A Bearing Fault Diagnosis Method Based on a Residual Network and a Gated Recurrent Unit under Time-Varying Working Conditions
Abstract
1. Introduction
2. Theoretical Background
2.1. Convolutional Neural Networks
- (1)
 - The convolutional layer is a core component of CNN and a fundamental operation for feature extraction. It extracts the features from the data by performing convolution operations on the filter (also known as the convolutional kernel or weight) and the original data. Convolutional layers typically include multiple convolutional kernels to extract different features.
 - (2)
 - The pooling layer is designed to reduce the size and number of features, thereby reducing the computational complexity and further improving the efficiency of feature extraction. The pooling layer is usually used to reduce the dimensions of sparse features and reduce overfitting. There are two commonly used pooling operations: max pooling and average pooling. The maximum pooling operation refers to selecting the maximum value in each region as the output, while average pooling outputs the average value within the region.
 - (3)
 - The fully connected layer maps the features into feature vectors, which are input into the classifier to achieve the classification of output labels. Usually, a fully connected layer contains multiple hidden units, which can flexibly control the complexity and fitting ability of the model.
 
2.2. Residual Networks
2.3. Infinitesimal Method
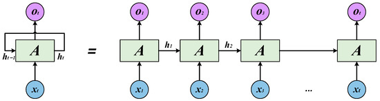
2.4. RNN
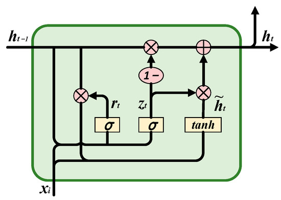
2.5. LSTM and GRU
- (1)
 - Reset gate: At time step t, the GRU network receives the input xt and the previous hidden state ht−1, and then calculates the reset gate rt. The symbol σ indicates the sigmoid activation function. Its function is to control how much information from the past needs to be retained, and the calculation formula for resetting the gate is
 
- (2)
 - Update gate: Its function is to control how much information from the past and current inputs needs to be combined. The calculation formula for updating the gate is:
 
- (3)
 - Candidate hidden state: After resetting the information state of the previous time state information ht−1 by resetting the gate rt, this is activated with the current time information xt through the function tanh. The specific calculation expression is as follows, where • represents the dot product:
 
- (4)
 - Hidden layer state: This controls the output jointly by updating the gate and the candidate hidden layer states. The calculation expression is:
 
3. Proposed Method
3.1. Training Dataset
3.2. Information Expansion and Feature Extraction
3.3. GRU Layer
3.4. Output Network
3.5. Loss Function
3.6. Optimization
4. Case Study on the Diagnosis of Rolling Bearing Faults under Time-Varying Rotational Speeds
4.1. Data Description
- (1)
 - Uniform acceleration: The motor accelerated from stationary to a maximum speed of 1500 rpm. The acceleration remained constant throughout the entire process. The model used samples under this operating condition as the training samples. However, in practical applications, the proposed model does not require the rate of change in speed to remain constant but instead takes a certain speed range.
 - (2)
 - Random speed changes: The speed and rate of change of the equipment during operation are often irregular. Therefore, this sample was mainly used to simulate the actual situation of a time-varying rotational speed and served as a test sample in this experiment.
 - (3)
 - Constant speed conditions: The rate of the change in speed of the constant-speed sample was 0, so it was significantly different from the training sample. The experimental platform collected vibration signals at a speed of 1000 rpm to test the effectiveness of the generated data.
 
4.2. Effects of Hyperparameters
4.3. Comparison with Related Methods
4.4. Network Visualizations
5. Conclusions
Author Contributions
Funding
Institutional Review Board Statement
Informed Consent Statement
Data Availability Statement
Conflicts of Interest
References
- Zhang, X.; Zhou, J. Multi-fault diagnosis for rolling element bearings based on ensemble empirical mode decomposition and optimized support vector machines. Mech. Syst. Signal Process. 2013, 41, 127–140. [Google Scholar] [CrossRef]
 - Xia, X.; Zhou, J.; Li, C.; Zhu, W. A novel method for fault diagnosis of hydro generator based on NOFRFs. Int. J. Electr. Power Energy Syst. 2015, 71, 60–67. [Google Scholar] [CrossRef]
 - Zhang, H.; Zhang, C.; Wang, C.; Xie, F. A survey of non-destructive techniques used for inspection of bearing steel balls. Measurement 2020, 159, 107773. [Google Scholar] [CrossRef]
 - Guo, S.; Yang, T.; Gao, W.; Zhang, C. A Novel Fault Diagnosis Method for Rotating Machinery Based on a Convolutional Neural Network. Sensors 2018, 18, 1429. [Google Scholar] [CrossRef] [PubMed]
 - Addin, O.; Sapuan, S.M.; Mahdi, E.; Othman, M. A Naïve-Bayes classifier for damage detection in engineering materials. Mater. Des. 2007, 28, 2379–2386. [Google Scholar] [CrossRef]
 - Chen, G.; Liu, M.; Chen, J. Frequency-temporal-logic-based bearing fault diagnosis and fault interpretation using Bayesian optimization with Bayesian neural networks. Mech. Syst. Signal Process. 2020, 145, 106951. [Google Scholar] [CrossRef]
 - Zhang, X.; Wang, B.; Chen, X. Intelligent fault diagnosis of roller bearings with multivariable ensemble-based incremental support vector machine. Knowl.-Based Syst. 2015, 89, 56–85. [Google Scholar] [CrossRef]
 - Barkhordari, M.S.; Jawdhari, A. Machine learning based prediction model for plastic hinge length calculation of reinforced concrete structural walls. Adv. Struct. Eng. 2023, 26, 1714–1734. [Google Scholar] [CrossRef]
 - Xu, Y.; Zhen, D.; Gu, J.X.; Rabeyee, K.; Chu, F.; Gu, F.; Ball, A.D. Autocorrelated Envelopes for early fault detection of rolling bearings. Mech. Syst. Signal Process. 2021, 146, 106990. [Google Scholar] [CrossRef]
 - Samanta, B.; Nataraj, C. Use of particle swarm optimization for machinery fault detection. Eng. Appl. Artif. Intell. 2009, 22, 308–316. [Google Scholar] [CrossRef]
 - Widodo, A.; Kim, E.Y.; Son, J.-D.; Yang, B.-S.; Tan, A.C.C.; Gu, D.-S.; Choi, B.-K.; Mathew, J. Fault diagnosis of low speed bearing based on relevance vector machine and support vector machine. Expert Syst. Appl. 2009, 36, 7252–7261. [Google Scholar] [CrossRef]
 - Hoang, D.-T.; Kang, H.-J. A survey on Deep Learning based bearing fault diagnosis. Neurocomputing 2019, 335, 327–335. [Google Scholar] [CrossRef]
 - Barkhordari, M.S.; Tehranizadeh, M. Data-driven Dynamic-classifiers-based Seismic Failure Mode Detection of Deep Steel W-shape Columns. Period. Polytech. Civ. Eng. 2023, 67, 936–944. [Google Scholar]
 - Yan, S.; Shao, H.; Min, Z.; Peng, J.; Cai, B.; Liu, B. FGDAE: A new machinery anomaly detection method towards complex operating conditions. Reliab. Eng. Syst. Saf. 2023, 236, 109319. [Google Scholar] [CrossRef]
 - Paya, B.A.; Esat, I.I.; Badi, M.N.M. Artificial neural network based fault diagnostics of rotating machinery using wavelet transforms as a preprocessor. Mech. Syst. Signal Process. 1997, 11, 751–765. [Google Scholar] [CrossRef]
 - Barkhordari, M.S.; Massone, L.M. Ensemble techniques and hybrid intelligence algorithms for shear strength prediction of squat reinforced concrete walls. Adv. Comput. Des. 2023, 8, 37–59. [Google Scholar]
 - Schuster, M.; Paliwal, K.K. Bidirectional recurrent neural networks. IEEE Trans. Signal Process. 1997, 45, 2673–2681. [Google Scholar] [CrossRef]
 - Su, B.; Lu, S. Accurate recognition of words in scenes without character segmentation using recurrent neural network. Pattern Recognit. 2017, 63, 397–405. [Google Scholar] [CrossRef]
 - Li, J.; Liu, Y.; Li, Q. Intelligent fault diagnosis of rolling bearings under imbalanced data conditions using attention-based deep learning method. Measurement 2022, 189, 110500. [Google Scholar] [CrossRef]
 - Barkhordari, M.S.; Armaghani, D.J.; Asteris, P.G. Structural Damage Identification Using Ensemble Deep Convolutional Neural Network Models. CMES-Comput. Model. Eng. Sci. 2023, 134, 835–855. [Google Scholar]
 - An, Z.; Jiang, X.; Cao, J.; Yang, R.; Li, X. Self-learning transferable neural network for intelligent fault diagnosis of rotating machinery with unlabeled and imbalanced data. Knowl.-Based Syst. 2021, 230, 107374. [Google Scholar] [CrossRef]
 - Chen, M.; Shao, H.; Dou, H.; Li, W.; Liu, B. Data Augmentation and Intelligent Fault Diagnosis of Planetary Gearbox Using ILoFGAN Under Extremely Limited Samples. IEEE Trans. Reliab. 2022, 1–9. [Google Scholar] [CrossRef]
 - Chen, X.; Shao, H.; Xiao, Y.; Yan, S.; Cai, B.; Liu, B. Collaborative fault diagnosis of rotating machinery via dual adversarial guided unsupervised multi-domain adaptation network. Mech. Syst. Signal Process. 2023, 198, 110427. [Google Scholar]
 - Xia, M.; Shao, H.; Williams, D.; Lu, S.; Shu, L.; de Silva, C.W. Intelligent fault diagnosis of machinery using digital twin-assisted deep transfer learning. Reliab. Eng. Syst. Saf. 2021, 215, 107938. [Google Scholar] [CrossRef]
 - Song, X.; Cong, Y.; Song, Y.; Chen, Y.; Liang, P. A bearing fault diagnosis model based on CNN with wide convolution kernels. J. Ambient. Intell. Humaniz. Comput. 2021, 13, 4041–4056. [Google Scholar] [CrossRef]
 - Osman, S.; Wang, W. A normalized Hilbert-Huang transform technique for bearing fault detection. JVC/J. Vib. Control 2016, 22, 2771–2787. [Google Scholar] [CrossRef]
 - An, Z.; Li, S.; Wang, J.; Jiang, X. A novel bearing intelligent fault diagnosis framework under time-varying working conditions using recurrent neural network. ISA Trans. 2020, 100, 155–170. [Google Scholar] [CrossRef]
 - Hochreiter, S.; Schmidhuber, J. Bridging long time lags by weight guessing and ‘long short term memory’. In Spatiotemporal Models in Biological and Artificial Systems; IOS Press: Amsterdam, The Netherlands, 1997; p. 65. [Google Scholar]
 - Srivastava, N.; Hinton, G.; Krizhevsky, A.; Sutskever, I.; Salakhutdinov, R. Dropout: A simple way to prevent neural networks from overfitting. J. Mach. Learn. Res. 2014, 15, 1929–1958. [Google Scholar]
 - Cho, K.; van Merrienboer, B.; Bahdanau, D.; Bengio, Y. In On the properties of neural machine translation: Encoder–decoder approaches. In Proceedings of the 8th Workshop on Syntax, Semantics and Structure in Statistical Translation, SSST 2014, Doha, Qatar, 25 October 2014; Association for Computational Linguistics (ACL): Doha, Qatar, 2014; pp. 103–111. [Google Scholar]
 - He, K.; Zhang, X.; Ren, S.; Sun, J. In Deep residual learning for image recognition. In Proceedings of the 29th IEEE Conference on Computer Vision and Pattern Recognition, CVPR 2016, Las Vegas, NV, USA, 26 June–1 July 2016; IEEE Computer Society: Las Vegas, NV, USA, 2016; pp. 770–778. [Google Scholar]
 - Jia, F.; Lei, Y.; Lin, J.; Zhou, X.; Lu, N. Deep neural networks: A promising tool for fault characteristic mining and intelligent diagnosis of rotating machinery with massive data. Mech. Syst. Signal Process. 2016, 72–73, 303–315. [Google Scholar]
 - An, Z.; Jiang, X.; Yang, R.; Zhang, H.; Liu, J.; Shen, C. Actively Imaginative Data Augmentation for Machinery Diagnosis Under Large-Speed-Fluctuation Conditions. IEEE Trans. Ind. Inform. 2023, 19, 8484–8495. [Google Scholar] [CrossRef]
 











| Network Layer | Number and Size of Convolution Kernels | Activation Function | Output Size | 
|---|---|---|---|
| Input | / | / | 48 × 25 × 1 | 
| 1D convolution 1 | 3 × 1 × 32 | ReLU | 48 × 25 × 32 | 
| 1D convolution 2 | 1 × 32 × 64 | / | 48 × 25 × 64 | 
| 1D convolution 3 | 3 × 64 × 64 | ReLU | 48 × 25 × 64 | 
| Addition layer (2 + 3) | / | / | 48 × 25 × 64 | 
| 1D convolution 4 | 1 × 64 × 64 | / | 48 × 25 × 64 | 
| 1D convolution 5 | 3 × 64 × 64 | ReLU | 48 × 25 × 64 | 
| 1D convolution 6 | 3 × 64 × 64 | ReLU | 48 × 25 × 64 | 
| Addition layer (4 + 6) | / | / | 48 × 25 × 64 | 
| 1D convolution 7 | 1 × 64 × 32 | / | 48 × 25 × 32 | 
| 1D convolution 8 | 3 × 32 × 32 | ReLU | 48 × 25 × 32 | 
| 1D convolution 9 | 3 × 32 × 32 | ReLU | 48 × 25 × 32 | 
| Addition layer (7 + 9) | / | / | 48 × 25 × 32 | 
| 1D convolution 10 | 3 × 32 × 1 | ReLU | 48 × 25 × 1 | 
| GRU | / | / | 48 × 25 × 1 | 
| Full connection | 50 | ReLU | 48 × 50 × 1 | 
| Full connection | 5 | Softmax | 48 × 5 × 1 | 
| Method | Highest Accuracy | 
|---|---|
| ANN | 80.9% | 
| CNN | 89.2% | 
| DBN | 85.1% | 
| LSTM | 95.3% | 
| AIDA | 97.8% | 
| Proposed method | 99.5% | 
Disclaimer/Publisher’s Note: The statements, opinions and data contained in all publications are solely those of the individual author(s) and contributor(s) and not of MDPI and/or the editor(s). MDPI and/or the editor(s) disclaim responsibility for any injury to people or property resulting from any ideas, methods, instructions or products referred to in the content.  | 
© 2023 by the authors. Licensee MDPI, Basel, Switzerland. This article is an open access article distributed under the terms and conditions of the Creative Commons Attribution (CC BY) license (https://creativecommons.org/licenses/by/4.0/).
Share and Cite
Wang, Z.; Xu, X.; Zhang, Y.; Wang, Z.; Li, Y.; Liu, Z.; Zhang, Y. A Bearing Fault Diagnosis Method Based on a Residual Network and a Gated Recurrent Unit under Time-Varying Working Conditions. Sensors 2023, 23, 6730. https://doi.org/10.3390/s23156730
Wang Z, Xu X, Zhang Y, Wang Z, Li Y, Liu Z, Zhang Y. A Bearing Fault Diagnosis Method Based on a Residual Network and a Gated Recurrent Unit under Time-Varying Working Conditions. Sensors. 2023; 23(15):6730. https://doi.org/10.3390/s23156730
Chicago/Turabian StyleWang, Zheng, Xiaoyang Xu, Yu Zhang, Zhongyao Wang, Yuting Li, Zhidong Liu, and Yuxi Zhang. 2023. "A Bearing Fault Diagnosis Method Based on a Residual Network and a Gated Recurrent Unit under Time-Varying Working Conditions" Sensors 23, no. 15: 6730. https://doi.org/10.3390/s23156730
APA StyleWang, Z., Xu, X., Zhang, Y., Wang, Z., Li, Y., Liu, Z., & Zhang, Y. (2023). A Bearing Fault Diagnosis Method Based on a Residual Network and a Gated Recurrent Unit under Time-Varying Working Conditions. Sensors, 23(15), 6730. https://doi.org/10.3390/s23156730
        