A Micro-Topography Measurement and Compensation Method for the Key Component Surface Based on White-Light Interferometry
Abstract
1. Introduction
2. Measurement Principle of Surface Microscopic Topography Based on WLI
3. The Surface Characteristics That Cause Stress Concentration in Key Components and the Measurement and Evaluation Problems Arising from These Characteristics
3.1. Grinding Surface Groove Is a Smooth, Highly Curved, or Tilted Surface
3.2. Grinding Surface Residues and Other Defects
4. Compensate Methods for Microscopic Micro-Topography Measurement and Evaluation of Key Components
4.1. Point Interpolation in Grinding Groove Measurement
4.2. Intelligent Identification and Segmentation of Surface Residues and Other Defects
5. Conclusions
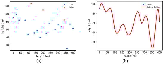
- For the problem of the signal distortion on the side of the grinding groove, we proposed setting a pixel gray-value threshold to exclude the distortion points and adopting the cubic spline interpolation algorithm to compensate. The compensated grinding groove was compared with the measurement data of AFM, and the result shows a high match.
- For the surface residues that are difficult to distinguish by ordinary instruments, the super-depth-of-field image and the corresponding point cloud were obtained from the same WLI image sequence synchronously. The semantic segmentation network U-net was used to segment the residues on the super-depth-of-field image and obtain an accuracy rate of 91.06%. Based on residue segmentation in the super-depth-of-field image, residue information could be extracted, such as their height and location in the point cloud.
Author Contributions
Funding
Institutional Review Board Statement
Informed Consent Statement
Data Availability Statement
Conflicts of Interest
References
- Feng, K.; Ji, J.C.; Ni, Q.; Beer, M. A review of vibration-based gear wear monitoring and prediction techniques. Mech. Syst. Signal Process. 2023, 182, 109605. [Google Scholar] [CrossRef]
- Hou, N.; Ding, N.; Qu, S.; Guo, W.; Liu, L.; Xu, N.; Tian, L.; Xu, H.; Chen, X.; Zaïri, F.; et al. Failure modes, mechanisms and causes of shafts in mechanical equipment. Eng. Fail. Anal. 2022, 136, 106216. [Google Scholar] [CrossRef]
- Li, Z.; Jiang, Y.; Hu, C.; Peng, Z. Recent progress on decoupling diagnosis of hybrid failures in gear transmission systems using vibration sensor signal: A review. Measurement 2016, 90, 4–19. [Google Scholar] [CrossRef]
- Javidi, A.; Rieger, U.; Eichlseder, W. The effect of machining on the surface integrity and fatigue life. Int. J. Fatigue 2008, 30, 2050–2055. [Google Scholar] [CrossRef]
- Perez, I.; Madariaga, A.; Arrazola, P.J.; Cuesta, M.; Soriano, D. An analytical approach to calculate stress concentration factors of machined surfaces. Int. J. Mech. Sci. 2021, 190, 106040. [Google Scholar] [CrossRef]
- Novovic, D.; Dewes, R.C.; Aspinwall, D.K.; Voice, W.; Bowen, P. The effect of machined topography and integrity on fatigue life. Int. J. Mach. Tools Manuf. 2004, 44, 125–134. [Google Scholar] [CrossRef]
- As, S.; Skallerud, B.; Tveiten, B.; Holme, B. Fatigue life prediction of machined components using finite element analysis of surface topography. Int. J. Fatigue 2005, 27, 1590–1596. [Google Scholar] [CrossRef]
- Yang, D.; Liu, Z.; Xiao, X.; Xie, F. The Effects of Machining-induced Surface Topography on Fatigue Performance of Titanium Alloy Ti-6Al-4V. Procedia CIRP 2018, 71, 27–30. [Google Scholar] [CrossRef]
- Holmberg, J.; Wretland, A.; Hammersberg, P.; Berglund, J.; Suárez, A.; Beno, T. Surface integrity investigations for prediction of fatigue properties after machining of alloy 718. Int. J. Fatigue 2021, 144, 106059. [Google Scholar] [CrossRef]
- Chen, S.; Zhao, W.; Yan, P.; Qiu, T.; Gu, H.; Jiao, L.; Wang, X. Effect of milling surface topography and texture direction on fatigue behavior of ZK61M magnesium alloy. Int. J. Fatigue 2022, 156, 106669. [Google Scholar] [CrossRef]
- Wang, G.; Yao, S.; Chi, Y.; Zhang, C.; Wang, N.; Chen, Y.; Lu, R.; Li, Z.; Zhang, X. Improvement of titanium alloy TA19 fatigue life by submerged abrasive waterjet peening: Correlation of its process parameters with surface integrity and fatigue performance. Chin. J. Aeronaut. 2023. [Google Scholar] [CrossRef]
- Li, H.; Zhang, J.; Ao, N.; Xu, J.; Ji, D. Influence of residual stress and its relaxation on the corrosion bending fatigue resistance of EA4T axle steel treated by ultrasonic surface rolling. Int. J. Fatigue 2023, 170, 107561. [Google Scholar] [CrossRef]
- Wang, X.; Xu, C.; Zhai, A.; Liu, M.; Huang, X.; Tian, K.; Luo, X.; Liu, C.; Tang, Z.; Zhao, Z. Effect of surface stress concentration control and surface material strengthening on the fatigue performance of shot-peened single-crystal superalloy. J. Alloy Compd. 2023, 933, 167796. [Google Scholar] [CrossRef]
- Yuhui, H.E.; Hang, H.U.; Jinyuan, T.; Wei, Z. Stress Concentration Calculation Factor of Tooth Root with 3D Rough Profile. J. Mech. Eng. 2021, 57, 182–188. [Google Scholar] [CrossRef]
- Jha, D.K.; Singh, D.S.; Gupta, S.; Ray, A. Fractal analysis of crack initiation in polycrystalline alloys using surface interferometry. EPL-Europhys. Lett. 2012, 98, 155–161. [Google Scholar] [CrossRef][Green Version]
- Liu, J.; Liu, C.; Tan, J.; Yang, B.; Wilson, T. Super-aperture metrology: Overcoming a fundamental limit in imaging smooth highly curved surfaces. J. Microsc. 2015, 261, 300–306. [Google Scholar] [CrossRef]
- Pawlus, P.; Reizer, R.; Wieczorowski, M. Comparison of results of surface texture measurement obtained with stylus methods and optical methods. Metrol. Meas. Syst. 2018, 25, 589–602. [Google Scholar] [CrossRef]
- Duan, Y.; Li, Z.; Zhang, X. Least-squares phase-shifting algorithm of coherence scanning interferometry with windowed B-spline fitting, resampled and subdivided phase points for 3D topography metrology. Measurement 2023, 217, 113103. [Google Scholar] [CrossRef]
- Xin, L.; Liu, Z.; Dou, J.; Yang, Z.; Zhang, X.; Liu, Z. A robust white-light interference signal leakage sampling correction method based on wavelet transform. Opt. Laser Eng. 2020, 133, 106156. [Google Scholar] [CrossRef]
- Neuber, H. Kerbspannungslehre. Theorie der Spannungskonzentration. Genaue Berechnung der Festigkeit. 3., Vllig Neubearb. und erw. Aufl.; Walter de Gruyter GmbH & Co KG: Berlin, Germany, 1958. [Google Scholar]
- Zhou, N.; Peng, R.L.; Pettersson, R. Surface integrity of 2304 duplex stainless steel after different grinding operations. J. Mater. Process. Technol. 2016, 229, 294–304. [Google Scholar] [CrossRef]
- Wang, W.; Zhang, Q.; Chu, C.; Zhang, Z.; Xu, J. Simulation and experimental study of the ground surface topography of GH4169 by grains arrayed brazed diamond wheels. Int. J. Adv. Manuf. Technol. 2022, 118, 303–317. [Google Scholar] [CrossRef]
- Petzing, J.; Coupland, J.; Leach, R. The Measurement of Rough Surface Topography Using Coherence Scanning Interferometry; National Physical Laboratory: Teddington, UK, 2010. [Google Scholar]
- Gao, F.; Leach, R.K.; Petzing, J.; Coupland, J.M. Surface measurement errors using commercial scanning white light interferometers. Meas. Sci. Technol. 2008, 19, 015303. [Google Scholar] [CrossRef]
- Hao, C.; Dengxin, H.; Yikun, Z.; Qing, Y.; Shichun, L. Cubic spline function based interpolation for lidar data visualization. Chin. J. Sci. Instrum. 2013, 34, 7. [Google Scholar] [CrossRef]
- As, S.; Skallerud, B.; Tveiten, B. Surface roughness characterization for fatigue life predictions using finite element analysis. Int. J. Fatigue 2008, 30, 2200–2209. [Google Scholar] [CrossRef]
- Li, G.; Tang, J.; Zhou, W.; Li, L. Fatigue life prediction of workpiece with 3D rough surface topography based on surface reconstruction technology. J. Cent. South Univ. 2018, 25, 2069–2075. [Google Scholar] [CrossRef]
- Jiang, X.; Wang, B.; Huo, G.; Su, C.; Yan, D.; Zheng, Z. Scattered Points Interpolation with Globally Smooth B-Spline Surface using Iterative Knot Insertion. Comput. Aided Design 2022, 148, 103244. [Google Scholar] [CrossRef]
- Burden, R.; Faires, J.D. Numerical Analysis; Cengage Learning: Boston, MA, USA, 2010. [Google Scholar]
- Liu, L.; Liu, Y. Load image inpainting: An improved U-Net based load missing data recovery method. Appl. Energy 2022, 327, 119988. [Google Scholar] [CrossRef]
- Shang, J.; Xu, J.; Zhang, A.A.; Liu, Y.; Wang, K.C.P.; Ren, D.; Zhang, H.; Dong, Z.; He, A. Automatic Pixel-level pavement sealed crack detection using Multi-fusion U-Net network. Measurement 2023, 208, 112475. [Google Scholar] [CrossRef]
- Zunair, H.; Hamza, A.B. Sharp U-Net: Depthwise Convolutional Network for Biomedical Image Segmentation. Comput. Biol. Med. 2021, 136, 104699. [Google Scholar] [CrossRef]














| Parameter | LSM900 | Our WLI System |
|---|---|---|
| Magnification | 20 | 20 |
| Horizontal Resolution | 0.12 μm | 0.69 μm |
| Vertical Resolution | 10 nm | 7.5 nm |
| Field of View | 400 μm × 400 μm | 245 μm × 306 μm |
| Element | C | Si | Mn | S | P | Cr | Ni | Mo | V | Nb | Fe |
|---|---|---|---|---|---|---|---|---|---|---|---|
| wt.% | 0.21 | 0.25 | 0.78 | 0.004 | 0.009 | 0.61 | 0.58 | 0.24 | - | - | rest |
| Hyper-Parameters | Image Width | Image Height | Batch Size | Image Scale | Learning Rate | Optimizer |
|---|---|---|---|---|---|---|
| Value | 512 | 512 | 2 | 0.7 | 1 × 10−3 | RMSProp |
| Grain Number | Area (μm2) | X (μm) | Y (μm) | Equivalent Diameter (μm) | Relative Height Difference (μm) |
|---|---|---|---|---|---|
| 1 | 557.9 | 46.50 | 302.18 | 29.77 | 2.34 |
| 2 | 49.41 | 82.48 | 342.98 | 8.49 | 1.67 |
| 3 | 153.98 | 280.95 | 252.77 | 14.95 | 1.98 |
Disclaimer/Publisher’s Note: The statements, opinions and data contained in all publications are solely those of the individual author(s) and contributor(s) and not of MDPI and/or the editor(s). MDPI and/or the editor(s) disclaim responsibility for any injury to people or property resulting from any ideas, methods, instructions or products referred to in the content. |
© 2023 by the authors. Licensee MDPI, Basel, Switzerland. This article is an open access article distributed under the terms and conditions of the Creative Commons Attribution (CC BY) license (https://creativecommons.org/licenses/by/4.0/).
Share and Cite
Chen, J.; Wang, B.; Chen, X.; Jiang, Q.; Feng, W.; Xu, Z.; Zhao, Z. A Micro-Topography Measurement and Compensation Method for the Key Component Surface Based on White-Light Interferometry. Sensors 2023, 23, 8307. https://doi.org/10.3390/s23198307
Chen J, Wang B, Chen X, Jiang Q, Feng W, Xu Z, Zhao Z. A Micro-Topography Measurement and Compensation Method for the Key Component Surface Based on White-Light Interferometry. Sensors. 2023; 23(19):8307. https://doi.org/10.3390/s23198307
Chicago/Turabian StyleChen, Junying, Boxuan Wang, Xiuyu Chen, Qingshan Jiang, Wei Feng, Zhilong Xu, and Zhenye Zhao. 2023. "A Micro-Topography Measurement and Compensation Method for the Key Component Surface Based on White-Light Interferometry" Sensors 23, no. 19: 8307. https://doi.org/10.3390/s23198307
APA StyleChen, J., Wang, B., Chen, X., Jiang, Q., Feng, W., Xu, Z., & Zhao, Z. (2023). A Micro-Topography Measurement and Compensation Method for the Key Component Surface Based on White-Light Interferometry. Sensors, 23(19), 8307. https://doi.org/10.3390/s23198307

