A Novel Method to Model Image Creation Based on Mammographic Sensors Performance Parameters: A Theoretical Study
Abstract
1. Introduction
2. Materials and Methods
2.1. Theoretical Image Generation
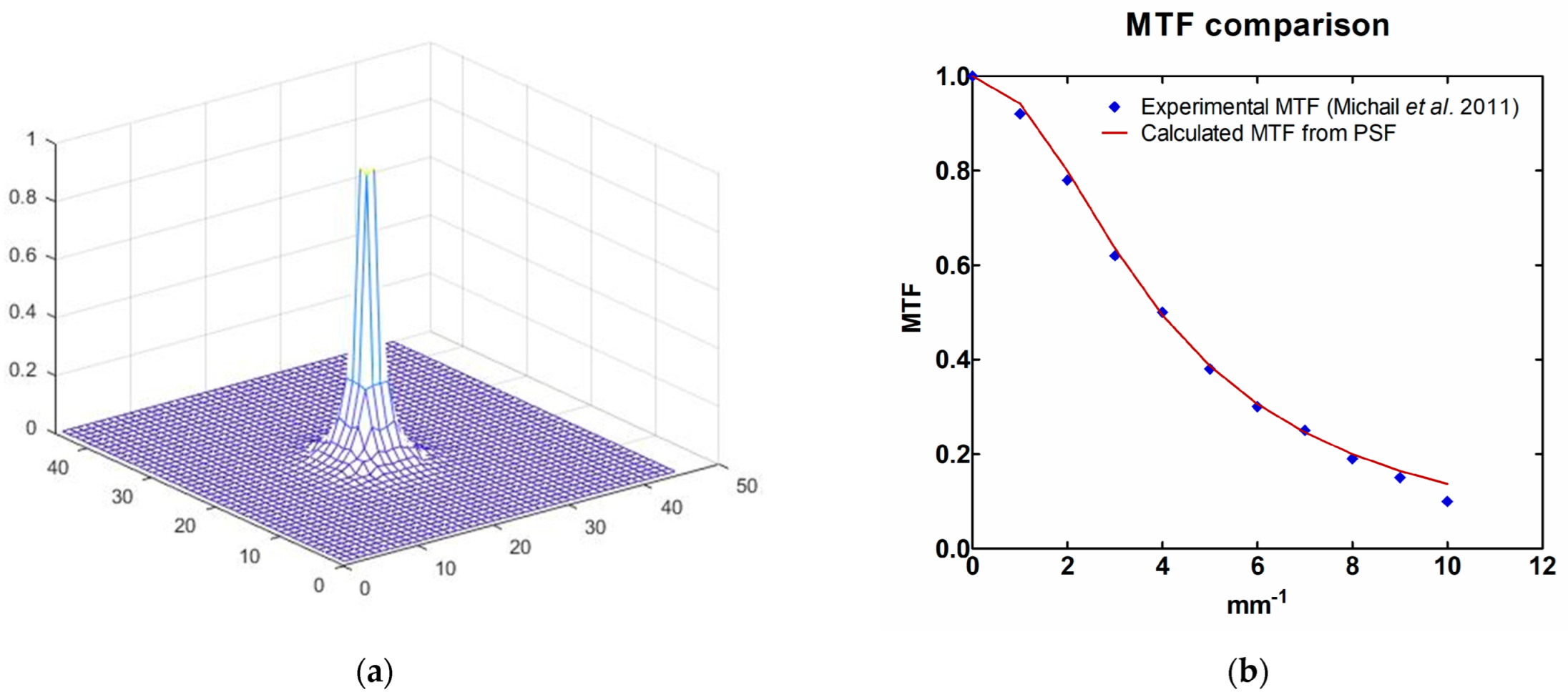
2.2. PSF Estimation
3. Results
3.1. Breast Size of 4.2 cm and Mo/Mo Spectra
3.2. Breast Size of 4.2 cm and W/Rh Spectra
3.3. Breast Size of 6.0 cm and Mo/Mo Spectra
3.4. Breast Size of 6.0 cm and W/Rh Spectra
4. Discussion
5. Conclusions
Author Contributions
Funding
Institutional Review Board Statement
Informed Consent Statement
Data Availability Statement
Conflicts of Interest
References
- WHO Position Paper on Mammography Screening. Available online: https://www.who.int/publications-detail-redirect/who-position-paper-on-mammography-screening (accessed on 12 December 2022).
- Bray, F.; Ferlay, J.; Soerjomataram, I.; Siegel, R.L.; Torre, L.A.; Jemal, A. Global Cancer Statistics 2018: GLOBOCAN Estimates of Incidence and Mortality Worldwide for 36 Cancers in 185 Countries. CA Cancer J. Clin. 2018, 68, 394–424. [Google Scholar] [CrossRef]
- Cedolini, C.; Bertozzi, S.; Londero, A.P.; Bernardi, S.; Seriau, L.; Concina, S.; Cattin, F.; Risaliti, A. Type of Breast Cancer Diagnosis, Screening, and Survival. Clin. Breast Cancer 2014, 14, 235–240. [Google Scholar] [CrossRef] [PubMed]
- Moloney, B.M.; O’Loughlin, D.; Abd Elwahab, S.; Kerin, M.J. Breast Cancer Detection—A Synopsis of Conventional Modalities and the Potential Role of Microwave Imaging. Diagnostics 2020, 10, 103. [Google Scholar] [CrossRef] [PubMed]
- Shrestha, S.; Vedantham, S.; Karellas, A. Towards Standardization of X-ray Beam Filters in Digital Mammography and Digital Breast Tomosynthesis: Monte Carlo Simulations and Analytical Modelling. Phys. Med. Biol. 2017, 62, 1969. [Google Scholar] [CrossRef] [PubMed]
- Cockmartin, L.; Marshall, N.W.; Zhang, G.; Lemmens, K.; Shaheen, E.; Ongeval, C.V.; Fredenberg, E.; Dance, D.R.; Salvagnini, E.; Michielsen, K.; et al. Design and Application of a Structured Phantom for Detection Performance Comparison between Breast Tomosynthesis and Digital Mammography. Phys. Med. Biol. 2017, 62, 758. [Google Scholar] [CrossRef]
- Koukou, V.; Martini, N.; Fountos, G.; Michail, C.; Sotiropoulou, P.; Bakas, A.; Kalyvas, N.; Kandarakis, I.; Speller, R.; Nikiforidis, G. Dual Energy Subtraction Method for Breast Calcification Imaging. Nucl. Instrum. Methods Phys. Res. Sect. A Accel. Spectrometers Detect. Assoc. Equip. 2017, 848, 31–38. [Google Scholar] [CrossRef]
- Koukou, V.; Martini, N.; Michail, C.; Sotiropoulou, P.; Fountzoula, C.; Kalyvas, N.; Kandarakis, I.; Nikiforidis, G.; Fountos, G. Dual Energy Method for Breast Imaging: A Simulation Study. Comput. Math. Methods Med. 2015, 2015, 574238. [Google Scholar] [CrossRef]
- Beutel, J.; Fitzpatrick, J.M.; Horii, S.C.; Kim, Y.; Kundel, H.L.; Sonka, M.; Van Metter, R.L. (Eds.) Handbook of Medical Imaging, Volume 1. Physics and Psychophysics; SPIE Press Book: Washington, DC, USA, 2000; ISBN 978-0-8194-7772-9. [Google Scholar]
- Monnin, P.; Verdun, F.R.; Bosmans, H.; Pérez, S.R.; Marshall, N.W. A Comprehensive Model for X-ray Projection Imaging System Efficiency and Image Quality Characterization in the Presence of Scattered Radiation. Phys. Med. Biol. 2017, 62, 5691. [Google Scholar] [CrossRef]
- Yun, S.; Kim, H.K.; Han, J.C.; Kam, S.; Youn, H.; Cunningham, I.A. Linear Analysis of Signal and Noise Characteristics of a Nonlinear CMOS Active-Pixel Detector for Mammography. Nucl. Instrum. Methods Phys. Res. Sect. A Accel. Spectrometers Detect. Assoc. Equip. 2017, 847, 104–110. [Google Scholar] [CrossRef]
- Kim, K.H. System Performance of Phosphor Screen Coupled CMOS Imager for Long-Term Radiation Exposure. Nucl. Instrum. Methods Phys. Res. Sect. A Accel. Spectrometers Detect. Assoc. Equip. 2009, 607, 218–220. [Google Scholar] [CrossRef]
- Jana, A.; Cho, S.; Patil, S.A.; Meena, A.; Jo, Y.; Sree, V.G.; Park, Y.; Kim, H.; Im, H.; Taylor, R.A. Perovskite: Scintillators, Direct Detectors, and X-ray Imagers. Mater. Today 2022, 55, 110–136. [Google Scholar] [CrossRef]
- Hwy Lim, C.; Yun, S.; Chul Han, J.; Kim, H.K.; Farrier, M.G.; Graeve Achterkirchen, T.; McDonald, M.; Cunningham, I.A. Characterization of Imaging Performance of a Large-Area CMOS Active-Pixel Detector for Low-Energy X-ray Imaging. Nucl. Instrum. Methods Phys. Res. Sect. A Accel. Spectrometers Detect. Assoc. Equip. 2011, 652, 500–503. [Google Scholar] [CrossRef]
- Linardatos, D.; Koukou, V.; Martini, N.; Konstantinidis, A.; Bakas, A.; Fountos, G.; Valais, I.; Michail, C. On the Response of a Micro Non-Destructive Testing X-ray Detector. Materials 2021, 14, 888. [Google Scholar] [CrossRef]
- Seferis, I.E.; Michail, C.M.; Valais, I.G.; Fountos, G.P.; Kalyvas, N.I.; Stromatia, F.; Oikonomou, G.; Kandarakis, I.S.; Panayiotakis, G.S. On the Response of a Europium Doped Phosphor-Coated CMOS Digital Imaging Detector. Nucl. Instrum. Methods Phys. Res. Sect. A Accel. Spectrometers Detect. Assoc. Equip. 2013, 729, 307–315. [Google Scholar] [CrossRef]
- Kasap, S.; Frey, J.B.; Belev, G.; Tousignant, O.; Mani, H.; Greenspan, J.; Laperriere, L.; Bubon, O.; Reznik, A.; DeCrescenzo, G.; et al. Amorphous and Polycrystalline Photoconductors for Direct Conversion Flat Panel X-ray Image Sensors. Sensors 2011, 11, 5112–5157. [Google Scholar] [CrossRef] [PubMed]
- Kim, W.-T.; Park, C.; Lee, H.; Lee, I.; Lee, B.-G. A High Full Well Capacity CMOS Image Sensor for Space Applications. Sensors 2019, 19, 1505. [Google Scholar] [CrossRef]
- Baldelli, P.; Bertolini, M.; Contillo, A.; Gala, G.D.; Golinelli, P.; Pagan, L.; Rivetti, S.; Taibi, A. A Comparative Study of Physical Image Quality in Digital and Synthetic Mammography from Commercially Available Mammography Systems. Phys. Med. Biol. 2018, 63, 165020. [Google Scholar] [CrossRef]
- Arfelli, F.; Bonvicini, V.; Bravin, A.; Cantatore, G.; Castelli, E.; Palma, L.D.; Michiel, M.D.; Longo, R.; Olivo, A.; Pani, S.; et al. A Linear Array Silicon Pixel Detector: Images of a Mammographic Test Object and Evaluation of Delivered Doses. Phys. Med. Biol. 1997, 42, 1565. [Google Scholar] [CrossRef]
- Samei, E.; Dobbins, J.T., III; Lo, J.Y.; Tornai, M.P. A Framework for Optimising the Radiographic Technique in Digital X-ray Imaging. Radiat. Prot. Dosim. 2005, 114, 220–229. [Google Scholar] [CrossRef]
- Varallo, A.; Sarno, A.; Castriconi, R.; Mazzilli, A.; Loria, A.; del Vecchio, A.; Orientale, A.; Pilotti, I.A.M.; D’Andria, P.; Bliznakova, K.; et al. Fabrication of 3D Printed Patient-Derived Anthropomorphic Breast Phantoms for Mammography and Digital Breast Tomosynthesis: Imaging Assessment with Clinical X-ray Spectra. Phys. Med. 2022, 98, 88–97. [Google Scholar] [CrossRef]
- Koutalonis, M.; Delis, H.; Spyrou, G.; Costaridou, L.; Tzanakos, G.; Panayiotakis, G. Monte Carlo Simulation Studies of Spatial Resolution in Magnification Mammography Using the Edge Method. J. Inst. 2009, 4, P05013. [Google Scholar] [CrossRef]
- Bliznakova, K.; Speller, R.; Horrocks, J.; Liaparinos, P.; Kolitsi, Z.; Pallikarakis, N. Experimental Validation of a Radiographic Simulation Code Using Breast Phantom for X-ray Imaging. Comput. Biol. Med. 2010, 40, 208–214. [Google Scholar] [CrossRef] [PubMed]
- Elangovan, P.; Mackenzie, A.; Dance, D.R.; Young, K.C.; Cooke, V.; Wilkinson, L.; Given-Wilson, R.M.; Wallis, M.G.; Wells, K. Design and Validation of Realistic Breast Models for Use in Multiple Alternative Forced Choice Virtual Clinical Trials. Phys. Med. Biol. 2017, 62, 2778. [Google Scholar] [CrossRef] [PubMed]
- Sarno, A.; Mettivier, G.; di Franco, F.; Varallo, A.; Bliznakova, K.; Hernandez, A.M.; Boone, J.M.; Russo, P. Dataset of Patient-Derived Digital Breast Phantoms for in Silico Studies in Breast Computed Tomography, Digital Breast Tomosynthesis, and Digital Mammography. Med. Phys. 2021, 48, 2682–2693. [Google Scholar] [CrossRef]
- Michail, C.M.; Spyropoulou, V.A.; Fountos, G.P.; Kalyvas, N.I.; Valais, I.G.; Kandarakis, I.S.; Panayiotakis, G.S. Experimental and Theoretical Evaluation of a High Resolution CMOS Based Detector Under X-ray Imaging Conditions. IEEE Trans. Nucl. Sci. 2011, 58, 314–322. [Google Scholar] [CrossRef]
- MATLAB Software Version ’9.11.0.1769968 (R2021b). Available online: https://www.mathworks.com/ (accessed on 12 December 2022).
- Nowotny, R. XMuDat: Photon Attenuation Data on PC, International Atomic Energy Agency. Available online: https://www-nds.iaea.org/publications/iaea-nds/iaea-nds-0195.htm (accessed on 31 March 2021).
- Chamogeorgaki, A. Creating a Software Phantom for Mammographic Imaging. Diploma Thesis, University of West Attica, Athens, Greece, 2022. [Google Scholar] [CrossRef]
- Liaparinos, P.; Kalyvas, N.; Kandarakis, I.; Cavouras, D. Analysis of the Imaging Performance in Indirect Digital Mammography Detectors by Linear Systems and Signal Detection Models. Nucl. Instrum. Methods Phys. Res. Sect. A Accel. Spectrometers Detect. Assoc. Equip. 2013, 697, 87–98. [Google Scholar] [CrossRef]
- Grynko, O.; Thibault, T.; Pineau, E.; Reznik, A. The X-ray Sensitivity of an Amorphous Lead Oxide Photoconductor. Sensors 2021, 21, 7321. [Google Scholar] [CrossRef]
- Kabir, M.Z. Effects of Charge Carrier Trapping on Image Resolution of Multilayer Photoconductive Detectors: Application to Amorphous Selenium X-ray Detectors. Radiation 2022, 2, 91–99. [Google Scholar] [CrossRef]
- Hellier, K.; Benard, E.; Scott, C.C.; Karim, K.S.; Abbaszadeh, S. Recent Progress in the Development of A-Se/CMOS Sensors for X-ray Detection. Quantum Beam Sci. 2021, 5, 29. [Google Scholar] [CrossRef]
- Arnab, S.M.; Kabir, M.Z. A Novel Amorphous Selenium Avalanche Detector Structure for Low Dose Medical X-ray Imaging. IEEE Trans. Radiat. Plasma Med. Sci. 2020, 4, 319–326. [Google Scholar] [CrossRef]
- Marshall, N.W. Early Experience in the Use of Quantitative Image Quality Measurements for the Quality Assurance of Full Field Digital Mammography X-ray Systems. Phys. Med. Biol. 2007, 52, 5545. [Google Scholar] [CrossRef]
- IAEA. Chapter Projection Radiography in Diagnostic Radiology Physics: A Handbook for Teachers and Students; Christofides, S., Dance, D.R., Maidment, A.D.A., McLean, I.D., Ng, K.-H., Eds.; International Atomic Energy Agency: Vienna, Austria, 2014; p. 138. [Google Scholar]
- Martini, N.; Koukou, V.; Michail, C.; Fountos, G. Mineral Characterization in Human Body: A Dual Energy Approach. Crystals 2021, 11, 345. [Google Scholar] [CrossRef]
- Sabani, A.; Landsmann, A.; Hejduk, P.; Schmidt, C.; Marcon, M.; Borkowski, K.; Rossi, C.; Ciritsis, A.; Boss, A. BI-RADS-Based Classification of Mammographic Soft Tissue Opacities Using a Deep Convolutional Neural Network. Diagnostics 2022, 12, 1564. [Google Scholar] [CrossRef] [PubMed]
- Wisaeng, K. Breast Cancer Detection in Mammogram Images Using K–Means++ Clustering Based on Cuckoo Search Optimization. Diagnostics 2022, 12, 3088. [Google Scholar] [CrossRef] [PubMed]












| Irradiation Conditions | Breast Thickness/Lesion Size/Lesion Thickness | Figure | Adipose | Blood | Muscle |
|---|---|---|---|---|---|
| Mo/Mo, 28 kVp, 5 mGy | 4.2 cm/40 × 40/0.1 cm | 5a | p = 0.568 | p = 0.01 | p = 0.039 |
| Mo/Mo, 32 kVp, 3 mGy | 4.2 cm/40 × 40/0.1 cm | 6a | p = 0.757 | p = 0.107 | p = 0.346 |
| Mo/Mo, 28 kVp, 5 mGy | 4.2 cm/10 × 10/0.5 cm | 7b | p = 0.004 | ------- | -------- |
| W/Rh, 28 kVp, 5 mGy | 4.2 cm 10 × 10/0.1 cm | 8a | p = 0.002 | p < 0.001 | p < 0.001 |
| W/Rh, 32 kVp, 5 mGy | 6 cm/40 × 40/0.1 cm | 12a | p = 0.848 | p = 0.544 | p = 0.057 |
| W/Rh, 32 kVp, 5 mGy | 6 cm/20 × 20/0.5 cm | 12b | p < 0.001 | p < 0.001 | p = 0.006 |
| Irradiation Conditions | Breast Thickness (cm) | Emean on Detector Surface (keV) | KERMA on Detector Surface (µGy) |
|---|---|---|---|
| Mo/Mo, 28 kVp, 5 mGy | 4.2 | 19.90 | 31.30 |
| Mo/Mo, 32 kVp, 3 mGy | 4.2 | 22.08 | 21.20 |
| W/Rh, 28 kVp, 5 mGy | 4.2 | 21.15 | 92.20 |
| W/Rh, 32 kVp, 5 mGy | 4.2 | 22.18 | 105.70 |
| Mo/Mo, 28 kVp, 5 mGy | 6 | 21.15 | 7.50 |
| Mo/Mo, 32 kVp, 3 mGy | 6 | 24.07 | 5.70 |
| W/Rh, 28 kVp, 5 mGy | 6 | 21.54 | 28.25 |
| W/Rh, 32 kVp, 5 mGy | 6 | 22.93 | 34.35 |
Disclaimer/Publisher’s Note: The statements, opinions and data contained in all publications are solely those of the individual author(s) and contributor(s) and not of MDPI and/or the editor(s). MDPI and/or the editor(s) disclaim responsibility for any injury to people or property resulting from any ideas, methods, instructions or products referred to in the content. |
© 2023 by the authors. Licensee MDPI, Basel, Switzerland. This article is an open access article distributed under the terms and conditions of the Creative Commons Attribution (CC BY) license (https://creativecommons.org/licenses/by/4.0/).
Share and Cite
Kalyvas, N.; Chamogeorgaki, A.; Michail, C.; Skouroliakou, A.; Liaparinos, P.; Valais, I.; Fountos, G.; Kandarakis, I. A Novel Method to Model Image Creation Based on Mammographic Sensors Performance Parameters: A Theoretical Study. Sensors 2023, 23, 2335. https://doi.org/10.3390/s23042335
Kalyvas N, Chamogeorgaki A, Michail C, Skouroliakou A, Liaparinos P, Valais I, Fountos G, Kandarakis I. A Novel Method to Model Image Creation Based on Mammographic Sensors Performance Parameters: A Theoretical Study. Sensors. 2023; 23(4):2335. https://doi.org/10.3390/s23042335
Chicago/Turabian StyleKalyvas, Nektarios, Anastasia Chamogeorgaki, Christos Michail, Aikaterini Skouroliakou, Panagiotis Liaparinos, Ioannis Valais, George Fountos, and Ioannis Kandarakis. 2023. "A Novel Method to Model Image Creation Based on Mammographic Sensors Performance Parameters: A Theoretical Study" Sensors 23, no. 4: 2335. https://doi.org/10.3390/s23042335
APA StyleKalyvas, N., Chamogeorgaki, A., Michail, C., Skouroliakou, A., Liaparinos, P., Valais, I., Fountos, G., & Kandarakis, I. (2023). A Novel Method to Model Image Creation Based on Mammographic Sensors Performance Parameters: A Theoretical Study. Sensors, 23(4), 2335. https://doi.org/10.3390/s23042335

