Efficient Convolutional Neural Networks for Semiconductor Wafer Bin Map Classification
Abstract
:1. Introduction
1.1. Background
1.2. Contributions
1.3. Structure of This Paper
2. Related Works
2.1. Wafer Map Classification
2.2. Light-Weight Convolutional Neural Networks
3. Method
3.1. Data Augmentation
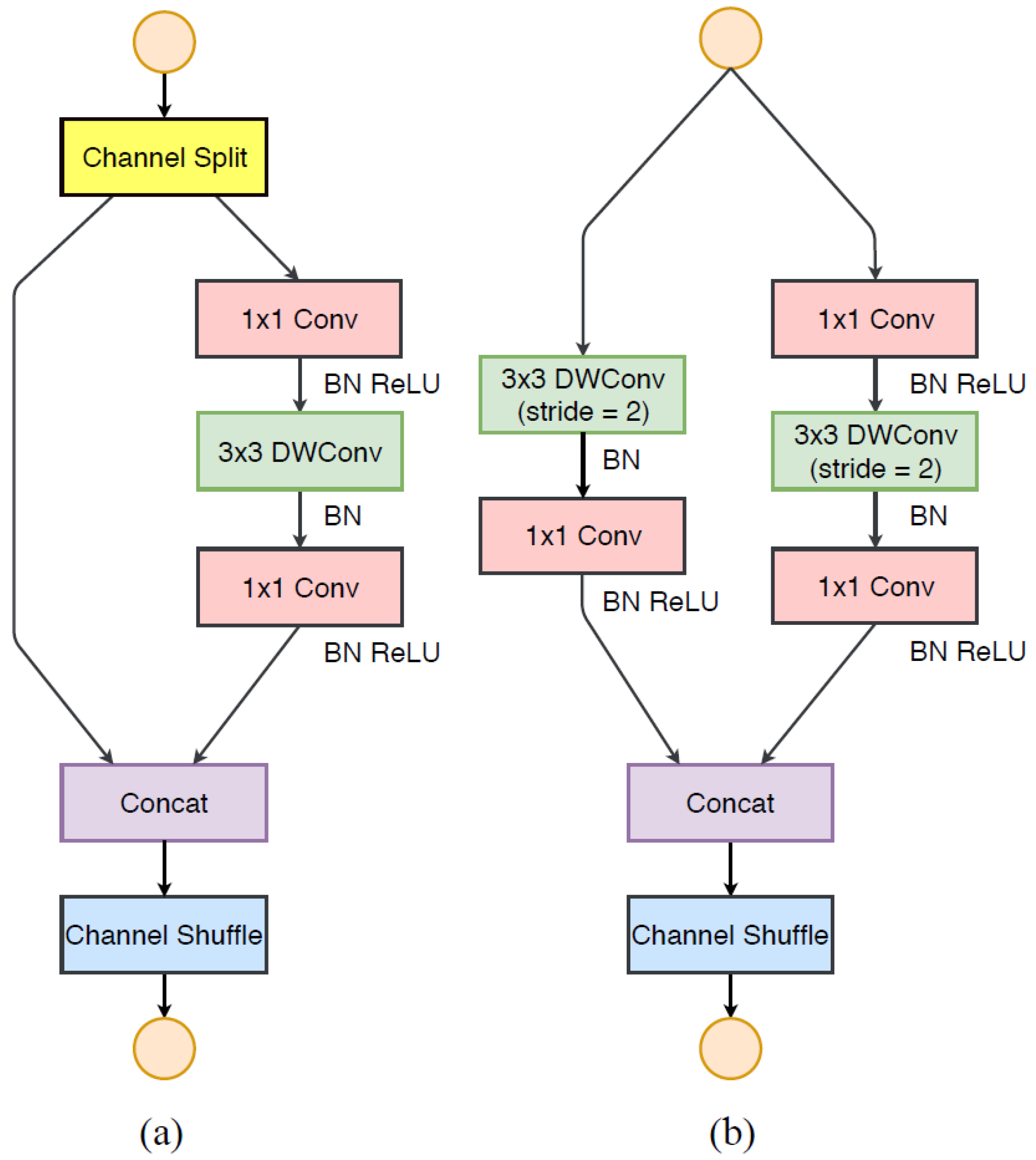
3.2. Light-Weight Convolutional Neural Network Models
4. Experiments
4.1. Dataset
4.2. Settings
4.3. Evaluation Metric
4.4. Experiment Results
4.5. Ablation Study
5. Conclusions
6. Future Work
Author Contributions
Funding
Institutional Review Board Statement
Informed Consent Statement
Data Availability Statement
Conflicts of Interest
Sample Availability
Abbreviations
| MDPI | Multidisciplinary Digital Publishing Institute |
| DOAJ | Directory of open access journals |
| TLA | Three letter acronym |
| LD | Linear dichroism |
References
- Hyungu, K.; Kang, S. A stacking ensemble classifier with handcrafted and convolutional features for wafer map pattern classification. Comput. Ind. 2021, 129, 103450. [Google Scholar]
- Jin, C.H.; Kim, H.J.; Piao, Y.; Li, M.; Piao, M. Wafer map defect pattern classification based on convolutional neural network features and error-correcting output codes. J. Intell. Manuf. 2020, 31, 1861–1875. [Google Scholar] [CrossRef]
- Hyungu, K.; Kim, S.B. Self-supervised representation learning for wafer bin map defect pattern classification. IEEE Trans. Semicond. Manuf. 2020, 34, 74–86. [Google Scholar]
- Kim, E.S.; Choi, S.H.; Lee, D.H.; Kim, K.J.; Bae, Y.M.; Oh, Y.C. An oversampling method for wafer map defect pattern classification considering small and imbalanced data. Comput. Ind. Eng. 2021, 162, 107767. [Google Scholar] [CrossRef]
- Muhammad, S.; Abbas, Q.; Lee, J.Y. A deep convolutional neural network for wafer defect identification on an imbalanced dataset in semiconductor manufacturing processes. IEEE Trans. Semicond. Manuf. 2020, 33, 436–444. [Google Scholar]
- Nakazawa, T.; Deepak, V.K. Anomaly detection and segmentation for wafer defect patterns using deep convolutional encoder–decoder neural network architectures in semiconductor manufacturing. IEEE Trans. Semicond. Manuf. 2019, 32, 250–256. [Google Scholar] [CrossRef]
- Wang, J.; Xu, C.; Yang, Z.; Zhang, J.; Li, X. Deformable convolutional networks for efficient mixed-type wafer defect pattern recognition. IEEE Trans. Semicond. Manuf. 2020, 33, 587–596. [Google Scholar] [CrossRef]
- Yoon, S.; Kang, S. Semi-automatic wafer map pattern classification with convolutional neural networks. Comput. Ind. Eng. 2022, 166, 107977. [Google Scholar] [CrossRef]
- Tsai, T.-H.; Lee, Y.-C. A light-weight neural network for wafer map classification based on data augmentation. IEEE Trans. Semicond. Manuf. 2020, 33, 663–672. [Google Scholar] [CrossRef]
- Chen, S.; Zhang, Y.; Yi, M.; Shang, Y.; Yang, P. AI classification of wafer map defect patterns by using dual-channel convolutional neural network. Eng. Fail. Anal. 2021, 130, 105756. [Google Scholar] [CrossRef]
- Zheng, H.; Sherazi, S.W.A.; Son, S.H.; Lee, J.Y. A Deep Convolutional Neural Network-Based Multi-Class Image Classification for Automatic Wafer Map Failure Recognition in Semiconductor Manufacturing. Appl. Sci. 2021, 11, 9769. [Google Scholar] [CrossRef]
- Tsai, T.H.; Wang, C.Y. Wafer Map Defect Classification using Deep Learning Framework with Data Augmentation on Imbalance Datasets. 2022. Available online: https://assets.researchsquare.com/files/rs-2078809/v1/cddeadcd-fff2-4042-ac6f-f890350ea195.pdf?c=1664473218 (accessed on 28 January 2023).
- Jaegyeong, C.; Jeong, J. Improved U-Net with residual attention block for mixed-defect wafer maps. Appl. Sci. 2022, 12, 2209. [Google Scholar] [CrossRef]
- Yu, N.; Chen, H.; Xu, Q.; Hasan, M.M.; Sie, O. Wafer map defect patterns classification based on a lightweight network and data augmentation. CAAI Trans. Intell. Technol. 2022, 1–14. [Google Scholar] [CrossRef]
- Doss, R.; Ramakrishnan, J.; Kavitha, S.; Ramkumar, S.; Charlyn, P.; Latha, G.; Ramaswamy, K. Classification of Silicon (Si) Wafer Material Defects in Semiconductor Choosers using a Deep Learning ShuffleNet-v2-CNN Model. Adv. Mater. Sci. Eng. 2022, 2022, 1829792. [Google Scholar] [CrossRef]
- Iandola, F.N.; Han, S.; Moskewicz, M.W.; Ashraf, K.; Dally, W.J.; Keutzer, K. SqueezeNet: AlexNet-level accuracy with 50× fewer parameters and <0.5 MB model size. arXiv 2016, arXiv:1602.07360. [Google Scholar]
- Howard, A.G.; Zhu, M.; Chen, B.; Kalenichenko, D.; Wang, W.; Wey, T.; Andreetto, M.; Adam, H. Mobilenets: Efficient convolutional neural networks for mobile vision applications. arXiv 2017, arXiv:1704.04861. [Google Scholar]
- Zhang, X.; Zhou, X.; Lin, M.; Sun, J. Shufflenet: An extremely efficient convolutional neural network for mobile devices. In Proceedings of the IEEE Conference on Computer Vision and Pattern Recognition, Salt Lake City, UT, USA, 18–23 June 2018. [Google Scholar]
- Tan, M.; Le, Q. Efficientnet: Rethinking model scaling for convolutional neural networks. In Proceedings of the International Conference on Machine Learning, PMLR, Long Beach, CA, USA, 9–15 June 2019. [Google Scholar]
- Sandler, M.; Howard, A.; Zhu, M.; Zhmoginov, A.; Chen, L.C. Mobilenetv2: Inverted residuals and linear bottlenecks. In Proceedings of the IEEE Conference on Computer Vision and Pattern Recognition, Salt Lake City, UT, USA, 18–23 June 2018. [Google Scholar]
- Howard, A.; Sandler, M.; Chu, G.; Chen, L.C.; Chen, B.; Tan, M.; Wang, W.; Zhu, Y.; Pang, R.; Vasudevan, V.; et al. Searching for mobilenetv3. In Proceedings of the IEEE/CVF International Conference on Computer Vision, Seoul, Republic of Korea, 27 October–2 November 2019. [Google Scholar]
- Ma, N.; Zhang, X.; Zheng, H.T.; Sun, J. Shufflenet v2: Practical guidelines for efficient cnn architecture design. In Proceedings of the European Conference on Computer Vision (ECCV), Munich, Germany, 8–14 September 2018. [Google Scholar]
- Tan, M.; Le, Q. Efficientnetv2: Smaller models and faster training. In Proceedings of the International Conference on Machine Learning, PMLR, Online, 18–24 July 2021. [Google Scholar]
- Hu, J.; Li, S.; Sun, G. Squeeze-and-excitation networks. In Proceedings of the IEEE Conference on Computer Vision and Pattern Recognition, Salt Lake City, UT, USA, 18–23 June 2018. [Google Scholar]









| Model | Accuracy | F1 Score |
|---|---|---|
| CNN-WDI [5] | 0.962 | - |
| DMC1 [9] | 0.940 | - |
| DCNN+ECOC-SVM [10] | 0.964 | - |
| DCNN [11] | 0.938 | 0.938 |
| G2LGAN+MobileNetV2 [12] | 0.984 | 0.930 |
| WM-PeleeNet [14] | 0.954 | - |
| ShuffleNet-v2-CNN [15] | 0.969 | 0.957 |
| Class Label | No. of Samples | Proportion |
|---|---|---|
| Center | 4294 | 2.48% |
| Donut | 555 | 0.32% |
| Edge-loc | 5189 | 3.00% |
| Edge-ring | 9680 | 5.60% |
| Loc | 3593 | 2.08% |
| Near-full | 149 | 0.09% |
| Random | 866 | 0.50% |
| Scratch | 1193 | 0.69% |
| None | 147,431 | 85.24% |
| Total | 172,950 | 100.00% |
| Layer | Output Size | Filter Size | Stride | Repeat | Output Channel | |
|---|---|---|---|---|---|---|
| 0.5× | 1× | |||||
| Input | 224 × 224 | 3 | 3 | |||
| Conv1 MaxPool | 112 × 112 56 × 56 | 3 × 3 3 × 3 | 2 2 | 1 | 24 | 24 |
| Stage2 | 28 × 28 28 × 28 | 2 1 | 1 3 | 48 | 116 | |
| Stage3 | 14 × 14 14 × 14 | 2 1 | 1 7 | 96 | 232 | |
| Stage4 | 7 × 7 7 × 7 | 2 1 | 1 3 | 192 | 464 | |
| Conv5 | 7 × 7 | 1 × 1 | 1 | 1 | 1024 | 1024 |
| Global Pool | 1 × 1 | 7 × 7 | ||||
| FC | 9 | 9 | ||||
| Layer | Input Size | Kernel Size | Stride | Repeat | Output Channel |
|---|---|---|---|---|---|
| Conv2d | 224 × 224 × 3 | 3 × 3 | 2 | 32 | |
| Block1 | 112 × 112 × 32 | 3 × 3 | 1 | 1 | 16 |
| Block2 | 112 × 112 × 15 | 3 × 3 | 2 | 2 | 24 |
| Block3 | 56 × 56 × 24 | 3 × 3 | 2 | 3 | 32 |
| Block4 | 28 × 28 × 32 | 3 × 3 | 2 | 4 | 64 |
| Block5 | 14 × 14 × 64 | 3 × 3 | 1 | 3 | 96 |
| Block6 | 14 × 14 × 96 | 3 × 3 | 2 | 3 | 160 |
| Block7 | 7 × 7 × 160 | 3 × 3 | 1 | 1 | 320 |
| Conv2d | 7 × 7 × 320 | 1 × 1 | 1 | 1 | 1280 |
| AvgPool | 7 × 7 × 1280 | 7 × 7 | 1 | ||
| Conv2d | 1 × 1 × 1280 | 1 × 1 | 9 |
| Layer | Input Size | Filter Size | Stride | Output Channel | SE | NL |
|---|---|---|---|---|---|---|
| Conv2d | 224 × 224 × 3 | 3 × 3 | 2 | 16 | HS | |
| Bneck | 112 × 112 × 16 | 3 × 3 | 2 | 16 | ✓ | RE |
| Bneck | 56 × 56 × 16 | 3 × 3 | 2 | 24 | RE | |
| Bneck | 28 × 28 × 24 | 3 × 3 | 1 | 24 | RE | |
| Bneck | 28 × 28 × 24 | 5 × 5 | 2 | 40 | ✓ | HS |
| Bneck | 14 × 14 × 40 | 5 × 5 | 1 | 40 | ✓ | HS |
| Bneck | 14 × 14 × 40 | 5 × 5 | 1 | 40 | ✓ | HS |
| Bneck | 14 × 14 × 40 | 5 × 5 | 1 | 48 | ✓ | HS |
| Bneck | 14 × 14 × 48 | 5 × 5 | 1 | 48 | ✓ | HS |
| Bneck | 14 × 14 × 48 | 5 × 5 | 2 | 96 | ✓ | HS |
| Bneck | 7 × 7 × 96 | 5 × 5 | 1 | 96 | ✓ | HS |
| Bneck | 7 × 7 × 96 | 5 × 5 | 1 | 96 | ✓ | HS |
| Conv2d | 7 × 7 × 96 | 1 × 1 | 1 | 576 | ✓ | HS |
| Pool | 7 × 7 × 576 | 7 × 7 | 1 | |||
| Conv2d, NBN | 1 × 1 × 576 | 1 | 1024 | HS | ||
| Conv2d, NBN | 1 × 1 × 1024 | 1 × 1 | 1 | 9 |
| Layer | SE | Filter Size | Stride | Repeat | Output Channel |
|---|---|---|---|---|---|
| Conv2d | 3 × 3 | 2 | 1 | 24 | |
| Fused-MBConv1 | 3 × 3 | 1 | 2 | 24 | |
| Fused-MBConv4 | 3 × 3 | 2 | 4 | 48 | |
| Fused-MBConv4 | 3 × 3 | 2 | 4 | 64 | |
| MBConv4 | ✓ | 3 × 3 | 2 | 6 | 128 |
| MBConv6 | ✓ | 3 × 3 | 1 | 9 | 160 |
| MBConv6 | ✓ | 3 × 3 | 2 | 15 | 256 |
| Conv2d | 1 × 1 | 1 | 1280 | ||
| Pool | 7 × 7 | 1 | |||
| FC | 1 | 9 |
| Class Label | Original Training Data | Augmented Training Data | Testing Data |
|---|---|---|---|
| Center | 3435 | 10,000 | 859 |
| Donut | 444 | 10,000 | 111 |
| Edge-loc | 4151 | 10,000 | 1038 |
| Edge-ring | 7744 | 10,000 | 1936 |
| Loc | 2874 | 10,000 | 719 |
| Near-full | 119 | 10,000 | 30 |
| Random | 693 | 10,000 | 173 |
| Scratch | 954 | 10,000 | 239 |
| None | 117,945 | 117,945 | 29,486 |
| Total | 138,360 | 197,945 | 34,590 |
| Prediction | |||
|---|---|---|---|
| Positive | Negative | ||
| Actual | Positive | TP; True Positive | FN; False Negative |
| Negative | FP; False Positive | TN; True Negative | |
| Model | Training | Validation | ||
|---|---|---|---|---|
| Accuracy | F1 Score | Accuracy | F1 Score | |
| ResNet18 | ||||
| EfficientNetV2 | ||||
| ShuffleNetV2 | ||||
| ShuffleNetV2 0.5× | ||||
| MobileNetV2 | ||||
| MobileNetV3 | ||||
| CNN-WDI [5] | ||||
| Model | Accuracy | Precision | Recall | F1 Score |
|---|---|---|---|---|
| ResNet18 | 0.980 | 0.915 | 0.877 | 0.895 |
| EfficientNetV2 | 0.979 | 0.918 | 0.868 | 0.885 |
| ShuffleNetV2 | 0.980 | 0.929 | 0.871 | 0.892 |
| ShuffleNetV2 0.5× | 0.979 | 0.920 | 0.858 | 0.884 |
| MobileNetV2 | 0.979 | 0.873 | 0.907 | 0.886 |
| MobileNetV3 | 0.980 | 0.909 | 0.885 | 0.895 |
| CNN-WDI [5] | 0.979 | 0.938 | 0.861 | 0.895 |
| Model | Params (M) | Memory (MB) | MAdds | MFLOPs |
|---|---|---|---|---|
| ResNet18 | 11.2 | 22.1 | 3640 | 1820 |
| EfficientNetV2 | 20.3 | 139 | 5780 | 2900 |
| ShuffleNetV2 | 1.3 | 18.6 | 295 | 149 |
| ShuffleNetV2 0.5× | 0.4 | 8.9 | 82 | 42 |
| MobileNetV2 | 2.2 | 74.2 | 625 | 319 |
| MobileNetV3 | 1.5 | 16.1 | 117 | 60 |
| CNN-WDI [5] | 2.7 | 8.5 | 597 | 301 |
| Model | Training (Images/s) | Inference (Images/s) | ||
|---|---|---|---|---|
| GPU | CPU | GPU | CPU | |
| ResNet18 | 66.8 | 2.7 | 212.4 | 7.5 |
| EfficientNetV2 | 171.7 | - | 544.7 | - |
| ShuffleNetV2 | 463.8 | 3.9 | 912.4 | 11.8 |
| ShuffleNetV2 0.5× | 511.2 | - | 1026.7 | - |
| MobileNetV2 | 363.1 | 2.0 | 977.5 | 6.2 |
| MobileNetV3 | 480.1 | 5.4 | 1046.0 | 18.4 |
| CNN-WDI [5] | 416.7 | 4.7 | 833.3 | 13.4 |
| Model | Image Size | F1 Score | MFLOPs | Throughput |
|---|---|---|---|---|
| ShuffleNetV2 | 224 | 0.890 | 149 | 463.8 |
| ShuffleNetV2 | 96 | 0.832 | 27 | 788.5 (1.7×) |
| MobileNetV3 | 224 | 0.893 | 60 | 480.1 |
| MobileNetV3 | 96 | 0.845 | 12 | 672.1 (1.4×) |
Disclaimer/Publisher’s Note: The statements, opinions and data contained in all publications are solely those of the individual author(s) and contributor(s) and not of MDPI and/or the editor(s). MDPI and/or the editor(s) disclaim responsibility for any injury to people or property resulting from any ideas, methods, instructions or products referred to in the content. |
© 2023 by the authors. Licensee MDPI, Basel, Switzerland. This article is an open access article distributed under the terms and conditions of the Creative Commons Attribution (CC BY) license (https://creativecommons.org/licenses/by/4.0/).
Share and Cite
Shin, E.; Yoo, C.D. Efficient Convolutional Neural Networks for Semiconductor Wafer Bin Map Classification. Sensors 2023, 23, 1926. https://doi.org/10.3390/s23041926
Shin E, Yoo CD. Efficient Convolutional Neural Networks for Semiconductor Wafer Bin Map Classification. Sensors. 2023; 23(4):1926. https://doi.org/10.3390/s23041926
Chicago/Turabian StyleShin, Eunmi, and Chang D. Yoo. 2023. "Efficient Convolutional Neural Networks for Semiconductor Wafer Bin Map Classification" Sensors 23, no. 4: 1926. https://doi.org/10.3390/s23041926
APA StyleShin, E., & Yoo, C. D. (2023). Efficient Convolutional Neural Networks for Semiconductor Wafer Bin Map Classification. Sensors, 23(4), 1926. https://doi.org/10.3390/s23041926
