Scattered Train Bolt Point Cloud Segmentation Based on Hierarchical Multi-Scale Feature Learning
Abstract
:1. Introduction
2. Related Work
3. Network Architecture
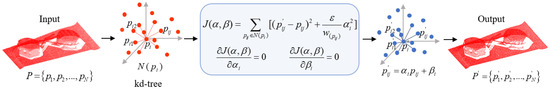
3.1. Adaptive Weighted Guided Filtering of Point Cloud
3.2. Fast Farthest Point Sampling Based on Key Points
3.3. Feature Extraction
4. Experiments and Discussion
4.1. Experimental Environment and Parameters
4.2. Dataset
4.3. Evaluation Metrics
4.4. Results and Discussion
4.4.1. Denoising and Smoothing Experiment
4.4.2. Downsampling Experiment
4.4.3. Bolt Segmentation
4.4.4. Ablation Experiment
5. Conclusions
Author Contributions
Funding
Institutional Review Board Statement
Informed Consent Statement
Data Availability Statement
Acknowledgments
Conflicts of Interest
References
- Ding, S.; Chen, D.; Liu, J. Research, development and prospect of China high-speed train. Chin. J. Theor. Appl. Mech. 2021, 53, 35–50. [Google Scholar]
- Liu, D.; Wang, T.; Liang, X.; Meng, S.; Zhong, M.; Lu, Z. High-speed train overturning safety under varying wind speed conditions. J. Wind. Eng. Ind. Aerodyn. 2020, 198, 104111. [Google Scholar] [CrossRef]
- Zhang, H.; Yang, J.; Tao, W.; Zhao, H. Vision method of inspecting missing fastening components in high-speed railway. Appl. Opt. 2011, 50, 3658–3665. [Google Scholar] [CrossRef] [PubMed]
- Li, C.; Wei, Z.; Xing, J. Online inspection system for the automatic detection of bolt defects on a freight train. Proc. Inst. Mech. Eng. Part F J. Rail Rapid Transit 2016, 230, 1213–1226. [Google Scholar] [CrossRef]
- Zhou, F.; Song, Y.; Liu, L.; Zheng, D. Automated visual inspection of target parts for train safety based on deep learning. IET Intell. Transp. Syst. 2018, 12, 550–555. [Google Scholar] [CrossRef]
- Spencer, B.F., Jr.; Vedhus, H.; Yasutaka, N. Advances in computer vision-based civil infrastructure inspection and monitoring. Engineering 2019, 5, 199–222. [Google Scholar] [CrossRef]
- Bello, S.A.; Yu, S.; Wang, C.; Adam, J.M.; Li, J. Review: Deep learning on 3D point clouds. Remote Sens. 2020, 12, 1729. [Google Scholar] [CrossRef]
- Li, Y.; Zhong, Z.; Cao, D. Deep learning for lidar point clouds in autonomous driving: A review. IEEE Trans. Neural Netw. Learn. Syst. 2020, 32, 3412–3432. [Google Scholar] [CrossRef]
- Bhople, A.R.; Akhilesh, M.; Shrivastava, S.P. Point cloud based deep convolutional neural network for 3D face recognition. Multimed. Tools Appl. 2021, 80, 30237–30259. [Google Scholar] [CrossRef]
- Zhou, S.; Sheng, X. 3D face recognition: A survey. Hum. Cent. Comput. Inf. Sci. 2018, 8, 1–27. [Google Scholar] [CrossRef]
- Cheng, Q.; Sun, P.; Yang, C.; Yang, Y.; Liu, P.X. A morphing-Based 3D point cloud reconstruction framework for medical image processing. Comput. Methods Programs Biomed. 2020, 193, 105495. [Google Scholar] [CrossRef] [PubMed]
- Fu, Y.; Lei, Y.; Wang, T.; Patel, P.B.; Jani, A.; Mao, H.; Curran, J.W.; Liu, T.; Yang, X. Biomechanically constrained non-rigid MR-TRUS prostate registration using deep learning based 3D point cloud matching. Med. Image Anal. 2021, 67, 101845. [Google Scholar] [CrossRef] [PubMed]
- Wen, H.; Wang, Y. Classification-based scene modeling for urban point clouds. Opt. Eng. 2014, 53, 033110. [Google Scholar]
- Ning, X.; Ge, T.; Wang, Y. Shape classification guided method for automated extraction of urban trees from terrestrial laser scanning point clouds. Multimed. Tools Appl. 2021, 80, 33357–33375. [Google Scholar] [CrossRef]
- Kim, J.; Lee, J.; Chung, M.; Shin, Y.-G. Multiple weld seam extraction from RGB-depth images for automatic robotic welding via point cloud registration. Multimed. Tools Appl. 2021, 80, 9703–9719. [Google Scholar] [CrossRef]
- Lin, S.; Xu, C.; Chen, L.; Li, S.; Tu, X. LiDAR Point Cloud Recognition of Overhead Catenary System with Deep Learning. Sensors 2020, 20, 2212. [Google Scholar] [CrossRef]
- Wang, Z.; Zhang, Y.; Lv, T.; Luo, L. GTAINet: Graph neural network-based two-stage anomaly identification for locking wire point clouds using hierarchical attentive edge convolution. Int. J. Appl. Earth Obs. Geoinf. 2022, 115, 103106. [Google Scholar] [CrossRef]
- Park, J.-H.; Huynh, T.-C.; Choi, S.-H.; Kim, J.-T. Vision-based technique for bolt-loosening detection in wind turbine tower. Wind. Struct 2015, 21, 709–726. [Google Scholar] [CrossRef]
- Kong, X.; Li, J. Image registration-based bolt loosening detection of steel joints. Sensors 2018, 18, 1000. [Google Scholar] [CrossRef]
- Pham, H.C.; Ta, Q.-B.; Kim, J.-T.; Ho, D.-D.; Tran, X.-L.; Huynh, T.-C. Bolt-loosening monitoring framework using an image-based deep learning and graphical model. Sensors 2020, 20, 3382. [Google Scholar] [CrossRef]
- Digne, J.; De Franchis, C. The Bilateral Filter for Point Clouds. Image Process. Line 2017, 7, 278–287. [Google Scholar] [CrossRef]
- David, L. The approximation power of moving least-squares. Math. Comput. 1998, 67, 1517–1531. [Google Scholar]
- Marc, A.; Johannes, B.; Daniel, C.-O.; Shachar, F.; David, L.; Cláudio, T.S. Computing and rendering point set surfaces. IEEE Trans. Vis. Comput. Graph. 2003, 9, 3–15. [Google Scholar]
- Yaron, L.; Daniel, C.-O.; David, L.; Hillel, T.-E. Parameterization-free projection for geometry reconstruction. ACM Trans. Graph. TOG 2007, 26, 22-es. [Google Scholar]
- Han, X.; Jin, J.S.; Wang, M.; Jiang, W. Guided 3D point cloud filtering. Multimed. Tools Appl. 2018, 77, 17397–17411. [Google Scholar] [CrossRef]
- Huang, T.; Chen, J.; Zhang, J.; Liu, Y.; Liang, J. Fast Point Cloud Sampling Network. Pattern Recognition Letters 2022, 164, 216–223. [Google Scholar] [CrossRef]
- Hu, Q.; Yang, B.; Xie, L.; Rosa, S.; Guo, Y.; Wang, Z.; Trigoni, N.; Markham, A. Randla-Net: Efficient semantic segmentation of large-scale point clouds. In Proceedings of the IEEE Computer Society Conference on Computer Vision and Pattern Recognition, Seattle, WA, USA, 14–19 June 2020; pp. 11108–11117. [Google Scholar]
- Lang, T.; Manor, A.; Avidan, S. SampleNet: Differentiable Point Cloud Sampling. In Proceedings of the IEEE Computer Society Conference on Computer Vision and Pattern Recognition, Seattle, WA, USA, 14–19 June 2020; pp. 7578–7588. [Google Scholar]
- Guo, Y.; Wang, H.; Hu, Q.; Liu, H.; Liu, L.; Bennamoun, M. Deep learning for 3d point clouds: A survey. IEEE Trans. Pattern Anal. Mach. Intell. 2020, 43, 4338–4364. [Google Scholar] [CrossRef]
- Zhang, J.; Zhao, X.; Chen, Z.; Lu, Z. A review of deep learning-based semantic segmentation for point cloud. IEEE Access 2019, 7, 179118–179133. [Google Scholar] [CrossRef]
- Qi, C.R.; Su, H.; Mo, K.; Guibas, J.L. Pointnet: Deep learning on point sets for 3d classification and segmentation. In Proceedings of the IEEE Conference on Computer Vision and Pattern Recognition, Honolulu, HI, USA, 21–26 July 2017; pp. 77–85. [Google Scholar]
- Qi, C.R.; Yi, L.; Su, H.; Guibas, J.L. Pointnet++: Deep hierarchical feature learning on point sets in a metric space. Adv. Neural Inf. Process. Syst. 2017, 30, 5099–5108. [Google Scholar]
- Li, Y.; Bu, R.; Sun, M.; Wu, W.; Di, X.; Chen, B. Pointcnn: Convolution on x-transformed points. Adv. Neural Inf. Process. Syst. 2018, 31, 820–830. [Google Scholar]
- Wang, Y.; Sun, Y.; Liu, Z.; Sarma, S.E.; Bronstein, M.M.; Solomon Justin, M. Dynamic graph cnn for learning on point clouds. Acm Trans. Graph. Tog 2019, 38, 1–12. [Google Scholar] [CrossRef]
- Liu, Y.; Fan, B.; Xiang, S.; Pan, C. Relation-shape convolutional neural network for point cloud analysis. In Proceedings of the IEEE/CVF Conference on Computer Vision and Pattern Recognition, Long Beach, CA, USA, 16–20 June 2019; 8895-8904. [Google Scholar]
- Wu, W.; Qi, Z.; Li, F. Pointconv: Deep convolutional networks on 3d point clouds. In Proceedings of the IEEE/CVF Conference on Computer Vision and Pattern Recognition, Long Beach, CA, USA, 16–20 June 2019; pp. 9621–9630. [Google Scholar]
- Guo, M.; Cai, J.; Liu, Z.; Mu, T.; Martin, R.R.; Hu, S. Pct: Point cloud transformer. Comput. Vis. Media 2021, 7, 187–199. [Google Scholar] [CrossRef]
- Ma, X.; Qin, C.; You, H.; Ran, H.; Fu, Y. Rethinking Network Design and Local Geometry in Point Cloud: A Simple Residual MLP Framework. arXiv 2022, arXiv:2202.07123. [Google Scholar]
- Han, X.; Jin, J.S.; Wang, M.; Jiang, W.; Gao, L.; Xiao, L. A review of algorithms for filtering the 3D point cloud. Signal Process. Image Commun. 2017, 57, 103–112. [Google Scholar] [CrossRef]
- Zeng, N.; Li, J.; Gao, X.; Zhang, Y.; Luo, L. An efficient filtering and smoothing algorithm for train key components based on scattered point clouds. Laser Optoelectron. Prog. 2023, 60, 1410011. [Google Scholar]
- Dricot, A.; Pereira, F.; Ascenso, J. Rate-distortion driven adaptive partitioning for octree-based point cloud geometry coding. In Proceedings of the 2018 25th IEEE International Conference on Image Processing (ICIP), Athens, Greece, 7–10 October 2018. [Google Scholar]
- Vaswani, A.; Shazeer, N.; Paemar, N.; Uszkoreit, J.; Jones, L.; Gomez, A.N.; Kaiser, Ł.; Polosukhin, I. Attention is all you need. Adv. Neural Inf. Process. Syst. 2017, 30, 5998–6008. [Google Scholar]








| Training | Test | Validation | Total |
|---|---|---|---|
| 870 | 252 | 134 | 1256 |
| Point Cloud | Bolt1 | Bolt2 | Bolt3 | Bolt4 |
|---|---|---|---|---|
| Number | 35,006 | 44,316 | 59,267 | 62,405 |
| Denoising Method | Bolt1 (s) | Bolt2 (s) | Bolt3 (s) | Bolt4 (s) |
|---|---|---|---|---|
| BF | 0.369 | 0.413 | 0.634 | 0.649 |
| GF | 0.180 | 0.226 | 0.321 | 0.341 |
| AWGF | 0.215 | 0.266 | 0.376 | 0.395 |
| Sampling Number | Bolt1 (s) | Bolt2 (s) | Bolt3 (s) | Bolt4 (s) |
|---|---|---|---|---|
| 512 | 62.43 | 78.08 | 103.14 | 110.84 |
| 1024 | 237.56 | 279.42 | 361.42 | 376.5 |
| 2048 | 989.01 | 1188.53 | 1648.36 | 1640.72 |
| Sampling Number | Bolt1 (s) | Bolt2 (s) | Bolt3 (s) | Bolt4 (s) |
|---|---|---|---|---|
| 512 | 2.72 | 3.56 | 5.57 | 6.23 |
| 1024 | 9.16 | 12.02 | 15.64 | 18.26 |
| 2048 | 35.59 | 45.34 | 61.89 | 70.89 |
| Method | Bolt (%) | Background (%) | mIOU (%) | OA (%) |
|---|---|---|---|---|
| PointNet | 89.46 | 91.01 | 90.24 | 95.27 |
| PointNet++ | 91.25 | 92.72 | 91.99 | 96.32 |
| PointConv | 92.83 | 93.63 | 93.23 | 97.10 |
| DGCNN | 92.65 | 93.52 | 93.09 | 96.69 |
| PointMLP | 93.78 | 95.19 | 94.49 | 97.69 |
| Ours | 94.54 | 95.81 | 95.18 | 98.12 |
| Denoising Method | Sampling Method | Attention Mechanism | Bolt (%) | Background (%) | mIOU (%) | OA (%) |
|---|---|---|---|---|---|---|
| AWGF | FFPS-kp | - | 93.76 | 95.04 | 94.40 | 97.25 |
| AWGF | FFPS-kp | Self-attention | 94.54 | 95.81 | 95.18 | 98.12 |
| AWGF | FPS | Self-attention | 94.43 | 95.77 | 95.10 | 98.00 |
| GF | FFPS-kp | Self-attention | 94.05 | 95.13 | 94.59 | 97.77 |
Disclaimer/Publisher’s Note: The statements, opinions and data contained in all publications are solely those of the individual author(s) and contributor(s) and not of MDPI and/or the editor(s). MDPI and/or the editor(s) disclaim responsibility for any injury to people or property resulting from any ideas, methods, instructions or products referred to in the content. |
© 2023 by the authors. Licensee MDPI, Basel, Switzerland. This article is an open access article distributed under the terms and conditions of the Creative Commons Attribution (CC BY) license (https://creativecommons.org/licenses/by/4.0/).
Share and Cite
Zeng, N.; Li, J.; Zhang, Y.; Gao, X.; Luo, L. Scattered Train Bolt Point Cloud Segmentation Based on Hierarchical Multi-Scale Feature Learning. Sensors 2023, 23, 2019. https://doi.org/10.3390/s23042019
Zeng N, Li J, Zhang Y, Gao X, Luo L. Scattered Train Bolt Point Cloud Segmentation Based on Hierarchical Multi-Scale Feature Learning. Sensors. 2023; 23(4):2019. https://doi.org/10.3390/s23042019
Chicago/Turabian StyleZeng, Ni, Jinlong Li, Yu Zhang, Xiaorong Gao, and Lin Luo. 2023. "Scattered Train Bolt Point Cloud Segmentation Based on Hierarchical Multi-Scale Feature Learning" Sensors 23, no. 4: 2019. https://doi.org/10.3390/s23042019
APA StyleZeng, N., Li, J., Zhang, Y., Gao, X., & Luo, L. (2023). Scattered Train Bolt Point Cloud Segmentation Based on Hierarchical Multi-Scale Feature Learning. Sensors, 23(4), 2019. https://doi.org/10.3390/s23042019
