Imbedding Pd Nanoparticles into Porous In2O3 Structure for Enhanced Low-Concentration Methane Sensing
Abstract
1. Introduction
2. Experimental Section
2.1. Materials
2.2. Preparation of Pd Nanoparticles Suspension, Porous Hollow In2O3 Tubes and Pd@In2O3 Porous Hollow Tubes
2.3. Characterizations
2.4. Sensing Performances Test
3. Results and Discussion
3.1. Characterizations
3.2. Gas-Sensing Performances towards Methane
3.3. Gas-Sensing Mechanism
4. Conclusions
Author Contributions
Funding
Institutional Review Board Statement
Data Availability Statement
Conflicts of Interest
References
- Schoonbaert, S.; Tyner, D.; Johnson, M. Remote ambient methane monitoring using fiber-optically coupled optical sensors. Appl. Phys. B Lasers Opt. 2015, 119, 133–142. [Google Scholar] [CrossRef]
- Xue, D.; Wang, Y.; Cao, J.; Sun, G.; Zhang, Z. Improving methane gas sensing performance of flower-like SnO2 decorated by WO3 nanoplates. Talanta 2019, 199, 603–611. [Google Scholar] [CrossRef] [PubMed]
- Zhang, D.; Chang, H.; Sun, Y.; Jiang, C.; Yao, Y.; Zhang, Y. Fabrication of platinum-loaded cobalt oxide/molybdenum disulfide nanocomposite toward methane gas sensing at low temperature. Sens. Actuators B Chem. 2017, 252, 624–632. [Google Scholar] [CrossRef]
- Smedt, G.D.; Corte, F.; Notele, R.; Berghmans, J. Comparison of two standard test methods for determining explosion limits of gases at atmospheric conditions. J. Hazard. Mater. 1999, 70, 105–113. [Google Scholar] [CrossRef] [PubMed]
- Eugster, W.; Kling, G. Performance of a low-cost methane sensor for ambient concentration measurements in preliminary studies. Atmos. Meas. Tech. 2012, 5, 1925–1934. [Google Scholar] [CrossRef]
- Hao, S.; Wen, J.; Yu, X.; Chu, W. Effect of the surface oxygen groups on methane adsorption on coals. Appl. Surf. Sci. 2013, 264, 433–442. [Google Scholar] [CrossRef]
- Lawrence, N. Analytical detection methodologies for methane and related hydrocarbons. Talanta 2006, 69, 385–392. [Google Scholar] [CrossRef]
- Zhang, B.; Wang, Y.; Meng, X.; Zhang, Z.; Mu, S. High response methane sensor based on Au-modified hierarchical porous nanosheets-assembled ZnO microspheres. Mater. Chem. Phys. 2020, 250, 123027. [Google Scholar] [CrossRef]
- Kooti, M.; Keshtkar, S.; Askarieh, M.; Rashidi, A. Progress toward a novel methane gas sensor based on SnO2 nanorods-nanoporous graphene hybrid. Sens. Actuators B Chem. 2019, 281, 96–106. [Google Scholar] [CrossRef]
- Vuong, N.; Hieu, N.; Hieu, H.; Yi, H.; Kim, D.; Han, Y.-S.; Kim, M. Ni2O3-decorated SnO2 particulate films for methane gas sensors. Sens. Actuators B Chem. 2014, 192, 327–333. [Google Scholar] [CrossRef]
- Wang, J.; Hu, C.; Xia, Y.; Zhang, B. Mesoporous ZnO nanosheets with rich surface oxygen vacancies for UV-activated methane gas sensing at room temperature. Sens. Actuators B Chem. 2021, 333, 129547. [Google Scholar] [CrossRef]
- Barreca, D.; Bekermann, D.; Comini, E.; Devi, A.; Fischer, R.; Gasparotto, A.; Maccato, C.; Sberveglieri, G.; Tondello, E. 1D ZnO nano-assemblies by Plasma-CVD as chemical sensors for flammable and toxic gases. Sens. Actuators B Chem. 2010, 149, 1–7. [Google Scholar] [CrossRef]
- Prasad, A.; Amirthapandian, S.; Dhara, S.; Dash, S.; Murali, N.; Tyagi, A. Novel single phase vanadium dioxide nanostructured films for methane sensing near room temperature. Sens. Actuators B Chem. 2014, 191, 252–256. [Google Scholar] [CrossRef]
- Zhang, S.; Zhang, B.; Zhang, B.; Wang, Y.; Bala, H.; Zhang, Z. Structural evolution of NiO from porous nanorods to coral-like nanochains with enhanced methane sensing performance. Sens. Actuators B Chem. 2021, 334, 129645. [Google Scholar] [CrossRef]
- Wang, Y.; Yao, M.; Guan, R.; Zhang, Z.; Cao, J. Enhanced methane sensing performance of NiO decorated In2O3 nanospheres composites at low temperature. J. Alloys Compd. 2021, 854, 157169. [Google Scholar] [CrossRef]
- Shaalan, N.; Rashad, M.; Abdel-Rahim, M. Repeatability of indium oxide gas sensors for detecting methane at low temperature. Mater. Sci. Semicond. Process. 2016, 56, 260–264. [Google Scholar] [CrossRef]
- Shen, Y.; Bi, H.; Li, T.; Zhong, X.; Chen, X.; Fan, A.; Wei, D. Low-temperature and highly enhanced NO2 sensing performance of Au-functionalized WO3 microspheres with a hierarchical nanostructure. Appl. Surf. Sci. 2018, 434, 922–931. [Google Scholar] [CrossRef]
- Han, S.; Herman, G.; Chang, C. Low-temperature, high-performance, solution-processed indium oxide thin-film transistors. J. Am. Chem. Soc. 2011, 133, 5166–5169. [Google Scholar] [CrossRef]
- Xue, D.; Zhang, S.; Zhang, Z. Hydrothermal synthesis of methane sensitive porous In2O3 nanosheets. Mater. Lett. 2019, 252, 169–172. [Google Scholar] [CrossRef]
- Vuong, N.; Hieu, N.; Kim, D.; Choi, B.; Kim, M. Ni2O3 decoration of In2O3 nanostructures for catalytically enhanced methane sensing. Appl. Surf. Sci. 2014, 317, 765–770. [Google Scholar] [CrossRef]
- Xue, D.; Wang, Y.; Zhang, Z.; Cao, J. Porous In2O3 nanospheres with high methane sensitivity: A combined experimental and first-principle study. Sens. Actuator A Phys. 2020, 305, 111944. [Google Scholar] [CrossRef]
- Nguyen, C.; Vu, N.; Do, T.-O. Recent advances in the development of sunlight-driven hollow structure photocatalysts and their applications. J. Mater. Chem. A 2015, 3, 18345–18359. [Google Scholar] [CrossRef]
- Corma, A.; Garcia, H.; Xamena, F. Engineering Metal Organic Frameworks for Heterogeneous Catalysis. Chem. Rev. 2010, 110, 4606–4655. [Google Scholar] [CrossRef] [PubMed]
- Guo, W.; Sun, W.; Wang, Y. Multilayer CuO@NiO Hollow Spheres: Microwave-Assisted Metal-Organic-Framework Derivation and Highly Reversible Structure-Matched Stepwise Lithium Storage. ACS Appl. Nano Mater. 2015, 9, 11462–11471. [Google Scholar] [CrossRef]
- Zou, X.; Zhu, G.; Hewitt, I.; Sun, F.; Qiu, S. Synthesis of a metal-organic framework film by direct conversion technique for VOCs sensing. Dalton Trans. 2009, 3009–3013. [Google Scholar] [CrossRef]
- Zheng, G.; Pastoriza-Santos, I.; Pérez-Juste, J.; Liz-Marzán, L. Plasmonic metal-organic frameworks. SmartMat 2021, 2, 446–465. [Google Scholar] [CrossRef]
- Sun, J.-K.; Xu, Q. Functional materials derived from open framework templates/precursors: Synthesis and applications. Energy Environ. Sci. 2014, 7, 2071–2100. [Google Scholar] [CrossRef]
- Li, R.; Sun, L.; Zhan, W.; Li, Y.-A.; Wang, X.; Han, X. Engineering an effective noble-metal-free photocatalyst for hydrogen evolution: Hollow hexagonal porous micro-rods assembled from In2O3@carbon core-shell nanoparticles. J. Mater. Chem. A 2018, 6, 15747–15754. [Google Scholar] [CrossRef]
- Li, S.; Xie, L.; He, M.; Hu, X.; Luo, G.; Chen, C.; Zhu, Z. Metal-Organic frameworks-derived bamboo-like CuO/In2O3 Heterostructure for high-performance H2S gas sensor with Low operating temperature. Sens. Actuators B Chem. 2020, 310, 127828. [Google Scholar] [CrossRef]
- Ma, J.; Fan, H.; Zheng, X.; Wang, H.; Zhao, N.; Zhang, M.; Yadava, A.; Wang, W.; Dong, W.; Wang, S. Facile metal-organic frameworks-templated fabrication of hollow indium oxide microstructures for chlorine detection at low temperature. J. Hazard. Mater. 2020, 387, 122017. [Google Scholar] [CrossRef]
- Wang, Y.; Meng, X.; Yao, M.; Sun, G.; Zhang, Z. Enhanced CH4 sensing properties of Pd modified ZnO nanosheets. Ceram. Int. 2019, 45, 13150–13157. [Google Scholar] [CrossRef]
- Yang, L.; Wang, Z.; Zhou, X.; Wu, X.; Han, N.; Chen, Y. Synthesis of Pd-loaded mesoporous SnO2 hollow spheres for highly sensitive and stable methane gas sensors. RSC Adv. 2018, 8, 24268–24275. [Google Scholar] [CrossRef] [PubMed]
- Xu, B.; Zhang, Z.; Wang, X. Formamide: An efficient solvent to synthesize water-soluble and sub-ten-nanometer nanocrystals. Nanoscale 2013, 5, 4495–4505. [Google Scholar] [CrossRef] [PubMed]
- Wang, S.; Guan, B.; Lu, Y.; Lou, X. Formation of Hierarchical In2S3-CdIn2S4 Heterostructured Nanotubes for Efficient and Stable Visible Light CO2 Reduction. J. Am. Chem. Soc. 2017, 139, 17305–17308. [Google Scholar] [CrossRef] [PubMed]
- Tshabalala, Z.; Shingange, K.; Dhonge, B.; Ntwaeaborwa, O.; Mhlongo, G.; Motaung, D. Fabrication of ultra-high sensitive and selective CH4 room temperature gas sensing of TiO2 nanorods: Detailed study on the annealing temperature. Sens. Actuators B Chem. 2017, 238, 402–419. [Google Scholar] [CrossRef]
- Wang, H.; Zhuo, S.; Liang, Y.; Han, X.; Zhang, B. General Self-Template Synthesis of Transition-Metal Oxide and Chalcogenide Mesoporous Nanotubes with Enhanced Electrochemical Performances. Angew. Chem. Int. Ed. 2016, 55, 9055–9059. [Google Scholar] [CrossRef] [PubMed]
- Lei, F.; Sun, Y.; Liu, K.; Gao, S.; Liang, L.; Pan, B.; Xie, Y. Oxygen vacancies confined in ultrathin indium oxide porous sheets for promoted visible-light water splitting. J. Am. Chem. Soc. 2014, 136, 6826–6829. [Google Scholar] [CrossRef]
- Wang, L.; Gao, J.; Wu, B.; Kan, K.; Xu, S.; Xie, Y.; Li, L.; Shi, K. Designed Synthesis of In2O3 Beads@TiO2-In2O3 Composite Nanofibers for High Performance NO2 Sensor at Room Temperature. ACS Appl. Mater. Interfaces 2015, 7, 27152–27159. [Google Scholar] [CrossRef]
- Lupan, O.; Postica, V.; Hoppe, M.; Wolff, N.; Polonskyi, O.; Pauporte, T.; Viana, B.; Majerus, O.; Kienle, L.; Faupel, F.; et al. PdO/PdO2 functionalized ZnO: Pd films for lower operating temperature H2 gas sensing. Nanoscale 2018, 10, 14107–14127. [Google Scholar] [CrossRef]
- Rai, P.; Yoon, J.-W.; Kwak, C.-H.; Lee, J.-H. Role of Pd nanoparticles in gas sensing behaviour of Pd@In2O3 yolk-shell nanoreactors. J. Mater. Chem. A 2016, 4, 264–269. [Google Scholar] [CrossRef]
- Mahara, Y.; Tojo, T.; Murata, K.; Ohyama, J.; Satsuma, A. Methane combustion over Pd/CoAl2O4/Al2O3 catalysts prepared by galvanic deposition. RSC Adv. 2017, 7, 34530–34537. [Google Scholar] [CrossRef]
- Li, X.; He, X.; Liu, X.; He, L.-N. Ruthenium-promoted reductive transformation of CO2. Sci. China Chem. 2017, 60, 841–852. [Google Scholar] [CrossRef]
- Dai, Z.; Lee, C.-S.; Kim, B.-Y.; Kwak, C.-H.; Yoon, J.-W.; Jeong, H.-M.; Lee, J.-H. Honeycomb-like periodic porous LaFeO3 thin film chemiresistors with enhanced gas-sensing performances. ACS Appl. Mater. Interfaces 2014, 6, 16217–16226. [Google Scholar] [CrossRef] [PubMed]
- Dai, Z.; Lee, C.-S.; Tian, Y.; Kim, I.-D.; Lee, J.-H. Highly reversible switching from P- to N-type NO2 sensing in a monolayer Fe2O3 inverse opal film and the associated P–N transition phase diagram. J. Mater. Chem. A 2015, 3, 3372–3381. [Google Scholar] [CrossRef]
- Shanmugasundaram, A.; Ramireddy, B.; Basak, P.; Manorama, S.; Srinath, S. Hierarchical In(OH)3 as a Precursor to Mesoporous In2O3 Nanocubes: A Facile Synthesis Route, Mechanism of Self-Assembly, and Enhanced Sensing Response toward Hydrogen. J. Phys. Chem. C 2014, 118, 6909–6921. [Google Scholar] [CrossRef]
- Du, W.; Si, W.; Wang, F.; Lv, L.; Wu, L.; Wang, Z.; Liu, J.; Liu, W. Creating oxygen vacancies on porous indium oxide nanospheres via metallic aluminum reduction for enhanced nitrogen dioxide detection at low temperature. Sens. Actuators B Chem. 2020, 303, 127221. [Google Scholar] [CrossRef]
- Li, K.; Luo, Y.; Liu, B.; Gao, L.; Duan, G. High-performance NO2-gas sensing of ultrasmall ZnFe2O4 nanoparticles based on surface charge transfer. J. Mater. Chem. A 2019, 7, 5539–5551. [Google Scholar] [CrossRef]
- Xue, D.; Wang, J.; Wang, Y.; Sun, G.; Cao, J.; Bala, H.; Zhang, Z. Enhanced Methane Sensing Properties of WO3 Nanosheets with Dominant Exposed (200) Facet via Loading of SnO2 Nanoparticles. Nanomaterials 2019, 9, 351. [Google Scholar] [CrossRef]
- Chen, A.; Bai, S.; Shi, B.; Liu, Z.; Li, D.; Liu, C. Methane gas-sensing and catalytic oxidation activity of SnO2–In2O3 nanocomposites incorporating TiO2. Sens. Actuators B Chem. 2008, 135, 7–12. [Google Scholar] [CrossRef]
- Wang, D.; Wan, K.; Zhang, M.; Li, H.; Wang, P.; Wang, X.; Yang, J. Constructing hierarchical SnO2 nanofiber/nanosheets for efficient formaldehyde detection. Sens. Actuators B Chem. 2019, 283, 714–723. [Google Scholar] [CrossRef]
- Peng, L.; Zhao, Q.; Wang, D.; Zhai, J.; Wang, P.; Pang, S.; Xie, T. Ultraviolet-assisted gas sensing: A potential formaldehyde detection approach at room temperature based on zinc oxide nanorods. Sens. Actuators B Chem. 2009, 136, 80–85. [Google Scholar] [CrossRef]
- Wang, Y.; Cui, Y.; Meng, X.; Zhang, Z.; Cao, J. A gas sensor based on Ag-modified ZnO flower-like microspheres: Temperature-modulated dual selectivity to CO and CH4. Surf. Interfaces 2021, 24, 101110. [Google Scholar] [CrossRef]
- Liu, S.; Xie, M.; Li, Y.; Guo, X.; Ji, W.; Ding, W. Synthesis and selective gas-sensing properties of hierarchically porous intestine-like SnO2 hollow nanostructures. Mater. Chem. Phys. 2010, 123, 109–113. [Google Scholar] [CrossRef]
- Li, G.; Wang, X.; Yan, L.; Wang, Y.; Zhang, Z.; Xu, J. PdPt Bimetal-Functionalized SnO2 Nanosheets: Controllable Synthesis and its Dual Selectivity for Detection of Carbon Monoxide and Methane. ACS Appl. Mater. Interfaces 2019, 11, 26116–26126. [Google Scholar] [CrossRef]
- Min, B.-K.; Choi, S.-D. Undoped and 0.1wt.% Ca-doped Pt-catalyzed SnO2 sensors for CH4 detection. Sens. Actuators B Chem. 2005, 108, 119–124. [Google Scholar] [CrossRef]
- Wagner, T.; Bauer, M.; Sauerwald, T.; Kohl, C.; Tiemann, M. X-ray absorption near-edge spectroscopy investigation of the oxidation state of Pd species in nanoporous SnO2 gas sensors for methane detection. Thin Solid Film. 2011, 520, 909–912. [Google Scholar] [CrossRef]
- Lu, W.; Ding, D.; Xue, Q.; Du, Y.; Xiong, Y.; Zhang, J.; Pan, X.; Xing, W. Great enhancement of CH4 sensitivity of SnO2 based nanofibers by heterogeneous sensitization and catalytic effect. Sens. Actuators B Chem. 2018, 254, 393–401. [Google Scholar] [CrossRef]
- Cao, Y.; Zhao, J.; Zou, X.; Jin, P.-P.; Chen, H.; Gao, R.; Zhou, L.-J.; Zou, Y.-C.; Li, G.-D. Synthesis of porous In2O3 microspheres as a sensitive material for early warning of hydrocarbon explosions. RSC Adv. 2015, 5, 5424–5431. [Google Scholar] [CrossRef]
- Takata, M.; Tsubone, D.; Yanagida, H. Dependence of Electrical Conductivity of ZnO on Degree of Sintering. J. Am. Ceram. Soc. 1976, 59, 4–8. [Google Scholar] [CrossRef]
- Song, F.; Su, H.; Han, J.; Xu, J.; Zhang, D. Controllable synthesis and gas response of biomorphic SnO2 with architecture hierarchy of butterfly wings. Sens. Actuators B Chem. 2010, 145, 39–45. [Google Scholar] [CrossRef]
- Shinde, V.; Gujar, T.; Lokhande, C. Enhanced response of porous ZnO nanobeads towards LPG: Effect of Pd sensitization. Sens. Actuators B Chem. 2007, 123, 701–706. [Google Scholar] [CrossRef]
- Amutha, A.; Amirthapandian, S.; Prasad, A.; Panigrahi, B.; Thangadurai, P. Methane gas sensing at relatively low operating temperature by hydrothermally prepared SnO2 nanorods. J. Nanopart. Res. 2015, 17, 289. [Google Scholar] [CrossRef]
- Kumaravel, V.; Mathew, S.; Bartlett, J.; Pillai, S. Photocatalytic hydrogen production using metal doped TiO2: A review of recent advances. Appl. Catal. B Environ. 2019, 244, 1021–1064. [Google Scholar] [CrossRef]
- Wang, Y.; Li, Y.; Yu, K.; Zhu, Z. Controllable synthesis and field emission enhancement of Al2O3 coated In2O3 core–shell nanostructures. J. Phys. D Appl. Phys. 2011, 44, 105301. [Google Scholar] [CrossRef]
- Tait, S.; Dohnálek, Z.; Campbell, C.; Kay, B. Methane adsorption and dissociation and oxygen adsorption and reaction with CO on Pd nanoparticles on MgO(100) and on Pd(111). Surf. Sci. 2005, 591, 90–107. [Google Scholar] [CrossRef]
- Jang, B.-H.; Landau, O.; Choi, S.-J.; Shin, J.; Rothschild, A.; Kim, I.-D. Selectivity enhancement of SnO2 nanofiber gas sensors by functionalization with Pt nanocatalysts and manipulation of the operation temperature. Sens. Actuators B Chem. 2013, 188, 156–168. [Google Scholar] [CrossRef]
- Basu, S.; Basu, P. Nanocrystalline Metal Oxides for Methane Sensors: Role of Noble Metals. J. Sens. 2009, 2009, 861968. [Google Scholar] [CrossRef]









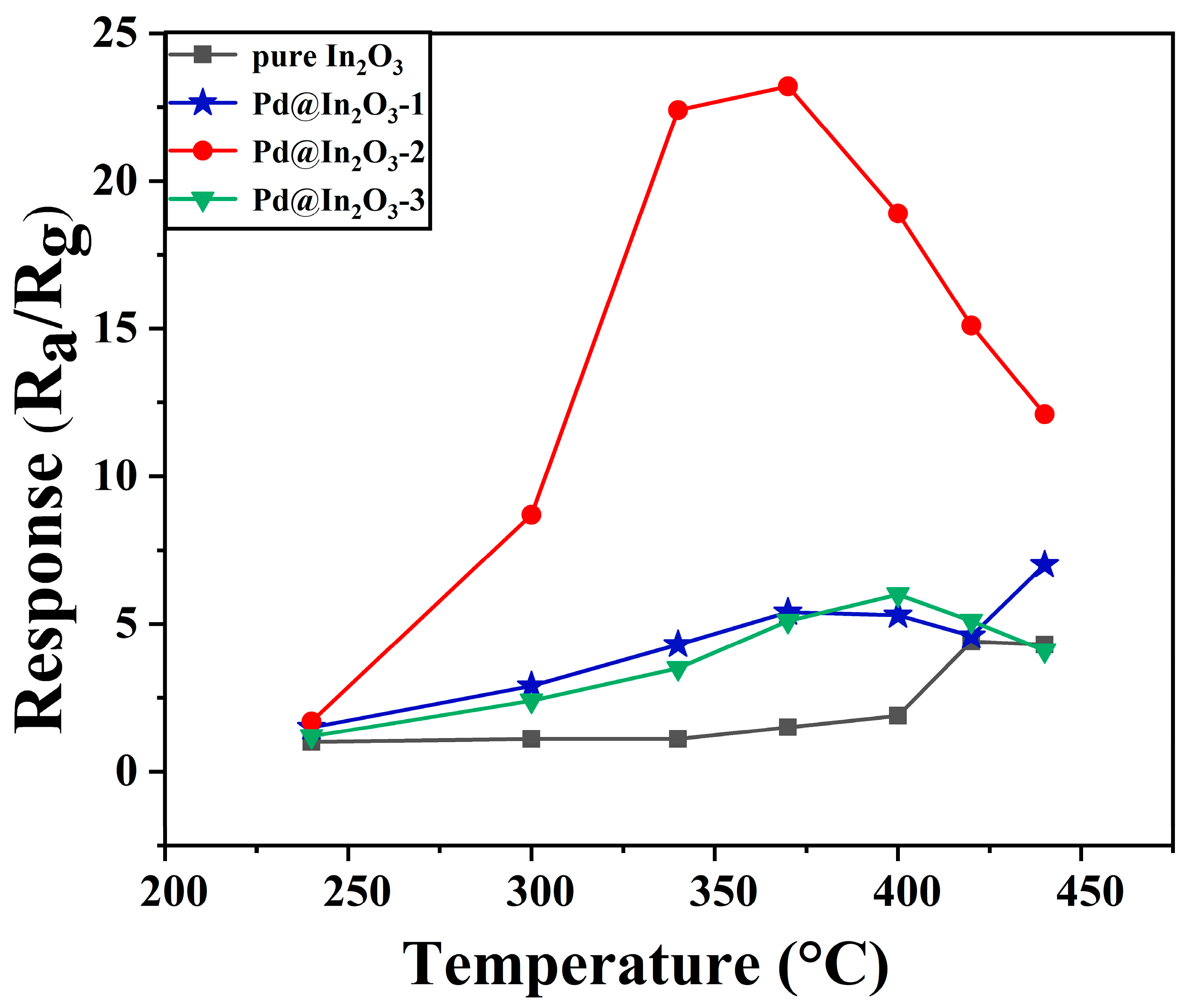
| Sample | 240 °C | 300 °C | 340 °C | 370 °C | 400 °C | 420 °C | 440 °C |
|---|---|---|---|---|---|---|---|
| In2O3 | 1.0 | 1.1 | 1.1 | 1.5 | 1.9 | 4.4 | 4.3 |
| Pd@In2O3-1 | 1.5 | 2.9 | 4.3 | 5.4 | 5.3 | 4.6 | 7.0 |
| Pd@In2O3-2 | 1.7 | 8.7 | 22.4 | 23.2 | 18.9 | 15.1 | 12.1 |
| Pd@In2O3-3 | 1.2 | 2.4 | 3.5 | 5.1 | 6.0 | 5.1 | 4.1 |
| Sensing Materials | Sensitivity | O. T. (°C) | Concentration (ppm) | Tres/Trec (s) | Ref. |
|---|---|---|---|---|---|
| SnO2 | 1.25 | 400 | 1000 | 14/37 | [53] |
| PdPt/SnO2 | 5.2 | 320 | 1000 | 5/4 | [54] |
| Pt/SnO2 | 2.13 | 325 | 5000 | -/- | [55] |
| SnO2-Pd | 20 | 400 | 6600 | -/- | [56] |
| Pt-SnO2 | 4.5 | 350 | 1000 | 30/150 | [57] |
| In2O3 film | 2.25 | 300 | 10,000 | 200/- | [16] |
| In2O3 spheres | 6.50 | 350 | 5000 | -/- | [58] |
| Pd@In2O3 PHTs | 23.2 | 370 | 5000 | 7/5 | This work |
Disclaimer/Publisher’s Note: The statements, opinions and data contained in all publications are solely those of the individual author(s) and contributor(s) and not of MDPI and/or the editor(s). MDPI and/or the editor(s) disclaim responsibility for any injury to people or property resulting from any ideas, methods, instructions or products referred to in the content. |
© 2023 by the authors. Licensee MDPI, Basel, Switzerland. This article is an open access article distributed under the terms and conditions of the Creative Commons Attribution (CC BY) license (https://creativecommons.org/licenses/by/4.0/).
Share and Cite
Zuo, X.; Yang, Z.; Kong, J.; Han, Z.; Zhang, J.; Meng, X.; Hao, S.; Wu, L.; Wu, S.; Liu, J.; et al. Imbedding Pd Nanoparticles into Porous In2O3 Structure for Enhanced Low-Concentration Methane Sensing. Sensors 2023, 23, 1163. https://doi.org/10.3390/s23031163
Zuo X, Yang Z, Kong J, Han Z, Zhang J, Meng X, Hao S, Wu L, Wu S, Liu J, et al. Imbedding Pd Nanoparticles into Porous In2O3 Structure for Enhanced Low-Concentration Methane Sensing. Sensors. 2023; 23(3):1163. https://doi.org/10.3390/s23031163
Chicago/Turabian StyleZuo, Xiaoyang, Zhengyi Yang, Jing Kong, Zejun Han, Jianxin Zhang, Xiangwei Meng, Shuyan Hao, Lili Wu, Simeng Wu, Jiurong Liu, and et al. 2023. "Imbedding Pd Nanoparticles into Porous In2O3 Structure for Enhanced Low-Concentration Methane Sensing" Sensors 23, no. 3: 1163. https://doi.org/10.3390/s23031163
APA StyleZuo, X., Yang, Z., Kong, J., Han, Z., Zhang, J., Meng, X., Hao, S., Wu, L., Wu, S., Liu, J., Wang, Z., & Wang, F. (2023). Imbedding Pd Nanoparticles into Porous In2O3 Structure for Enhanced Low-Concentration Methane Sensing. Sensors, 23(3), 1163. https://doi.org/10.3390/s23031163

