An Obstacle Avoidance Path Planning and Evaluation Method for Intelligent Vehicles Based on the B-Spline Algorithm
Abstract
:1. Introduction
- An obstacle avoidance path planning approach based on an improved B-spline algorithm is proposed. By combining the four-stage lane-changing model and adding safety constraints and dynamics constraints, the path curvature sudden change problems at obstacle avoidance start point and end point positions are solved, and obstacle avoidance path performance is improved.
- By combining real-time traffic information, a comprehensive evaluation mechanism is established. The comprehensive performance evaluation results of available paths are generated, and the real-time optimal path is obtained.
- By conducting co-simulation experiments and real vehicle tests, the availability of the proposed approach is verified.
2. Obstacle Avoidance Path Planning
2.1. Four-Segment Lane-Changing Model
2.2. B-Spline Algorithm
3. Comprehensive Evaluation Mechanism
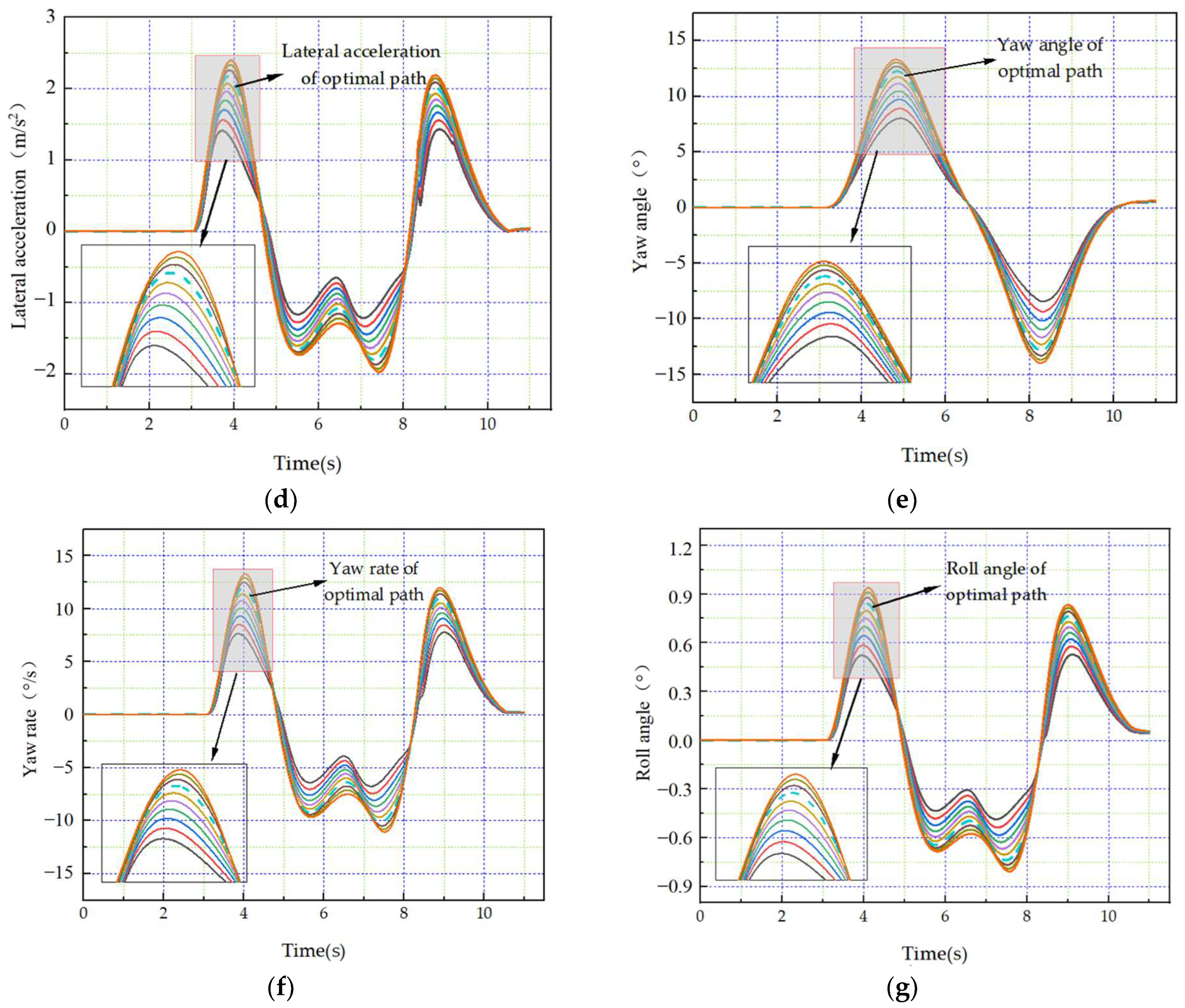
4. Simulation and Real Vehicle Test
4.1. Co-Simulation
4.2. Real Vehicle Test
5. Conclusions
Author Contributions
Funding
Data Availability Statement
Conflicts of Interest
References
- Wu, J.; Zhang, J.; Tian, Y.; Li, L. A novel adaptive steering torque control approach for human–machine cooperation autonomous vehicles. IEEE Trans. Transp. Electr. 2021, 7, 2516–2529. [Google Scholar] [CrossRef]
- Cheng, S.; Wang, Z.; Yang, B.; Nakano, K. Convolutional Neural Network-Based Lane-Change Strategy via Motion Image Representation for Automated and Connected Vehicles. IEEE Trans. Neural. Netw. Learn. Syst. 2023. [Google Scholar] [CrossRef] [PubMed]
- Wu, J.; Zhang, J.; Nie, B.; Liu, Y.; He, X. Adaptive control of PMSM servo system for steering-by-wire system with disturbances observation. IEEE Trans. Transp. Electr. 2022, 8, 2015–2028. [Google Scholar] [CrossRef]
- Zheng, K.; Liu, S. RRT based path planning for autonomous parking of vehicle. In Proceedings of the 2018 IEEE 7th Data Driven Control and Learning Systems Conference, Hubei, China, 25–27 May 2018. [Google Scholar]
- Cao, H.; Zoldy, M. Implementing B-Spline Path Planning Method Based on Roundabout Geometry Elements. IEEE Access. 2022, 10, 81434–81446. [Google Scholar] [CrossRef]
- Karur, K.; Sharma, N.; Dharmatti, C.; Siegel, J.E. A Survey of Path Planning Algorithms for Mobile Robots. Vehicles 2021, 3, 448–468. [Google Scholar] [CrossRef]
- Li, W.; Gao, D.; Duan, J. Research on Lane Change Model for Intelligent Vehicles. J. Highw. Transp. Res. Dev. 2010, 27, 19–123. [Google Scholar]
- Zhou, Z. Vehicle Lane Change Trajectory Planning Based on Driving Comfort. Master’s Thesis, Kunming University of Science and Technology, Kunming, China, 2021. [Google Scholar]
- Huang, G.; Ma, Q. Research on Path Planning Algorithm of Autonomous Vehicles Based on Improved RRT Algorithm. Int. J. Intell. Transp. Syst. Res. 2022, 20, 170–180. [Google Scholar] [CrossRef]
- Mischinger, M.; Rudigier, M.; Wimmer, P.; Kerschbaumer, A. Towards comfort-optimal trajectory planning and control. Veh. Syst. Dyn. 2018, 57, 1108–1125. [Google Scholar] [CrossRef]
- Wu, B.; Zhang, W.; Chi, X.; Jiang, D.; Yi, Y.; Lu, Y. A Novel AGV Path Planning Approach for Narrow Channels Based on the Bi-RRT Algorithm with a Failure Rate Threshold. Sensors 2023, 23, 7547. [Google Scholar] [CrossRef]
- Zhang, H.; Yang, L.; Chen, X. Improvement and Exploration of Unmanned Vehicle Path Planning Based on A * Algorithm and Artificial Potential Field Method. Comput. Knowl. Technol. 2021, 17, 233–235. [Google Scholar]
- Orozco-Rosas, U.; Montiel, O.; Sepúlveda, R. Mobile robot path planning using membrane evolutionary artificial potential field. Appl. Soft. Comput. 2019, 77, 236–251. [Google Scholar] [CrossRef]
- Montiel, O.; Orozco-Rosas, U.; Sepúlveda, R. Path planning for mobile robots using Bacterial Potential Field for avoiding static and dynamic obstacles. Expert. Syst. Appl. 2015, 42, 5177–5191. [Google Scholar] [CrossRef]
- Fu, B.; Chen, L.; Zhou, Y.; Zheng, D.; Wei, Z.; Dai, J.; Pan, H. An improved A* algorithm for the industrial robot path planning with high success rate and short length. Robot. Auton. Syst. 2018, 106, 26–37. [Google Scholar] [CrossRef]
- Hua, Z.; Zhang, W. Obstacle-Avoidance Path Planning for Autonomous Vehicles Based on Bezier Curves. Automot. Dig. 2021, 3, 46–49. [Google Scholar]
- Han, L.; Yashiro, H.; Tehrani, H.; Do, Q.H.; Mita, S. Bézier curve based path planning for autonomous vehicle in urban environment. In Proceedings of the 2010 IEEE Intelligent Vehicles Symposium, La Jolla, CA, USA, 21–24 June 2010. [Google Scholar]
- Xu, K. Research on Trajectory Planning Method for Lane Changing of Intelligent Vehicle. Master’s Thesis, Jiangsu University, Zhenjiang, China, 2019. [Google Scholar]
- Li, W.; Wang, J.; Duan, J. Lane changing trajectory planning of intelligent vehicles based on polynomials. Comput. Eng. Appl. 2012, 48, 242–245. [Google Scholar]
- Ma, L.; Xue, J.; Kawabata, K.; Zhu, J.; Ma, C.; Zheng, N. Efficient Sampling-Based Motion Planning for On-Road Autonomous Driving. IEEE Trans. Intell. Transp. Syst. 2015, 16, 1961–1976. [Google Scholar] [CrossRef]
- Zhang, X.; Zhu, T.; Du, L.; Hu, Y.; Liu, H. Local Path Planning of Autonomous Vehicle Based on an Improved Heuristic Bi-RRT Algorithm in Dynamic Obstacle Avoidance Environment. Sensors 2022, 22, 7968. [Google Scholar] [CrossRef]
- Orozco-Rosas, U.; Picos, K.; Pantrigo, J.J.; Montemayor, A.S.; Cuesta-Infante, A. Mobile Robot Path Planning Using a QAPF Learning Algorithm for Known and Unknown Environments. IEEE Access 2022, 10, 84648–84663. [Google Scholar] [CrossRef]
- Gu, X.; Han, M.; Zhang, W.; Xue, G.; Zhang, G.; Han, Y. Intelligent Vehicle Path Planning Based on Improved Artificial Potential Field Algorithm. In Proceedings of the 2019 International Conference on High Performance Big Data and Intelligent Systems, Shenzhen, China, 9–11 May 2019. [Google Scholar]
- Tang, X.; Zhu, Y.; Jiang, X. Improved a-star algorithm for robot path planning in static environment. In Proceedings of the International Conference on Communications, Information System and Software Engineering, Guangzhou, China, 18–20 December 2021. [Google Scholar]
- Ahmed, F.; Deb, K. Multi-objective path planning using spline representation. In Proceedings of the 2011 IEEE International Conference on Robotics and Biomimetics, Karon Beach, Thailand, 7–11 December 2011. [Google Scholar]
- Gao, S.; Zhang, J.; Rong, H.; Wang, W.; Guo, P.; He, J. Application of unmanned vehicle local obstacle avoidance method based on Bezier curve. Mod. Electron. Tech. 2019, 42, 163–166. [Google Scholar]
- Zeng, D.; Yu, Z.; Zhang, P.; Chen, H. Cubic B-spline Curve for Obstacle Avoidance Trajectory Planning of Unmanned vehicle. J. Tung-chi Univ. Nat. Sci. 2019, 47, 159–163. [Google Scholar]
- Berglund, T.; Brodnik, A.; Jonsson, H.; Staffanson, M.; Soderkvist, I. Planning Smooth and Obstacle-Avoiding B-Spline Paths for Autonomous Mining Vehicles. IEEE Trans. Autom. Sci. Eng. 2010, 7, 167–172. [Google Scholar] [CrossRef]
- Kano, H.; Fujioka, H. B-spline trajectory planning with curvature constraint. In Proceedings of the 2018 Annual American Control Conferenc, Milwaukee, WI, USA, 27–29 June 2018. [Google Scholar]
- Li, Z.; Xiong, L.; Zeng, D.; Fu, Z.; Leng, B.; Shan, F. Real-time local path planning for intelligent vehicle combining tentacle algorithm and B-spline curve. IFAC-PapersOnLine 2021, 54, 51–58. [Google Scholar] [CrossRef]
- Qu, P.; Li, L.; Ren, X.; Jing, L. B-spline Curve based Trajectory Planning for Autonomous Vehicles. Comput. Knowl. Technol. 2016, 12, 235–237. [Google Scholar]
- Yang, W.; Li, C.; Zhou, Y. A Path Planning Method for Autonomous Vehicles Based on Risk Assessment. World Electr. Veh. J. 2022, 13, 234. [Google Scholar] [CrossRef]
- Yang, J.; Wang, J.; Li, Q.; Wang, Z. Behavior Analysis and Modeling of Lane Change in Traffic Mico-simulation. J. Highw. Transp. Res. Dev. 2004, 21, 93–97. [Google Scholar]
- Winsum, W.V.; Waard, D.D.; Brookhuis, K.A. Lane-changing manoeuvres and safety margins. Transp. Res. Part F-Traffic Psychol. Behav. 1999, 2, 139–149. [Google Scholar] [CrossRef]
- Gu, G. Cooperative Lane-changing Trajectory Planning of Intelligent Vehicles with Consideration of Driver Characteristics. Master’s Thesis, South China University of Technology, Guangzhou, China, 2018. [Google Scholar]
- Liu, Z. Intelligent Vehicle Trajectory Planning and Model Prediction Control. Master’s Thesis, Jiangxi University of Science and Technology, Ganzhou, China, 2022. [Google Scholar]
- Liu, C.; Liu, Y.; Zhang, W.; Zhang, M. Mobile robot path planning and control algorithm incorporating TEB and Stanley. Manuf. Autom. 2023, 45, 180–186. [Google Scholar]
- Yu, Z. Automotive Theory, 6th ed.; China Marching Press: Beijing, China, 2018; pp. 170–176. [Google Scholar]
- Wen, C. Lane Change Risk Prediction and Trajectory Planning for Intelligent Vehicles in Multi-vehicle Environment. Master’s Thesis, South China University of Technology, Guangzhou, China, 2021. [Google Scholar]
- Cheng, S. Lane-changing Trajectory Planning of Autonomous Vehicles Based on Risk Assessment in Mixed Driving Environment. Master’s Thesis, Hefei University of Technology, Hefei, China, 2020. [Google Scholar]
- Siddiqi, M.R.; Saharkhiz, A.; Jazar, R.N.; Marzbani, H. Ergonomic Path Planning for Autonomous Vehicles - An investigation on the effect of transition curves on Handling Behaviour. In Proceedings of the 2020 1st International Conference on Information Technology, Advanced Mechanical and Electrical Engineering, Yogyakarta, Indonesia, 13–14 October 2020. [Google Scholar]
- Elbanhawi, M.; Simic, M.; Jazar, R. Receding horizon lateral vehicle control for pure pursuit path tracking. J. Vib. Control. 2018, 24, 619–642. [Google Scholar] [CrossRef]
- Sun, Z. Research on Local Path Planning and Tracking Control of Driverless Vehicles. Master’s Thesis, Northeastern Forestry University, Harbin, China, 2021. [Google Scholar]
- Wang, X.; Zhao, H.; Wang, Z. Optimal trajectory planning method of intelligent vehicles based on neighborhood system. CAAI Trans. Intell. Syst. 2019, 14, 1040–1047. [Google Scholar]
- Wei, M.; Teng, D.; Wu, S. Trajectory planning and optimization algorithm for automated driving based on Frenet coordinate system. Control Decis. 2021, 36, 815–824. [Google Scholar]















Disclaimer/Publisher’s Note: The statements, opinions and data contained in all publications are solely those of the individual author(s) and contributor(s) and not of MDPI and/or the editor(s). MDPI and/or the editor(s) disclaim responsibility for any injury to people or property resulting from any ideas, methods, instructions or products referred to in the content. |
© 2023 by the authors. Licensee MDPI, Basel, Switzerland. This article is an open access article distributed under the terms and conditions of the Creative Commons Attribution (CC BY) license (https://creativecommons.org/licenses/by/4.0/).
Share and Cite
Zhang, Y.; Wang, P.; Cui, K.; Zhou, H.; Yang, J.; Kong, X. An Obstacle Avoidance Path Planning and Evaluation Method for Intelligent Vehicles Based on the B-Spline Algorithm. Sensors 2023, 23, 8151. https://doi.org/10.3390/s23198151
Zhang Y, Wang P, Cui K, Zhou H, Yang J, Kong X. An Obstacle Avoidance Path Planning and Evaluation Method for Intelligent Vehicles Based on the B-Spline Algorithm. Sensors. 2023; 23(19):8151. https://doi.org/10.3390/s23198151
Chicago/Turabian StyleZhang, Yulong, Pengwei Wang, Kaichen Cui, Hengheng Zhou, Jinshan Yang, and Xiangcun Kong. 2023. "An Obstacle Avoidance Path Planning and Evaluation Method for Intelligent Vehicles Based on the B-Spline Algorithm" Sensors 23, no. 19: 8151. https://doi.org/10.3390/s23198151
APA StyleZhang, Y., Wang, P., Cui, K., Zhou, H., Yang, J., & Kong, X. (2023). An Obstacle Avoidance Path Planning and Evaluation Method for Intelligent Vehicles Based on the B-Spline Algorithm. Sensors, 23(19), 8151. https://doi.org/10.3390/s23198151

