A Miniaturized Arc Shaped Near Isotropic Self-Complementary Antenna for Spectrum Sensing Applications
Abstract
1. Introduction
1.1. Background and Related Work
1.2. Motivation and Contribution
1.3. Distribution of the Article
2. Antenna Configuration and Analysis
2.1. Near Isotropic Antenna
2.2. Bandwidth Enhancement
2.3. Miniaturized the Design
3. Results and Discussion
3.1. Return Loss
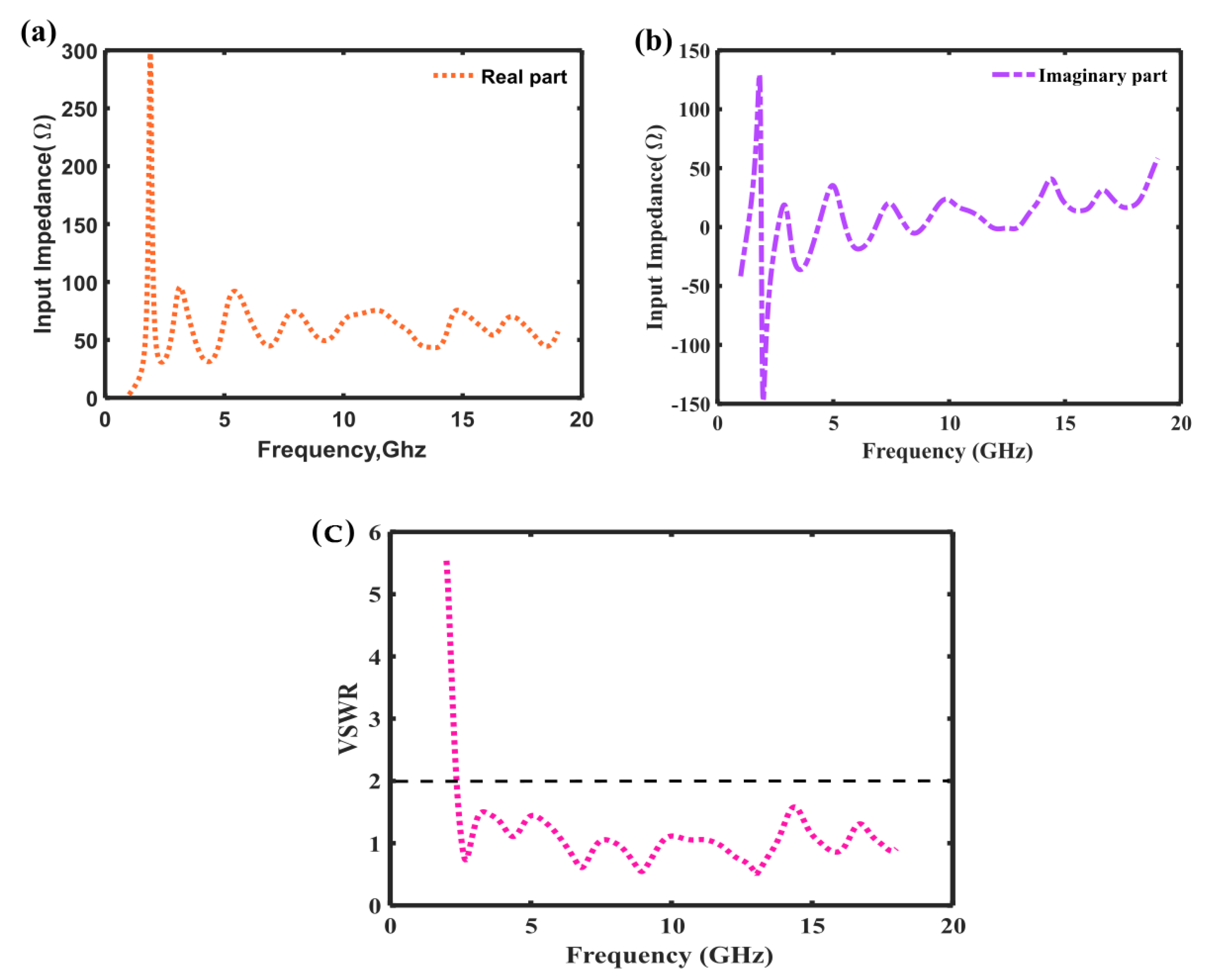
3.2. Input Impedance
3.3. Proposed Antenna Efficiency
3.4. Surface Current Distribution
3.5. Isotropy, Radiation Pattern and Solid Angle
4. Theoretical Experimental Results
5. Comparative Analysis of Antenna
6. Conclusions
Author Contributions
Funding
Institutional Review Board Statement
Informed Consent Statement
Data Availability Statement
Acknowledgments
Conflicts of Interest
References
- Liang, Y.C.; Chen, K.C.; Li, G.Y.; Mahonen, P. Cognitive radio networking and communications: An overview. IEEE Trans. Veh. Technol. 2011, 60, 3386–3407. [Google Scholar] [CrossRef]
- Hall, P.S.; Gardner, P.; Kelly, J.; Ebrahimi, E.; Hamid, M.R.; Ghanem, F.; Herraiz-Martinez, F.J.; Segovia-Vargas, D. Reconfigurable antenna challenges for future radio systems. In Proceedings of the 2009 3rd European Conference on Antennas and Propagation, Berlin, Germany, 23–27 March 2009; pp. 949–955. [Google Scholar]
- Erfani, E.; Nourinia, J.; Ghobadi, C.; Niroo-Jazi, M.; Denidni, T.A. Design and implementation of an integrated UWB/reconfigurable-slot antenna for cognitive radio applications. IEEE Antennas Wirel. Propag. Lett. 2012, 11, 77–80. [Google Scholar] [CrossRef]
- Gayatri, T.; Srinivasu, G.; Chaitanya, D.; Sharma, V. Design Analysis of a Luna Shaped UWB Antenna for Spectrum Sensing in 3.1–10.6 GHz. In Proceedings of the 2020 IEEE 17th India Council International Conference (INDICON), New Delhi, India, 10–13 December 2020; pp. 1–5. [Google Scholar]
- Wang, S.; Wang, Y.; Coon, J.; Doufexi, A. Antenna selection based spectrum sensing for cognitive radio networks. In Proceedings of the 2011 IEEE 22nd International Symposium on Personal, Indoor and Mobile Radio Communications, Toronto, ON, Canada, 11–14 September 2011; pp. 364–368. [Google Scholar]
- Semba Yawada, P.; Trung Dong, M. Performance analysis of new spectrum sensing scheme using multiantennas with multiuser diversity in cognitive radio networks. Wirel. Commun. Mob. Comput. 2018, 9, 1–13. [Google Scholar] [CrossRef]
- Lu, W.J.; Zhang, Z.Y.; Liu, R.; Zhu, H.B. Design concept of a narrow-wideband antenna for spectrum sensing applications. In Proceedings of the 2011 China-Japan Joint Microwave Conference, Hangzhou, China, 20–22 April 2011; pp. 1–4. [Google Scholar]
- Liu, J.; Esselle, K.P.; Hay, S.G.; Zhong, S. Achieving ratio bandwidth of 25: 1 from a printed antenna using a tapered semi-ring feed. IEEE Antennas Wirel. Propag. Lett. 2011, 10, 1333–1336. [Google Scholar]
- Nayak, P.B.; Verma, S.; Kumar, P. Multiband fractal antenna design for Cognitive radio applications. In Proceedings of the 2013 International Conference on Signal Processing and Communication (ICSC), Noida, India, 12–14 December 2013; pp. 115–120. [Google Scholar]
- Goswami, P.K.; Goswami, G. Wideband sensing antenna for smart cognitive radio applications. In Proceedings of the 2020 9th International Conference System Modeling and Advancement in Research Trends (SMART), Leipzig, Germany, 4–5 December 2020; pp. 349–354. [Google Scholar]
- Tawk, Y.; Costantine, J.; Avery, K.; Christodoulou, C. Implementation of a cognitive radio front-end using rotatable controlled reconfigurable antennas. IEEE Trans. Antennas Propag. 2011, 59, 1773–1778. [Google Scholar] [CrossRef]
- Ali, H.T.; Amin, S.; Amin, M.; Maqsood, M.; Maud, A.R.; Yusuf, M. Design and development of a near isotropic printed arc antenna for direction of arrival (DoA) applications. Electronics 2021, 10, 797. [Google Scholar] [CrossRef]
- Su, Z.; Klionovski, K.; Liao, H.; Chen, Y.; Elsherbeni, A.Z.; Shamim, A. Antenna-on-package design: Achieving near-isotropic radiation pattern and wide CP coverage simultaneously. IEEE Trans. Antennas Propag. 2020, 69, 3740–3749. [Google Scholar] [CrossRef]
- Banerjee, U.; Karmakar, A.; Saha, A.; Chakraborty, P. A CPW-fed compact monopole antenna with defected ground structure and modified parasitic hilbert strip having wideband circular polarization. AEU-Int. J. Electron. Commun. 2019, 110, 152831. [Google Scholar] [CrossRef]
- Sahal, M.; Gupta, V.; Tiwari, M. Circular Polarized Quasi-Self-Complementary Antenna for Spectrum Sensing and IoT. In Proceedings of the 2022 IEEE Global Conference on Computing, Power and Communication Technologies (GlobConPT), New Delhi, India, 23–25 September 2022; pp. 1–6. [Google Scholar]
- Zhao, X.; Gan, J.; Xu, W.; Huang, T. A Covariance Matrix-Based Cooperative Spectrum Sensing Algorithm in Electric Wireless Private Network. Mob. Inf. Syst. 2022, 2022, 1420539. [Google Scholar] [CrossRef]
- Lin, C.C. Compact bow-tie quasi-self-complementary antenna for UWB applications. IEEE Antennas Wirel. Propag. Lett. 2012, 11, 987–989. [Google Scholar]
- Sayidmarie, K.; Fadhel, Y.A. A planar self-complementary bow-tie antenna for UWB applications. Prog. Electromagn. Res. C 2013, 35, 253–267. [Google Scholar] [CrossRef]
- Patre, S.R.; Singh, S. Castor leaf-shaped quasi-self-complementary antenna for broadband applications. In Proceedings of the 2015 International Conference on Microwave and Photonics (ICMAP), Dhanbad, India, 11–13 December 2015; pp. 1–2. [Google Scholar]
- Amin, S.; Amin, M.; Ahmad, M.B.; Shah, A.A.; Abbasi, M.I. Extended arc antenna for near isotropic radiation pattern. In Proceedings of the 2017 IEEE Asia Pacific Microwave Conference (APMC), Kuala Lumpur, Malaysia, 13–16 November 2017; pp. 215–218. [Google Scholar]
- Rabah, M.H.; Seetharamdoo, D.; Addaci, R.; Berbineau, M. Novel miniature extremely-wide-band antenna with stable radiation pattern for spectrum sensing applications. IEEE Antennas Wirel. Propag. Lett. 2015, 14, 1634–1637. [Google Scholar] [CrossRef]
- Abioghli, M.; Keshtkar, A.; Naser-Moghadasi, M.; Ghalamkari, B. UWB rectangular DRA integrated with reconfigurable Narrowband antenna for cognitive radio applications. IETE J. Res. 2021, 67, 139–147. [Google Scholar] [CrossRef]
- Tiwari, R.N.; Singh, P.; Kanaujia, B.K. A modified microstrip line fed compact UWB antenna for WiMAX/ISM/WLAN and wireless communications. AEU-Int. J. Electron. Commun. 2019, 104, 58–65. [Google Scholar] [CrossRef]
- Goswami, A.; Bhattacharya, A.; Dasgupta, B. Reconfigurable hexagon shaped printed antenna for cognitive radio application. Int. J. RF Microw. Comput.-Aided Eng. 2021, 31, e22514. [Google Scholar] [CrossRef]
- Mohammed, A.A.; Abdullah, A.S. Integrated spectrum sensing and frequency reconfigurable antennas for inter-weave cognitive-radio applications. J. Physics 2021, 1804, 012053. [Google Scholar] [CrossRef]
- Jacob, N.; Kulkarni, M. An electronically switchable UWB to narrow band antenna for cognitive radio applications. Microw. Opt. Technol. Lett. 2020, 62, 2989–3001. [Google Scholar] [CrossRef]
- Parida, R.K.; Mishra, R.K.; Sahoo, N.K.; Muduli, A.; Panda, D.C.; Mishra, R.K. A hybrid multi-port antenna system for cognitive radio. Prog. Electromagn. Res. C 2020, 106, 1–16. [Google Scholar] [CrossRef]
- Suresh Chinnathampy, M.; Aruna, T.; Muthukumaran, N. Antenna design: Micro strip patch for spectrum utilization in cognitive radio networks. Wirel. Pers. Commun. 2021, 119, 959–979. [Google Scholar] [CrossRef]
- ur Rahman Qureshi, U.; Maqsood, M.; Amin, M.; Maud, A.R.; Shoaib, N. A boomerang-shaped UWB antenna for spectrum sensing. J. Electromagn. Waves Appl. 2022, 36, 977–993. [Google Scholar] [CrossRef]
- Basir, S.; Sarfraz, M.; Ghauri, S.A.; Mohammad, N.B. An Ellipse-Shaped Leaky-Wave Antenna Array for X-Band Aerial Landing System. J. Electromagn. Eng. Sci. 2022, 22, 352–360. [Google Scholar] [CrossRef]
- Basir, S.; Alimgeer, K.S.; A Ghauri, S.; Maqsood, M.; Sarfraz, M.; Ali, M.Y. MIMO Antenna with Notches for UWB System (MANUS). Int. J. Antennas Propag. 2022, 2022, 4870661. [Google Scholar] [CrossRef]
- Basir, S.; Khurshaid, T.; Alimgeer, K.S.; Akbar, M.; Nauman, A. Tachism: Tri-Port Antenna with Triple Notching Characteristic and High Isolation System for MIMO Application. Mathematics 2022, 10, 4491. [Google Scholar] [CrossRef]
- Dias Santana, G.M.; Cristo, R.S.d.; Lucas Jaquie Castelo Branco, K.R. Integrating cognitive radio with unmanned aerial vehicles: An overview. Sensors 2021, 21, 830. [Google Scholar] [CrossRef]













| Parameter | Dimension (mm) | Parameter | Dimension (mm) |
|---|---|---|---|
| 14 | 47.88 | ||
| 12.2 | 13.87 | ||
| 11 | D | 6.69 | |
| 10 | 25.15 | ||
| L | 55 | W | 45 |
| 13.87 | 16.92 |
| Ref. | Size () | BW | Gain Var. | Eff. (Min.–Max.) | Peak Gain |
|---|---|---|---|---|---|
| [21] | 0.4 × 0.36 | 107% | −40 dB | - | - |
| [22] | 0.65 × 0.4 | 114% | −30 dB | 80–90% | 5 dB |
| [23] | 0.24 × 0.16 | 153.22% | −45 dB | 65–85% | 5.1 dB |
| [24] | 0.5 × 0.5 | 108.64% | −30 dB | - | 7 dB |
| [25] | 0.43 × 0.315 | 143% | −40 dB | - | 5.5 dB |
| [26] | 0.37 × 0.37 | 116% | −60 dB | - | - |
| [27] | 0.53 × 0.266 | 138% | −30 dB | 50–86% | 5.5 dB |
| [28] | 0.74 × 1.42 | 85% | −25 dB | - | 4.4 dB |
| [29] | 0.83 × 0.85 | 163% | −35 dB | 55–92% | - |
| Proposed | 0.44 × 0.36 | 146% | −40 dB | 52–91% | 4.5 dB |
Disclaimer/Publisher’s Note: The statements, opinions and data contained in all publications are solely those of the individual author(s) and contributor(s) and not of MDPI and/or the editor(s). MDPI and/or the editor(s) disclaim responsibility for any injury to people or property resulting from any ideas, methods, instructions or products referred to in the content. |
© 2023 by the authors. Licensee MDPI, Basel, Switzerland. This article is an open access article distributed under the terms and conditions of the Creative Commons Attribution (CC BY) license (https://creativecommons.org/licenses/by/4.0/).
Share and Cite
Qureshi, U.U.R.; Basir, S.; Subhan, F.; Mohsan, S.A.H.; Khan, M.A.; Marey, M.; Mostafa, H. A Miniaturized Arc Shaped Near Isotropic Self-Complementary Antenna for Spectrum Sensing Applications. Sensors 2023, 23, 927. https://doi.org/10.3390/s23020927
Qureshi UUR, Basir S, Subhan F, Mohsan SAH, Khan MA, Marey M, Mostafa H. A Miniaturized Arc Shaped Near Isotropic Self-Complementary Antenna for Spectrum Sensing Applications. Sensors. 2023; 23(2):927. https://doi.org/10.3390/s23020927
Chicago/Turabian StyleQureshi, Ubaid Ur Rahman, Shahid Basir, Fazal Subhan, Syed Agha Hassnain Mohsan, Muhammad Asghar Khan, Mohamed Marey, and Hala Mostafa. 2023. "A Miniaturized Arc Shaped Near Isotropic Self-Complementary Antenna for Spectrum Sensing Applications" Sensors 23, no. 2: 927. https://doi.org/10.3390/s23020927
APA StyleQureshi, U. U. R., Basir, S., Subhan, F., Mohsan, S. A. H., Khan, M. A., Marey, M., & Mostafa, H. (2023). A Miniaturized Arc Shaped Near Isotropic Self-Complementary Antenna for Spectrum Sensing Applications. Sensors, 23(2), 927. https://doi.org/10.3390/s23020927

