mathematical Proof
2.3. Singularity and Kinematic Performance Analysis
2.4. Kinematic Performance Analysis
3. Kinematic Analysis
3.1. Forward Kinematics Analysis
3.2. Analysis of the Motion Space of the Manipulator
3.3. Inverse Kinematics Analysis
4. Prototyping
4.1. Master–Slave Control
4.2. Master–Slave Control Experiment
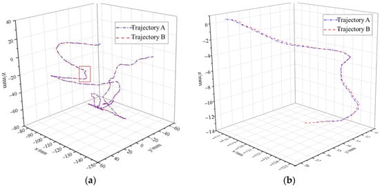
4.2.1. Trajectory Tracking Experiment
4.2.2. Minimally Invasive Surgical Operation Simulation Experiment
5. Conclusions
Author Contributions
Funding
Institutional Review Board Statement
Informed Consent Statement
Conflicts of Interest
References
- Taylor, R.H.; Funda, J.; Eldridge, B.; Gomory, S.; Gruben, K.; LaRose, D.; Talamini, M.; Kavoussi, L.; Anderson, J. A telerobotic assistant for laparoscopic surgery. Eng. Med. Biol. Mag. 1995, 14, 279–288. [Google Scholar] [CrossRef]
- Taylor, R.H.; Funda, J.; LaRose, D.; Treat, M. A Telerobotic System for Augmentation of Endoscopic Surgery. In Proceedings of the IEEE International Conference of the IEEE Engineering in Medicine & Biology Society, Paris, France, 29 October–1 November 1992; pp. 1054–1056. [Google Scholar]
- Huang, L.; Yin, L.; Liu, B.; Yang, Y. Design and Error Evaluation of Planar 2DOF Remote Center of Motion Mechanisms with Cable Transmissions. ASME J. Mech. Des. 2021, 143, 013301. [Google Scholar] [CrossRef]
- Mitsuishi, M.; Sugita, N.; Baba, S.; Takahashi, H.; Morita, A.; Sora, S.; Mochizuki, R. A Neurosurgical Robot for the Deep Surgical Field Characterized by an Offset-Type Forceps and Natural Input Capability. In Proceedings of the 39th International Symposium on Robotics, Seoul, Republic of Korea, 15–17 October 2008; pp. 915–920. [Google Scholar]
- Yousef, B.F.; Aiash, F. A Mechanism for Surgical Tool Manipulation. In Proceedings of the 9th Control Conference (ASCC), Istanbul, Turkey, 23–26 June 2013; pp. 1–5. [Google Scholar]
- Peter, B.; Ji, M. A compact modular teleoperated robotic system for laparoscopic surgery. Int. J. Robot. Res. 2009, 28, 1198–1215. [Google Scholar]
- Lum, M.J.; Rosen, J.; Sinanan, M.N.; Hannaford, B. Optimization of a spherical mechanism for a minimally invasive surgical robot: Theoretical and experimental approaches. IEEE Trans. Biomed. Eng. 2006, 53, 1440–1445. [Google Scholar] [CrossRef] [PubMed]
- Li, Y.; Hannaford, B.; Rosen, J. Raven: Open surgical robotic platforms. Acta Polytech. Hung. 2019, 14, 151–169. [Google Scholar]
- Haber, G.-P.; White, M.A.; Autorino, R.; Escobar, P.F.; Kroh, M.D.; Chalikonda, S.; Khanna, R.; Forest, S.; Yang, B.; Altunrende, F.; et al. Novel robotic Da Vinci instruments for laparoendoscopic single-site surgery. Urology 2010, 76, 1279–1282. [Google Scholar] [CrossRef] [PubMed]
- Tan, K.; Shi, H.; Wang, Y.; Yang, L. Design and Kinematics Analysis of Parallel Robotic Arm for Urologicalsurgery. In Proceedings of the 2019 International Conference on Mechatronics, Robotics and Systems Engineering, Bali, Indonesia, 4–6 December 2019; pp. 253–258. [Google Scholar]
- Kong, K.; Li, J.; Zhang, H.; Li, J.; Wang, S. Kinematic design of a generalized double parallelogram based remote center-of-motion mechanism for minimally invasive surgical robot. J. Med. Devices 2016, 10, 041006. [Google Scholar] [CrossRef]
- Lianjie, G.U.O.; Hu, S.H.I.; Xuesong, M.E.I. Implementation of fixed point of minimally invasive surgical robot: A survey. J. Adv. Manuf. Sci. Technol. 2021, 1, 2020003. [Google Scholar]
- Liu, S.T.; Harewood, L.; Chen, B.; Chen, C. A skeletal prototype of surgical arm based on dual-triangular mechanism. J. Mech. Robot. Trans. ASME 2016, 8, 041015. [Google Scholar] [CrossRef]
- Pond, G.; Carretero, J.A. Formulating Jacobian matrices for the dexterity analysis of parallel manipulators. Mech. Mach. Theory 2006, 41, 1505–1519. [Google Scholar] [CrossRef]
- Gosselin, C.; Angeles, J. A global performance index for the kinematic optimization of robotic manipulators. ASME J. Mech. Des. 1991, 113, 220–226. [Google Scholar] [CrossRef]
- Kwartowitz, D.M.; Herrell, S.D.; Galloway, R.L. Toward image-guided robotic surgery: Determining intrinsic accuracy of the da Vinci robot. Int. J. Comput. Assist. Radiol. Surg. 2006, 1, 157–165. [Google Scholar] [CrossRef]
- Marescaux, J.; Leroy, J.; Gagner, M.; Rubino, F.; Mutter, D.; Vix, M.; Butner, S.E.; Smith, M.K. Transatlantic robot-assisted telesurgery. Nature 2001, 413, 379–380. [Google Scholar] [CrossRef] [PubMed]




















| Parameter | A1C = a | A1A2 = b | A1E = c |
|---|---|---|---|
| Length (mm) | 120 mm | 260 mm | 250 mm |
| Active Joint Variables | Revolute Joint θ1 | Mobile Joint Ⅰ d1 | Mobile Joint Ⅱ d2 |
|---|---|---|---|
| Range of motion | −38–38° | 22–215 mm | 35–200 mm |
| # | Joint Angle θ | Joint Offset d | Linkage Length a | Linkage Torsion Angle α |
|---|---|---|---|---|
| 0-1 | θ1 | L | 0 | −90° |
| 1-2 | −90° + θ2 | 0 | 0 | 90° |
| 2-H | 0 | d | 0 | 0 |
| X Direction | Y Direction | Z Direction | 3D Space | |
|---|---|---|---|---|
| Maximum Error (mm) | −1.27 | −1.00 | 1.13 | 1.49 |
| Average Error (mm) | 0.25 | 0.24 | 0.17 | 0.45 |
Disclaimer/Publisher’s Note: The statements, opinions and data contained in all publications are solely those of the individual author(s) and contributor(s) and not of MDPI and/or the editor(s). MDPI and/or the editor(s) disclaim responsibility for any injury to people or property resulting from any ideas, methods, instructions or products referred to in the content. |
© 2023 by the authors. Licensee MDPI, Basel, Switzerland. This article is an open access article distributed under the terms and conditions of the Creative Commons Attribution (CC BY) license (https://creativecommons.org/licenses/by/4.0/).
Share and Cite
Shi, H.; Liang, Z.; Zhang, B.; Wang, H. Design and Performance Verification of a Novel RCM Mechanism for a Minimally Invasive Surgical Robot. Sensors 2023, 23, 2361. https://doi.org/10.3390/s23042361
Shi H, Liang Z, Zhang B, Wang H. Design and Performance Verification of a Novel RCM Mechanism for a Minimally Invasive Surgical Robot. Sensors. 2023; 23(4):2361. https://doi.org/10.3390/s23042361
Chicago/Turabian StyleShi, Hu, Zhixin Liang, Boyang Zhang, and Haitao Wang. 2023. "Design and Performance Verification of a Novel RCM Mechanism for a Minimally Invasive Surgical Robot" Sensors 23, no. 4: 2361. https://doi.org/10.3390/s23042361
APA StyleShi, H., Liang, Z., Zhang, B., & Wang, H. (2023). Design and Performance Verification of a Novel RCM Mechanism for a Minimally Invasive Surgical Robot. Sensors, 23(4), 2361. https://doi.org/10.3390/s23042361

