Machine Learning for the Detection and Diagnosis of Anomalies in Applications Driven by Electric Motors
Abstract
:1. Introduction
- To apply data science and ML algorithms targeting the PdM of specific industrial equipment to assess their effectiveness in detecting anomalies.
- To verify whether data science and ML algorithms can help define the instrumentation configuration in a PdM application.
2. Related Works
2.1. Industrial Maintenance
Maintenance Strategies
- Reactive Maintenance: This is also known as corrective maintenance or run-to-failure maintenance mode. According to the standard BS EN 13306:2017 [12], reactive maintenance is performed after fault recognition and is aimed at restoring an item to a state where it can perform a necessary function. Exclusively relying on reactive maintenance often results in a substantial number of unplanned maintenance tasks, elevated inventories of spare parts, and inefficient allocation of maintenance resources (NASA, 2008 [14]).
- Preventive Maintenance: This is performed according to established time intervals or the number of units in use but without prior investigation of the condition of the system (BS EN 13306:2017 [12]). While preventive maintenance may not be the ideal maintenance approach, it offers several advantages compared to a purely reactive program. For instance, it helps ensure the system’s designed lifespan and reduces the frequency and severity of unplanned machine failures (FEMP, 2010 [13]; NASA, 2008 [14]).
- Predictive Maintenance (PdM): This is also known as condition-based maintenance. PdM is performed according to forecasts extrapolated from repeated analyses or known characteristics and evaluations of significant parameters related to the degradation of an item (BS EN 13306:2017 [12]). PdM is conducted according to the actual condition of the system, rather than a predefined schedule like preventive maintenance (FEMP, 2010 [13]). According to Theissler et al. (2021) [17], PdM aims to predict the ideal time for maintenance actions, taking into account information about the state of health of the system and/or data maintenance history. Furthermore, according to the same author, it aims to prevent early and expensive repairs by ensuring timely maintenance before any failures occur.
2.2. Machine Learning for Predictive Maintenance
- Model-based prognosis;
- Knowledge-based prognosis;
- Data-based prognosis.
- Data acquisition and pre-processing: data collection and treatment, either monosensory or multisensory;
- Feature engineering: extraction, concatenation, and selection of attributes/characteristics representative of the system’s condition;
- Model training and prediction: the model is generated and optimized for use in forecasts.
Applications in Rotating Machines
- To determine whether the equipment is normal;
- To find the incipient failure and its cause;
- To forecast the trend of fault development.
3. Methodology
- Experimental Bench: Prepare the experimental bench to generate datasets encompassing 5 distinct scenarios in applications powered by electric motors: normal operating conditions and four anomaly scenarios. These various scenarios correspond to the dataset classes representing anomalies that can occur.
- DAQ/Pre-Processing: Collect data from various sources, perform data cleansing, and convert the data into a usable format.
- Feature Engineering: Based on the literature, generate attributes from signals collected in the previous step, concatenate them, and select relevant attributes.
- Modeling: Select classifier models from the literature and optimize them by applying a minimum of 5 different parameterizations for each algorithm.
- Model Selection: Evaluate classifier performance and select the best model.
3.1. Resources and Technologies
3.1.1. Electromechanical Device
3.1.2. Instrumentation
3.2. Requirements and Data Collection
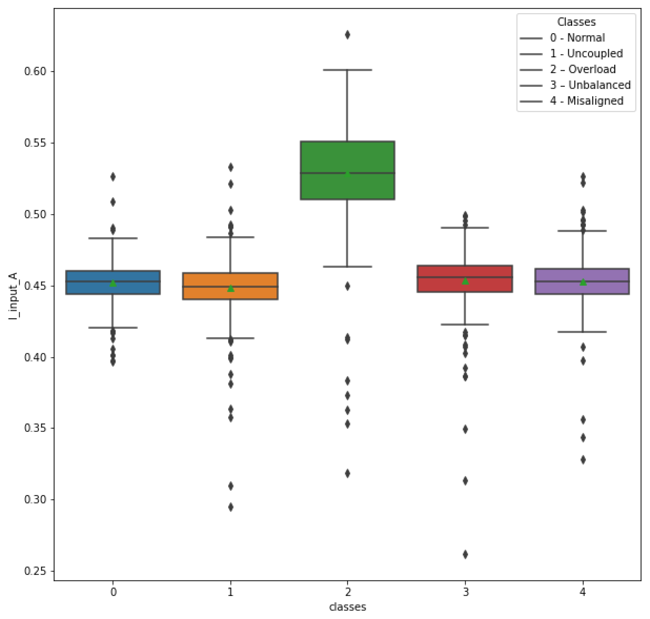
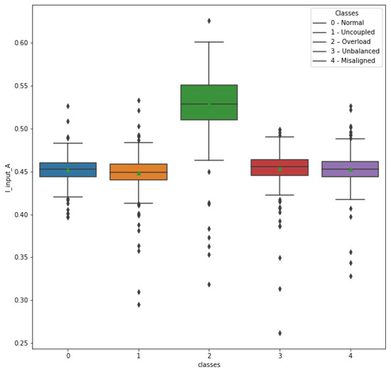
- Normal: Endless shaft coupling with the crown gear, without overload or imbalance and misalignment of the set driven by the electric motor (Figure 10).
- Uncoupled: Decoupling the crown gear from the endless shaft, moving the crown gear away in the direction of the red arrow, as illustrated in Figure 11. Thus, the driven shaft rotates “no load”, with no torque generated by the coupling with the crown gear. This condition simulates a possible interruption of transmission from the rotary movement of the motor shaft to the driven mechanism.
- Overload: Over the crown of the worm shaft system, an extra weight is added (±981 g), causing an increase in the torque exerted on the axis of the motor (Figure 12). This situation simulates a possible torque increase caused by, for example, problems in the mechanical transmission system.
- Unbalanced: A mass of ±8.2 g imbalance is introduced (Figure 13). This situation simulates possible imbalances in the mechanics driven by the motor shaft.
- Misaligned: Angular misalignment of the endless shaft relative to the motor shaft, as illustrated in Figure 14. This situation simulates a misalignment of the mechanical assembly of the transmission with the motor shaft.
4. Experiments and Results
4.1. Data Preparation
Attribute Selection
- P_input_W;
- StdDev_I_output_A;
- Amp_I_input_A;
- Amp_P_input_W;
- Amp_I_output_A;
- Kurtosis_I_output_A.
4.2. Training of the Models
4.3. Performance Assessment and Validation
5. Conclusions and Future Work
Author Contributions
Funding
Institutional Review Board Statement
Informed Consent Statement
Data Availability Statement
Conflicts of Interest
References
- Salazar, L.A.C.; Ryashentseva, D.; Lüder, A.; Vogel-Heuser, B. Cyber-physical production systems architecture based on multi-agent’s design pattern—Comparison of selected approaches mapping four agent patterns. Int. J. Adv. Manuf. Technol. 2019, 105, 4005–4034. [Google Scholar] [CrossRef]
- Hozdic, H. Smart factory for industry 4.0: A review. Int. J. Mod. Manuf. Technol. 2015, 7, 28–35. [Google Scholar]
- Zonta, T.; Costa, C.A.; Righi, R.R.; Lima, M.J.; Trindade, E.S.; Li, G.P. Predictive maintenance in the Industry 4.0: A systematic literature review. Comput. Ind. Eng. 2020, 150, 1–17. [Google Scholar] [CrossRef]
- Carvalho, T.P.; Soares, F.A.A.M.N.; Vita, R.; Francisco, R.P.; Basto, J.P.; Alcalá, S.G.S. A systematic literature review of machine learning methods applied to predictive maintenance. Comput. Ind. Eng. 2019, 137, 106024. [Google Scholar] [CrossRef]
- Zenisek, J.; Holzinger, F.; Affenzeller, M. Machine learning based concept drift detection for predictive maintenance. Comput. Ind. Eng. 2019, 137, 106031. [Google Scholar] [CrossRef]
- Sarmiento, J.R.R.; Monroy, J.; Moreno, F.A.; Galindo, C.; Bonelo, J.M.; Jimenez, J.G. A predictive model for the maintenance of industrial machinery in the context of industry 4.0. J. Ambient. Intell. Humaniz. Comput. 2020, 11, 3233–3247. [Google Scholar]
- Cakir, M.; Guvenc, M.A.; Mistikoglu, S. The experimental application of popular machine learning algorithms on predictive maintenance and the design of IIoT based condition monitoring system. Comput. Ind. Eng. 2021, 151, 1–14. [Google Scholar] [CrossRef]
- Cavalieri, S.; Salafia, M.G. A Model for Predictive Maintenance Based on Asset Administration Shell. Sensors 2020, 20, 6028. [Google Scholar] [CrossRef] [PubMed]
- Caldana, V.M.; Da Silva, F.D.G.; Oliveira, R.A.; Borin, J.F. Internet of Things and Artificial Intelligence applied to predictive maintenance in Industry 4.0: A systematic literature review. In Proceedings of the International Conference on Industrial Engineering and Operations Management, São Paulo, Brazil, 5–8 April 2021; pp. 1387–1398. [Google Scholar]
- Lee, W.J.; Wu, H.; Yun, H.; Kim, H.; Jun, M.B.G.; Sutherland, J.W. Predictive Maintenance of Machine Tool Systems Using Artificial Intelligence Techniques Applied to Machine Condition Data. In Proceedings of the 26th CIRP Conference on Life Cycle Engineering (LCE), West Lafayette, IN, USA, 7–9 May 2019; Volume 80, pp. 506–511. [Google Scholar]
- Peres, R.S.; Jia, X.; Lee, J.; Sun, K.; Colombo, A.W. Industrial Artificial Intelligence in Industry 4.0-Systematic Review, Challenges and Outlook. IEEE Access 2020, 8, 220121–220139. [Google Scholar] [CrossRef]
- BS EN 13306; Maintenance–Maintenance Terminology. British Standards Institution: London, UK, 2017.
- Federal Energy Management Program-U.S. Department of Energy. Operations and Maintenance (O&M) Best Practices Guide; Department of Energy: Washington, DC, USA, 2010. [Google Scholar]
- National Aeronautics and Space Administration. Reliability Centered Maintenance Guide for Facilities and Collateral Equipment; National Aeronautics and Space Administration: Washington, DC, USA, 2008. [Google Scholar]
- Smith, D.J. Reliability, Maintainability and Risk. Practical Methods for Engineers, 10th ed.; Butterworth-Heinemann: Oxford, UK, 2022. [Google Scholar]
- Souza, G.F.M.; Netto, A.C.; Melani, A.H.A.; Michalski, M.A.C.; Silva, R.F. Reliability Analysis and Asset Management of Engineering Systems, 1st ed.; Elsevier: Amsterdam, The Netherlands, 2021. [Google Scholar]
- Theissler, A.; Pérez-Velázquez, J.; Kettelgerdes, M.; Elger, G. Predictive maintenance enabled by machine learning: Use cases and challenges in the automotive industry. Reliab. Eng. Syst. Saf. 2021, 215, 107864. [Google Scholar] [CrossRef]
- Zhang, W.; Yang, D. Data-Driven Methods for Predictive Maintenance of Industrial Equipment: A Survey. IEEE Syst. J. 2019, 13, 2213–2227. [Google Scholar] [CrossRef]
- Chen, C.; Liu, Y.; Wang, S.; Sun, X.; Di Cairano-Gilfedder, C.; Titmus, S.; Syntetos, A.A. Predictive maintenance using cox proportional hazard deep learning. Adv. Eng. Inform. 2020, 44, 101054. [Google Scholar] [CrossRef]
- Nacchia, M.; Fruggiero, F.; Lambiase, A.; Bruton, K. A Systematic Mapping of the Advancing Use of Machine Learning Techniques for Predictive Maintenance in the Manufacturing Sector. Appl. Sci. 2021, 11, 2546. [Google Scholar] [CrossRef]
- Nentwich, C.; Junker, S.; Reinhart, G. Data-driven Models for Fault Classification and Prediction of Industrial Robots. In Proceedings of the 53rd CIRP Conference on Manufacturing Systems, Chicago, IL, USA, 1–3 July 2020; Volume 93, pp. 1055–1060. [Google Scholar]
- Martins, J.P.S.; Rodrigues, F.M.; Henriques, N.P.F. Modeling System Based on Machine Learning Approaches for Predictive Maintenance Applications. In Engineering for Evolution, Proceedings of the International Congress on Engineering, London, UK, 1–3 July 2020; KNE Publishing: New York, NY, USA, 2020; pp. 857–871. [Google Scholar]
- Welt, R.; Estler, M.; Lucke, D. A Method for Implementation of Machine Learning Solutions for Predictive Maintenance in Small and Medium Sized Enterprises. In Proceedings of the 53rd CIRP Conference on Manufacturing Systems, Chicago, IL, USA, 1–3 July 2020; Volume 93, pp. 909–914. [Google Scholar]
- Vanderplas, J. Python Data Science Handbook: Essencial Tools for Working with Data; O’Reilly Media: Sebastopol, CA, USA, 2016. [Google Scholar]
- Lang, W.; Hu, Y.; Gong, C.; Zhang, X.; Xu, H.; Deng, J. Artificial Intelligence-based Technique for Fault Detection and Diagnosis of EV Motors: A Review. IEEE Trans. Transp. Electrif. 2021, 8, 384–406. [Google Scholar] [CrossRef]
- Liu, R.; Yang, B.; Zio, E.; Chen, X. Artificial intelligence for fault diagnosis of rotating machinery: A review. Mech. Syst. Signal Process. 2018, 108, 33–47. [Google Scholar] [CrossRef]
- AlShorman, O.; Irfan, M.; Saad, N.; Zhen, D.; Haider, N.; Glowacz, A.; Alshorman, A. A Review of Artificial Intelligence Methods for Condition Monitoring and Fault Diagnosis of Rolling Element Bearings for Induction Motor. Shock Vib. 2020, 2020, 8843759. [Google Scholar] [CrossRef]
- Nandi, S.; Toliyat, H.A.; Li, X. Condition Monitoring and Fault Diagnosis of Electrical Motors—A Review. IEEE Trans. Energy Convers. 2005, 20, 719–729. [Google Scholar] [CrossRef]
- Dias, A.L. Diagnóstico de Anomalias em Aplicações de Acionamento de Motores Elétricos a Partir de Dados de Processo de Rede PROFINET e Aprendizagem de Máquinas. Ph.D. Thesis, University of São Paulo, São Carlos School of Engineering, São Carlos, Brazil, 2019. [Google Scholar]


































| Class | Scenario |
|---|---|
| 0.0 | Normal |
| 1.0 | Uncoupled |
| 2.0 | Overload |
| 3.0 | Unbalanced |
| 4.0 | Misaligned |
Disclaimer/Publisher’s Note: The statements, opinions and data contained in all publications are solely those of the individual author(s) and contributor(s) and not of MDPI and/or the editor(s). MDPI and/or the editor(s) disclaim responsibility for any injury to people or property resulting from any ideas, methods, instructions or products referred to in the content. |
© 2023 by the authors. Licensee MDPI, Basel, Switzerland. This article is an open access article distributed under the terms and conditions of the Creative Commons Attribution (CC BY) license (https://creativecommons.org/licenses/by/4.0/).
Share and Cite
Ferraz Júnior, F.; Romero, R.A.F.; Hsieh, S.-J. Machine Learning for the Detection and Diagnosis of Anomalies in Applications Driven by Electric Motors. Sensors 2023, 23, 9725. https://doi.org/10.3390/s23249725
Ferraz Júnior F, Romero RAF, Hsieh S-J. Machine Learning for the Detection and Diagnosis of Anomalies in Applications Driven by Electric Motors. Sensors. 2023; 23(24):9725. https://doi.org/10.3390/s23249725
Chicago/Turabian StyleFerraz Júnior, Fábio, Roseli Aparecida Francelin Romero, and Sheng-Jen Hsieh. 2023. "Machine Learning for the Detection and Diagnosis of Anomalies in Applications Driven by Electric Motors" Sensors 23, no. 24: 9725. https://doi.org/10.3390/s23249725
APA StyleFerraz Júnior, F., Romero, R. A. F., & Hsieh, S.-J. (2023). Machine Learning for the Detection and Diagnosis of Anomalies in Applications Driven by Electric Motors. Sensors, 23(24), 9725. https://doi.org/10.3390/s23249725

