Event-Triggered Finite-Time Formation Control of Underactuated Multiple ASVs with Prescribed Performance and Collision Avoidance
Abstract
1. Introduction
- (1)
- (2)
- (3)
- A finite-time event-triggered formation tracking control strategy is proposed to solve the error constraint problem of underactuated multi-ASV formation. In the control system, all signals are practical finite-time-stable (PFS), which is different from the existing works on ASV tracking control with constraints [11,12,28].
2. Preliminaries and Problem Formulation
2.1. Preliminaries
2.2. Model of Underactuated ASVs
2.3. Leader–Follower Formation Architecture
3. Formation Controller Design
3.1. Barrier Lyapunov Function
3.2. Finite-Time Formation Controller Design
- (1)
- All signals of the control system are finite-time stable, and satisfying the tracking error constraint in (14) means that Inequality (12) also holds, which realizes collision avoidance and communication distance maintenance.
- (2)
- There are times , the lower bound of the trigger interval is , and is , which means that there is no Zeno behavior in the proposed control system.
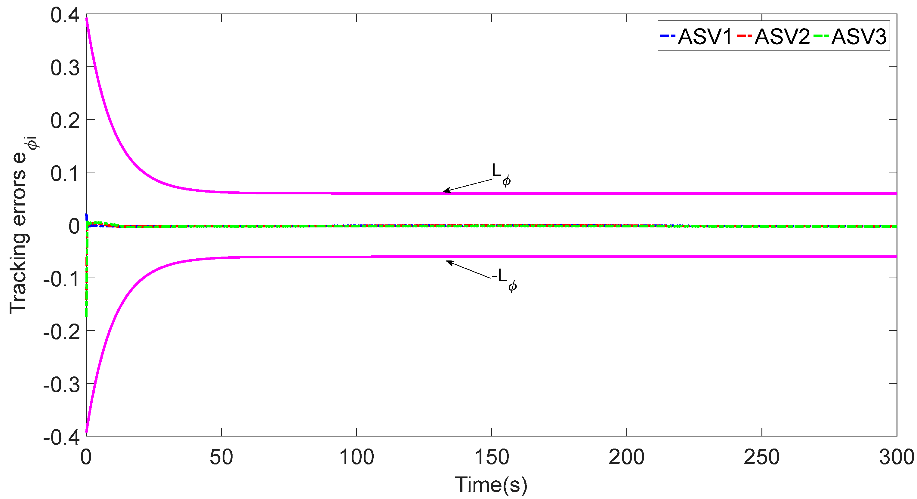
4. Simulations
5. Conclusions
Author Contributions
Funding
Institutional Review Board Statement
Informed Consent Statement
Data Availability Statement
Acknowledgments
Conflicts of Interest
References
- Peng, Z.; Wang, D.; Wang, J. Data-Driven Adaptive Disturbance Observers for Model-Free Trajectory Tracking Control of Maritime Autonomous Surface Ships. IEEE Trans. Neural Netw. Learn. Syst. 2021, 32, 5584–5594. [Google Scholar] [CrossRef] [PubMed]
- Liu, L.; Wang, D.; Peng, Z.; Chen, C.L.P.; Li, T. Bounded Neural Network Control for Target Tracking of Underactuated Autonomous Surface Vehicles in the Presence of Uncertain Target Dynamics. IEEE Trans. Neural Netw. Learn. Syst. 2019, 30, 1241–1249. [Google Scholar]
- Zhang, J.-X.; Yang, G.-H. Fault-tolerant leader-follower formation control of marine surface vessels with unknown dynamics and actuator faults. Int. J. Robust Nonlinear Control 2018, 28, 4188–4208. [Google Scholar] [CrossRef]
- Ghommam, J.; Saad, M. Adaptive Leader–Follower Formation Control of Underactuated Surface Vessels Under Asymmetric Range and Bearing Constraints. IEEE Trans. Veh. Technol. 2018, 67, 852–865. [Google Scholar] [CrossRef]
- He, S.; Wang, M.; Dai, S.-L.; Luo, F. Leader–Follower Formation Control of USVs with Prescribed Performance and Collision Avoidance. IEEE Trans. Ind. Inform. 2019, 15, 572–581. [Google Scholar] [CrossRef]
- Jia, Z.; Hu, Z.; Zhang, W. Adaptive output-feedback control with prescribed performance for trajectory tracking of underactuated surface vessels. ISA Trans. 2019, 95, 18–26. [Google Scholar] [CrossRef]
- Zheng, Z.; Jin, C.; Zhu, M.; Sun, K. Trajectory tracking control for a marine surface vessel with asymmetric saturation actuators. Robot. Auton. Syst. 2017, 97, 83–91. [Google Scholar]
- Liu, H.; Chen, G.; Tian, X. Cooperative formation control for multiple surface vessels based on barrier Lyapunov function and self-structuring neural networks. Ocean Eng. 2020, 216, 108163. [Google Scholar] [CrossRef]
- Wei, H.; Zhao, Y.; Changyin, S. Adaptive Neural Network Control of a Marine Vessel With Constraints Using the Asymmetric Barrier Lyapunov Function. IEEE Trans. Cybern. 2017, 47, 1641–1651. [Google Scholar]
- Dong, C.; Ye, Q.; Dai, S.-L. Neural-network-based adaptive output-feedback formation tracking control of USVs under collision avoidance and connectivity maintenance constraints. Neurocomputing 2020, 401, 101–112. [Google Scholar]
- Zheng, Z. Moving path following control for a surface vessel with error constraint. Automatica 2020, 118, 109040. [Google Scholar] [CrossRef]
- He, S.; Dong, C.; Dai, S.-L. Adaptive neural formation control for underactuated unmanned surface vehicles with collision and connectivity constraints. Ocean Eng. 2021, 226, 108834. [Google Scholar] [CrossRef]
- Sun, C.; Hu, G.; Xie, L.; Egerstedt, M. Robust finite-time connectivity preserving coordination of second-order multi-agent systems. Automatica 2018, 89, 21–27. [Google Scholar] [CrossRef]
- Do, K.D. Synchronization Motion Tracking Control of Multiple Underactuated Ships With Collision Avoidance. IEEE Trans. Ind. Electron. 2016, 63, 2976–2989. [Google Scholar] [CrossRef]
- Park, B.S.; Yoo, S.J. An Error Transformation Approach for Connectivity-Preserving and Collision-Avoiding Formation Tracking of Networked Uncertain Underactuated Surface Vessels. IEEE Trans. Cybern. 2019, 49, 2955–2966. [Google Scholar] [CrossRef]
- Yoo, S.J.; Park, B.S. Guaranteed-connectivity-based distributed robust event-triggered tracking of multiple underactuated surface vessels with uncertain nonlinear dynamics. Nonlinear Dyn. 2020, 99, 2233–2249. [Google Scholar] [CrossRef]
- Park, B.S.; Yoo, S.J. Connectivity-maintaining and collision-avoiding performance function approach for robust leader–follower formation control of multiple uncertain underactuated surface vessels. Automatica 2021, 127, 109501. [Google Scholar] [CrossRef]
- Jiao, J.; Wang, G. Event triggered trajectory tracking control approach for fully actuated surface vessel. Neurocomputing 2016, 182, 267–273. [Google Scholar] [CrossRef]
- Deng, Y.; Zhang, X.; Im, N.; Zhang, G.; Zhang, Q. Model-Based Event-Triggered Tracking Control of Underactuated Surface Vessels With Minimum Learning Parameters. IEEE Trans. Neural Netw. Learn. Syst. 2020, 31, 4001–4014. [Google Scholar] [CrossRef]
- Gao, S.; Peng, Z.; Liu, L.; Wang, H.; Wang, D. Coordinated target tracking by multiple unmanned surface vehicles with communication delays based on a distributed event-triggered extended state observer. Ocean. Eng. 2021, 227, 108283. [Google Scholar] [CrossRef]
- Yan, Y.; Yu, S.; Sun, C. Event-triggered sliding mode tracking control of autonomous surface vehicles. J. Frankl. Inst. 2021, 358, 4393–4409. [Google Scholar] [CrossRef]
- Fu, M.; Yu, L. Finite-time extended state observer-based distributed formation control for marine surface vehicles with input saturation and disturbances. Ocean Eng. 2018, 159, 219–227. [Google Scholar] [CrossRef]
- Qin, H.; Li, C.; Sun, Y.; Li, X.; Du, Y.; Deng, Z. Finite-time trajectory tracking control of unmanned surface vessel with error constraints and input saturations. J. Frankl. Inst. 2020, 357, 11472–11495. [Google Scholar] [CrossRef]
- Huang, C.; Zhang, X.; Zhang, G. Adaptive neural finite-time formation control for multiple underactuated vessels with actuator faults. Ocean Eng. 2021, 222, 108556. [Google Scholar] [CrossRef]
- Dai, S.L.; He, S.; Wang, M.; Yuan, C. Adaptive Neural Control of Underactuated Surface Vessels With Prescribed Performance Guarantees. IEEE Trans. Neural Netw. Learn. Syst. 2019, 30, 3686–3698. [Google Scholar] [CrossRef]
- Li, M.; Li, T.; Gao, X.; Shan, Q.; Chen, C.L.P.; Xiao, Y. Adaptive NN event-triggered control for path following of underactuated vessels with finite-time convergence. Neurocomputing 2020, 379, 203–213. [Google Scholar] [CrossRef]
- Peng, Z.; Jiang, Y.; Wang, J. Event-Triggered Dynamic Surface Control of an Underactuated Autonomous Surface Vehicle for Target Enclosing. IEEE Trans. Ind. Electron. 2021, 68, 3402–3412. [Google Scholar] [CrossRef]
- Zheng, Z.; Huang, Y.; Xie, L.; Zhu, B. Adaptive Trajectory Tracking Control of a Fully Actuated Surface Vessel With Asymmetrically Constrained Input and Output. IEEE Trans. Control Syst. Technol. 2018, 26, 1851–1859. [Google Scholar] [CrossRef]
- Yu, J.; Shi, P.; Zhao, L. Finite-time command filtered backstepping control for a class of nonlinear systems. Automatica 2018, 92, 173–180. [Google Scholar] [CrossRef]
- Yang, W.; Pan, Y.; Liang, H. Event-triggered adaptive fixed-time NN control for constrained nonstrict-feedback nonlinear systems with prescribed performance. Neurocomputing 2021, 422, 332–344. [Google Scholar] [CrossRef]
- Skjetne, R.; Fossen, T.I.; Kokotović, P.V. Adaptive maneuvering, with experiments, for a model ship in a marine control laboratory. Automatica 2005, 41, 289–298. [Google Scholar] [CrossRef]
- Wang, D.; Ge, S.S.; Fu, M.; Li, D. Bioinspired neurodynamics based formation control for unmanned surface vehicles with line-of-sight range and angle constraints. Neurocomputing 2021, 425, 127–134. [Google Scholar] [CrossRef]
- Liu, C.; Chen, C.L.P.; Zou, Z.; Li, T. Adaptive NN-DSC control design for path following of underactuated surface vessels with input saturation. Neurocomputing 2017, 267, 466–474. [Google Scholar] [CrossRef]
- Xing, L.; Wen, C.; Liu, Z.; Su, H.; Cai, J. Event-Triggered Adaptive Control for a Class of Uncertain Nonlinear Systems. IEEE Trans. Autom. Control 2017, 62, 2071–2076. [Google Scholar] [CrossRef]
- Johansson, K.H.; Egerstedt, M.; Lygeros, J.; Sastry, S. On the regularization of Zeno hybrid automata. Syst. Control Lett. 1999, 38, 141–150. [Google Scholar] [CrossRef]
















| Parameter | Value |
|---|---|
| 25.8000 | |
| 33.8000 | |
| 1.0115 | |
| 2.7600 | |
| Parameter | Value | Parameter | Value | Parameter | Value |
|---|---|---|---|---|---|
| 0.10 | 2 | 0.05 | |||
| 0.10 | 1 | 0.05 | |||
| 0.06 | 1 | 0.01 | |||
| 0.06 | 5 | 0.01 | |||
| 2.00 | 7.00 | ||||
| 4.00 | 5.00 | ||||
| 1.00 | 7.00 |
| Variable | Triggering Time | Percentage |
|---|---|---|
| 2665 | 4.44% | |
| 2110 | 3.52% | |
| 6272 | 10.45% | |
| 2134 | 3.56% | |
| 4158 | 6.93% | |
| 1857 | 3.09% | |
| FET- | 2707 | 4.51% |
| FET- | 2445 | 4.07% |
Disclaimer/Publisher’s Note: The statements, opinions and data contained in all publications are solely those of the individual author(s) and contributor(s) and not of MDPI and/or the editor(s). MDPI and/or the editor(s) disclaim responsibility for any injury to people or property resulting from any ideas, methods, instructions or products referred to in the content. |
© 2023 by the authors. Licensee MDPI, Basel, Switzerland. This article is an open access article distributed under the terms and conditions of the Creative Commons Attribution (CC BY) license (https://creativecommons.org/licenses/by/4.0/).
Share and Cite
Tian, X.; Lin, J.; Liu, H.; Huang, X. Event-Triggered Finite-Time Formation Control of Underactuated Multiple ASVs with Prescribed Performance and Collision Avoidance. Sensors 2023, 23, 6756. https://doi.org/10.3390/s23156756
Tian X, Lin J, Liu H, Huang X. Event-Triggered Finite-Time Formation Control of Underactuated Multiple ASVs with Prescribed Performance and Collision Avoidance. Sensors. 2023; 23(15):6756. https://doi.org/10.3390/s23156756
Chicago/Turabian StyleTian, Xuehong, Jianfei Lin, Haitao Liu, and Xiuying Huang. 2023. "Event-Triggered Finite-Time Formation Control of Underactuated Multiple ASVs with Prescribed Performance and Collision Avoidance" Sensors 23, no. 15: 6756. https://doi.org/10.3390/s23156756
APA StyleTian, X., Lin, J., Liu, H., & Huang, X. (2023). Event-Triggered Finite-Time Formation Control of Underactuated Multiple ASVs with Prescribed Performance and Collision Avoidance. Sensors, 23(15), 6756. https://doi.org/10.3390/s23156756

