Design of a Remote, Multi-Range Conductivity Sensor
Abstract
:1. Introduction
2. Materials and Methods
2.1. Analytical Model
2.2. Numerical Model
2.3. Experimental Setup
3. Results
3.1. Q and Analytical
3.2. Simulated Extraction Results
3.3. Experimental Results for Low Conductivity Samples
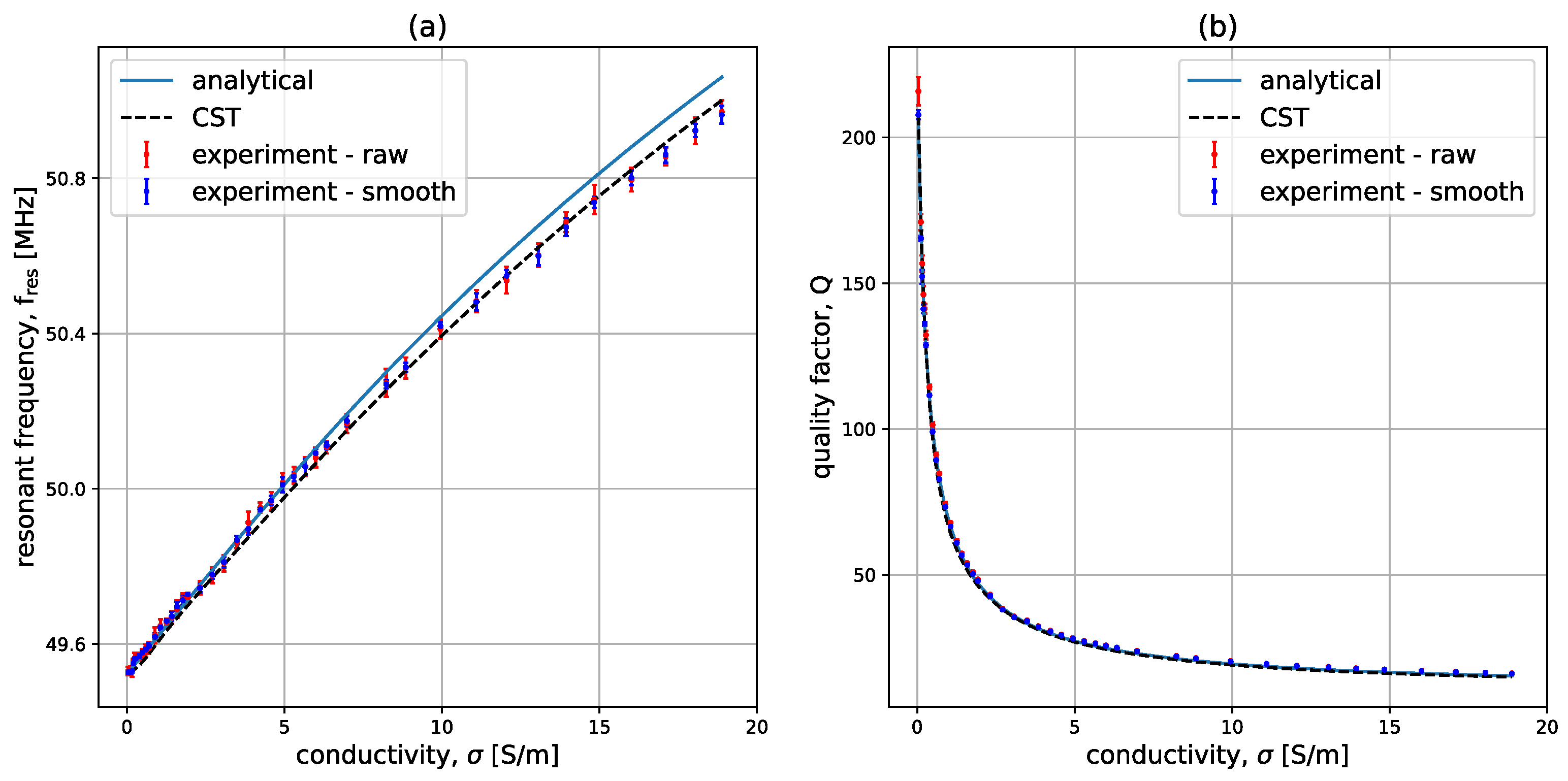
3.3.1. Comparison of f and Q
3.3.2. Extraction Results
4. Discussion and Conclusions
Author Contributions
Funding
Institutional Review Board Statement
Informed Consent Statement
Data Availability Statement
Acknowledgments
Conflicts of Interest
Appendix A. Vector Potential in a Stratified Geometry
References
- García-Martín, J.; Gómez-Gil, J.; Vázquez-Sánchez, E. Non-destructive techniques based on eddy current testing. Sensors 2011, 11, 2525–2565. [Google Scholar] [CrossRef]
- Sophian, A.; Tian, G.; Taylor, D.; Rudlin, J. Electromagnetic and eddy current NDT: A review. Insight 2001, 43, 302–306. [Google Scholar]
- Khajeh-Khalili, F.; Honarvar, M.A. Novel Tunable Peace-Logo Planar Metamaterial Unit-Cell for Millimeter-Wave Applications. ETRI J. 2018, 40, 389–395. [Google Scholar] [CrossRef]
- Rifai, D.; Abdalla, A.N.; Ali, K.; Razali, R. Giant magnetoresistance sensors: A review on structures and non-destructive eddy current testing applications. Sensors 2016, 16, 298. [Google Scholar] [CrossRef] [PubMed]
- Gong, Z.; Yang, S. Metamaterial-core probes for nondestructive eddy current testing. IEEE Trans. Instrum. Meas. 2020, 70, 1–9. [Google Scholar] [CrossRef]
- Savin, A.; Bruma, A.; Steigmann, R.; Iftimie, N.; Faktorova, D. Enhancement of spatial resolution using a metamaterial sensor in nondestructive evaluation. Appl. Sci. 2015, 5, 1412–1430. [Google Scholar] [CrossRef]
- Meng, X.; Lu, M.; Yin, W.; Bennecer, A.; Kirk, K.J. Evaluation of coating thickness using lift-off insensitivity of eddy current sensor. Sensors 2021, 21, 419. [Google Scholar] [CrossRef] [PubMed]
- Yin, W.; Peyton, A. Thickness measurement of non-magnetic plates using multi-frequency eddy current sensors. NDT E Int. 2007, 40, 43–48. [Google Scholar] [CrossRef]
- Shin, Y.-K.; Choi, D.-M.; Kim, Y.-J.; Lee, S.-S. Signal characteristics of differential-pulsed eddy current sensors in the evaluation of plate thickness. NDT E Int. 2009, 42, 215–221. [Google Scholar] [CrossRef]
- Moulder, J.C.; Uzal, E.; Rose, J.H. Thickness and conductivity of metallic layers from eddy current measurements. Rev. Sci. Instrum. 1992, 63, 3455–3465. [Google Scholar] [CrossRef]
- Pan, Y.-L.; Tai, C.-C. Thickness and conductivity analysis of molybdenum thin film in CIGS solar cells using resonant electromagnetic testing method. IEEE Trans. Magn. 2012, 48, 347–350. [Google Scholar] [CrossRef]
- Tai, C.-C.; Rose, J.H.; Moulder, J.C. Thickness and conductivity of metallic layers from pulsed eddy-current measurements. Rev. Sci. Instrum. 1996, 67, 3965–3972. [Google Scholar] [CrossRef]
- Xu, J.; Wu, J.; Xin, W.; Ge, Z. Fast measurement of the coating thickness and conductivity using eddy currents and plane wave approximation. IEEE Sens. J. 2020, 21, 306–314. [Google Scholar] [CrossRef]
- Burkhardt, J. Determination of the conductivity and thickness of conductive layers on conductive base materials. Adv. Mech. Eng. 2019, 11, 1687814019854234. [Google Scholar] [CrossRef]
- Said, N.; Abu-Nabah, B.A.; Alkhader, M. Triple-frequency eddy current estimation of nonmagnetic metal clad thicknesses over nonmagnetic metals. Measurement 2021, 182, 109668. [Google Scholar] [CrossRef]
- Xue, Z.; Fan, M.; Cao, B.; Wen, S. Enhancement of thickness measurement in eddy current testing using a log–log method. J. Nondestruct. Eval. 2021, 40, 1–10. [Google Scholar] [CrossRef]
- Le, C.D. Eddy Current Measurements of Thin-Film Metal Coatings Using a Selectable Calibration Standard. U.S. Patent 6,549,006, 15 April 2003. [Google Scholar]
- Ali, K.B.; Abdalla, A.N.; Rifai, D.; Faraj, M.A. Review on system development in eddy current testing and technique for defect classification and characterization. IET Circuits Devices Syst. 2017, 11, 338–351. [Google Scholar] [CrossRef]
- Cheng, L.; Tian, G.Y. Surface crack detection for carbon fiber reinforced plastic (CFRP) materials using pulsed eddy current thermography. IEEE Sens. J. 2011, 11, 3261–3268. [Google Scholar] [CrossRef]
- Zenzinger, G.; Bamberg, J.; Satzger, W.; Carl, V. Thermographic crack detection by eddy current excitation. Nondestruct. Test. Eval. 2007, 22, 101–111. [Google Scholar] [CrossRef]
- Chady, T.; Enokizono, M.; Sikora, R. Crack detection and recognition using an eddy current differential probe. IEEE Trans. Magn. 1999, 35, 1849–1852. [Google Scholar] [CrossRef]
- Tian, G.Y.; Sophian, A.; Taylor, D.; Rudlin, J. Multiple sensors on pulsed eddy-current detection for 3D subsurface crack assessment. IEEE Sens. J. 2005, 5, 90–96. [Google Scholar] [CrossRef]
- Nakagawa, N. A model of eddy current nondestructive evaluation for a current leaking crack. NDT E Int. 2021, 123, 102517. [Google Scholar] [CrossRef]
- Sun, H.; Yi, J.; Wang, T.; Wang, Y.; Qing, X. A new interleaving eddy current array-based sensing film for fatigue crack quantification of bolted joints. J. Intell. Mater. Syst. Struct. 2021, 32, 1867–1877. [Google Scholar] [CrossRef]
- Yu, Y.; Gao, K.; Theodoulidis, T.; Yuan, F. Analytical solution for magnetic field of cylindrical defect in eddy current nondestructive testing. Phys. Scr. 2019, 95, 015501. [Google Scholar] [CrossRef]
- Cung, L.T.; Dao, T.D.; Nguyen, P.C.; Bui, T.D. A model-based approach for estimation of the crack depth on a massive metal structure. Meas. Control 2018, 51, 182–191. [Google Scholar] [CrossRef]
- Kuyvenhoven, N.; Dean, C.; Melton, J.; Schwannecke, J.; Umenei, A. Development of a foreign object detection and analysis method for wireless power systems. In Proceedings of the 2011 IEEE Symposium on Product Compliance Engineering, San Diego, CA, USA, 10–12 October 2011; pp. 1–6. [Google Scholar]
- Chana, K.; Cardwell, D. The use of eddy current sensor based blade tip timing for FOD detection. In Proceedings of the Turbo Expo: Power for Land, Sea, and Air, Berlin, Germany, 9–13 June 2008; pp. 169–178. [Google Scholar]
- Loete, F.; Le Bihan, Y.; Mencaraglia, D. Contactless device for the fast conductivity characterization of a large range semiconductors. In Proceedings of the 2016 International Symposium on Semiconductor Manufacturing (ISSM), Tokyo, Japan, 12–13 December 2016; pp. 1–4. [Google Scholar]
- Bowler, N.; Huang, Y. Electrical conductivity measurement of metal plates using broadband eddy current and four-point methods. Meas. Sci. Technol. 2005, 16, 2193. [Google Scholar] [CrossRef]
- Yin, W.; Peyton, A.J.; Zysko, G.; Denno, R. Simultaneous noncontact measurement of water level and conductivity. IEEE Trans. Instrum. Meas. 2008, 57, 2665–2669. [Google Scholar]
- Wang, C.; Fan, M.; Cao, B.; Ye, B.; Li, W. Novel noncontact eddy current measurement of electrical conductivity. IEEE Sens. J. 2018, 18, 9352–9359. [Google Scholar] [CrossRef]
- Lu, M.; Meng, X.; Huang, R.; Chen, L.; Peyton, A.; Yin, W. A high-frequency phase feature for the measurement of magnetic permeability using eddy current sensor. NDT E Int. 2021, 123, 102519. [Google Scholar] [CrossRef]
- Lu, M.; Meng, X.; Chen, L.; Huang, R.; Yin, W.; Peyton, A. Measurement of ferromagnetic slabs permeability based on a novel planar triple-coil sensor. IEEE Sens. J. 2019, 20, 2904–2910. [Google Scholar] [CrossRef]
- Desjardins, D.; Krause, T.; Clapham, L. Transient eddy current method for the characterization of magnetic permeability and conductivity. NDT E Int. 2016, 80, 65–70. [Google Scholar] [CrossRef]
- Flowers, P.F.; Reyes, C.; Ye, S.; Kim, M.J.; Wiley, B.J. 3D printing electronic components and circuits with conductive thermoplastic filament. Addit. Manuf. 2017, 18, 156–163. [Google Scholar] [CrossRef]
- Khan, A.; Rahman, K.; Kim, D.S.; Choi, K.H. Direct printing of copper conductive micro-tracks by multi-nozzle electrohydrodynamic inkjet printing process. J. Mater. Process. Technol. 2012, 212, 700–706. [Google Scholar] [CrossRef]
- Hong, C.M.; Wagner, S. Inkjet printed copper source/drain metallization for amorphous silicon thin-film transistors. IEEE Electron. Device Lett. 2000, 21, 384–386. [Google Scholar] [CrossRef]
- Park, J.-U.; Lee, S.; Unarunotai, S.; Sun, Y.; Dunham, S.; Song, T.; Ferreira, P.M.; Alleyene, A.G.; Paik, U.; Rogers, J.A. Nanoscale, electrified liquid jets for high-resolution printing of charge. Nano Lett. 2010, 10, 584–591. [Google Scholar] [CrossRef]
- Jian, J.R.; Kim, T.; Park, J.S.; Wang, J.; Kim, W.S. High performance 3D printed electronics using electroless plated copper. AIP Adv. 2017, 7, 035314. [Google Scholar] [CrossRef]
- Kim, M.J.; Cruz, M.A.; Ye, S.; Gray, A.L.; Smith, S.L.; Lazarus, N.; Walker, C.J.; Sigmarsson, H.H.; Wiley, B.J. One-step electrodeposition of copper on conductive 3D printed objects. Addit. Manuf. 2019, 27, 318–326. [Google Scholar] [CrossRef]
- Tan, J.; Low, H. Embedded electrical tracks in 3D printed objects by fused filament fabrication of highly conductive composites. Addit. Manuf. 2018, 23, 294–302. [Google Scholar] [CrossRef]
- Kwok, S.W.; Goh, K.H.H.; Tan, Z.D.; Tan, S.T.M.; Tjiu, W.W.; Soh, J.Y.; Ng, Z.J.G.; Chan, Y.Z.; Hui, H.K.; Goh, K.E.J. Electrically conductive filament for 3D-printed circuits and sensors. Appl. Mater. Today 2017, 9, 167–175. [Google Scholar] [CrossRef]
- Xie, Y.; Ye, S.; Reyes, C.; Sithikong, P.; Popa, B.-I.; Wiley, B.J.; Cummer, S.A. Microwave metamaterials made by fused deposition 3D printing of a highly conductive copper based filament. Appl. Phys. Lett. 2017, 110, 181903. [Google Scholar] [CrossRef]
- Zhang, D.; Chi, B.; Li, B.; Gao, Z.; Du, Y.; Guo, J.; Wei, J. Fabrication of highly conductive graphene flexible circuits by 3D printing. Synth. Met. 2016, 217, 79–86. [Google Scholar] [CrossRef]
- Sekine, T.; Ito, K.; Shouji, Y.; Suga, R.; Yasuda, T.; Wang, Y.-F.; Takeda, Y.; Kumaki, D.; Santos, F.D.D.; Tong, H.; et al. Robotic e-skin for high performance stretchable acceleration sensor via combinations of novel soft and functional polymers. Appl. Mater. Today 2023, 33, 101877. [Google Scholar] [CrossRef]
- Mansor, M.S.; Zakaria, Z.; Balkhis, I.; Sahib, M.; Yunos, Y.; Sahlan, S.; Bunyamin, S.; Abas, K.H.; Ishak, M.; Danapalasingam, K.A. Magnetic induction tomography: A brief review. J. Teknol. 2015, 73, 91–95. [Google Scholar]
- Griffiths, H. Magnetic induction tomography. Meas. Sci. Technol. 2001, 12, 1126. [Google Scholar] [CrossRef]
- Gabriel, C.; Gabriel, S.; Corthout, Y.E. The dielectric properties of biological tissues: I. literature survey. Phys. Med. Biol. 1996, 41, 2231. [Google Scholar] [CrossRef]
- Gabriel, S.; Lau, R.; Gabriel, C. The dielectric properties of biological tissues: III. parametric models for the dielectric spectrum of tissues. Phys. Med. Biol. 1996, 41, 2271. [Google Scholar] [CrossRef]
- Gabriel, S.; Lau, R.; Gabriel, C. The dielectric properties of biological tissues: II. measurements in the frequency range 10 Hz to 20 GHz. Phys. Med. Biol. 1996, 41, 2251. [Google Scholar] [CrossRef] [PubMed]
- Shahrestani, S.; Chou, T.-C.; Shang, K.-M.; Zada, G.; Borok, Z.; Rao, A.P.; Tai, Y.-C. A wearable eddy current based pulmonary function sensor for continuous non-contact point-of-care monitoring during the COVID-19 pandemic. Sci. Rep. 2021, 11, 20144. [Google Scholar] [CrossRef] [PubMed]
- Richer, A.; Adler, A. Eddy current based flexible sensor for contactless measurement of breathing. In Proceedings of the 2005 IEEE Instrumentation and Measurement Technology Conference, Ottawa, ON, Canada, 17–19 May 2005; pp. 623–626. [Google Scholar]
- Dodd, C.; Deeds, W. Analytical solutions to eddy-current probe-coil problems. J. Appl. Phys. 1968, 39, 2829–2838. [Google Scholar] [CrossRef]
- Dodd, C.V. Solutions to Electromagnetic Induction Problems. Ph.D. Thesis, The University of Tennessee, Knoxville, TN, USA, 1967. [Google Scholar]
- Vallecchi, A.; Chu, S.; Solymar, L.; Stevens, C.; Shamonina, E. Coupling between coils in the presence of conducting medium. IET Microw. Antennas Propag. 2018, 13, 55–62. [Google Scholar] [CrossRef]
- Vallecchi, A.; Stevens, C.; Shamonina, E. Wireless power transfer in the presence of a conducting interface: An analytical solution. In Proceedings of the Loughborough Antennas Propagation Conference 2017, Loughborough, UK, 13–14 November 2017; pp. 725–731. [Google Scholar]
- Maxwell, J.C. Electricity and Magnetism; Dover: New York, NY, USA, 1954. [Google Scholar]
- Rosa, E.B.; Grover, F.W. Formulas and Tables for the Calculation of Mutual and Self-Inductance; US Government Printing Office: Washington, DC, USA, 1948.
- Abu-Nabah, B.A. Reduction of lift-off effect in high-frequency apparent eddy current conductivity spectroscopy. Meas. Sci. Technol. 2017, 28, 055107. [Google Scholar] [CrossRef]
- Dziczkowski, L. Elimination of coil liftoff from eddy current measurements of conductivity. IEEE Trans. Instrum. Meas. 2013, 62, 555–565. [Google Scholar] [CrossRef]













| Tissue | [S/m] | |
|---|---|---|
| Blood | 1.19 | 94.2 |
| Muscle | 0.68 | 77.1 |
| Heart | 0.65 | 118.0 |
| Deflated Lung | 0.52 | 81.3 |
| Inflated Lung | 0.28 | 41.3 |
| Dry Skin | 0.41 | 107.2 |
| Fat | 0.03 | 6.9 |
| Range | Nb. of Samples | Analytical Extraction | CST Extraction |
|---|---|---|---|
| < 1 S/m | 11 | 4.5% | 9.2% |
| < 5 S/m | 25 | 3.0% | 7.1% |
| < 12.5 S/m | 35 | 3.9% | 7.9% |
| < 20 S/m | 42 | 5.5% | 9.7% |
Disclaimer/Publisher’s Note: The statements, opinions and data contained in all publications are solely those of the individual author(s) and contributor(s) and not of MDPI and/or the editor(s). MDPI and/or the editor(s) disclaim responsibility for any injury to people or property resulting from any ideas, methods, instructions or products referred to in the content. |
© 2023 by the authors. Licensee MDPI, Basel, Switzerland. This article is an open access article distributed under the terms and conditions of the Creative Commons Attribution (CC BY) license (https://creativecommons.org/licenses/by/4.0/).
Share and Cite
Dima, G.; Radkovskaya, A.; Stevens, C.J.; Solymar, L.; Shamonina, E. Design of a Remote, Multi-Range Conductivity Sensor. Sensors 2023, 23, 9711. https://doi.org/10.3390/s23249711
Dima G, Radkovskaya A, Stevens CJ, Solymar L, Shamonina E. Design of a Remote, Multi-Range Conductivity Sensor. Sensors. 2023; 23(24):9711. https://doi.org/10.3390/s23249711
Chicago/Turabian StyleDima, Georgiana, Anna Radkovskaya, Christopher J. Stevens, Laszlo Solymar, and Ekaterina Shamonina. 2023. "Design of a Remote, Multi-Range Conductivity Sensor" Sensors 23, no. 24: 9711. https://doi.org/10.3390/s23249711
APA StyleDima, G., Radkovskaya, A., Stevens, C. J., Solymar, L., & Shamonina, E. (2023). Design of a Remote, Multi-Range Conductivity Sensor. Sensors, 23(24), 9711. https://doi.org/10.3390/s23249711
