An Intelligent Cost-Reference Particle Filter with Resampling of Multi-Population Cooperation
Abstract
1. Introduction
2. Materials and Methods
| Algorithm 1 The algorithm steps for the standard CRPF. |
|
3. Intelligent CRPF Based on Multi-Population Cooperation
3.1. Multi-Population Cooperative Intelligent Resampling Mechanism Based on Ring Structure
3.2. Cooperative Strategy Based on Gaussian Mutation
3.3. Steps of Intelligent CRPF Algorithm Based on Multi-Population Cooperation
| Algorithm 2 Steps of Intelligent CRPF Algorithm Based on Multi-Population Cooperation. |
|
4. Results and Discussion
4.1. Mathematical Model of One-Dimensional Non-Stationary Economic Growth
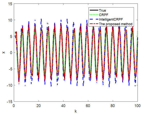
4.2. One-Dimensional Nonlinear Univariate Time Series Model
4.3. Lithium–Ion Battery Remaining Useful Life Prediction Model
5. Conclusions
Author Contributions
Funding
Institutional Review Board Statement
Informed Consent Statement
Data Availability Statement
Acknowledgments
Conflicts of Interest
References
- Jiao, R.; Peng, K.; Jie, D. Remaining useful life prediction of lithium-ion batteries based on conditional vibrational auto encoders-particle filter. IEEE Trans. Instrum. Meas. 2020, 69, 8831–8843. [Google Scholar] [CrossRef]
- Qiao, D.; Zhang, X.; Wang, Y. Fault and state estimation for discrete linear variable parameter systems with integral measurement and delay. Control Theory Appl. 2021, 38, 587–594. [Google Scholar]
- Niu, F.; Liu, J.; Xiong, J.; Li, J.; Shen, L. Research on ground multi-target guidance method of UAV group cooperative tracking. Sci. China (Tech. Sci.) 2020, 50, 403–422. [Google Scholar]
- Doucet, A.; Godsill, S.J.; Andrieu, C. On sequential monte Carlo sampling methods for bayesian filtering. Stat. Comput. 2000, 10, 197–208. [Google Scholar] [CrossRef]
- Dai, J.; Xu, P.; Li, X. Second order central difference particle filter Fast SLAM algorithm. Control Theory Appl. 2018, 35, 1382–1390. [Google Scholar]
- Stephen, G.P.; Takemasa, M. A local particle filter for high-dimensional geophysical systems. Nonlinear Process. Geophys. 2015, 2, 1631–1658. [Google Scholar]
- Wang, X.; Cao, J.; Li, W. Intelligent optimization CRPF algorithm. Syst. Eng. Electron. Technol. 2017, 39, 2857–2862. [Google Scholar]
- Zhang, X.; Liu, D.; Jiang, H.; Liang, J. Particle Filter with Unknown Statistics to Estimate Liquid Level in the Silicon Single-Crystal Growth. IEEE Trans. Instrum. Meas. 2020, 69, 2759–2770. [Google Scholar] [CrossRef]
- Míguez, J.; Bugallo, M.F.; Djurić, P.M. A new class of particle filters for random dynamic systems with unknown statistics. EURASIP J. Adv. Signal Process. 2004, 15, 2287–2294. [Google Scholar] [CrossRef]
- Zhong, L.; Li, Y.; Cheng, W.; Zheng, Y. Cost-Reference Particle Filter for Cognitive Radar Tracking Systems with Unknown Statistics. Sensors 2020, 20, 3669. [Google Scholar] [CrossRef]
- Li, T.C.; Sattar, T.P.; Sun, S.D. Deterministic resampling: Unbiased sampling to avoid sample impoverishment in particle filters. Signal Process. 2012, 92, 1637–1645. [Google Scholar] [CrossRef]
- Xu, C.; Wang, X.; Duan, S.; Wan, J. Particle filter tracking algorithm based on error ellipse resampling. J. Instrum. 2020, 41, 76–84. [Google Scholar]
- Li, Z.; Liu, T. Improved particle filter based soft sensing of room cooling load. J. Instrum. 2017, 142, 56–61. [Google Scholar]
- Zhou, W.; Lu, L.; Hou, J. Firefly algorithm-based particle filter for nonlinear systems. Circuits Syst. Signal Process. 2019, 38, 1583–1595. [Google Scholar] [CrossRef]
- Chen, Z.; Wu, P.; Bo, Y.; Tian, M.; Yue, C.; Gu, F. Maneuvering target tracking based on self-control bat algorithm intelligent optimization particle filter. Acta Electron. Sin. 2018, 46, 886–894. [Google Scholar]
- Higuchi, T. Monte Carlo filter using the genetic algorithm operators. J. Stat. Comput. Simul. 1997, 59, 1–23. [Google Scholar] [CrossRef]
- Yin, S.; Zhu, X. Intelligent particle filter and its application to fault detection of nonlinear system. IEEE Trans. Ind. Electron. 2015, 62, 3852–3861. [Google Scholar] [CrossRef]
- Yin, S.; Zhu, X.; Qiu, J.; Gao, H. State estimation in nonlinear system using sequential evolutionary filter. IEEE Trans. Ind. Electron. 2016, 63, 3786–3794. [Google Scholar] [CrossRef]
- Zhou, N.; Lau, L.; Bai, R.; Terry, M. A genetic optimization resampling based particle filtering algorithm for indoor target tracking. Remote Sens. 2021, 13, 132. [Google Scholar] [CrossRef]
- Teng, F.; Xue, L.; Li, X. Adaptive resampling particle filter based on Student’s t distribution. Control Decis. 2018, 33, 361–365. [Google Scholar]
- Qiu, Z.; Qian, H. Adaptive genetic particle filter and its application to attitude estimation system. Digit. Signal Process. 2018, 81, 163–172. [Google Scholar] [CrossRef]
- Lin, M.; Yang, C.; Li, D. An improved transformed unscented FastSLAM with adaptive genetic resampling. IEEE Trans. Ind. Electron. 2019, 66, 3583–3594. [Google Scholar] [CrossRef]
- Zhang, X.; Liu, D.; Yang, Y.; Liang, J. An intelligent particle filter with adaptive M-H resampling for liquid-level estimation during silicon crystal growth. IEEE Trans. Instrum. Meas. 2021, 70, 1–12. [Google Scholar] [CrossRef]
- Wang, H.; Yang, F.; Yao, H. Evolutionary particle filter inference algorithm for discrete dynamic Bayesian networks. J. Comput. Res. Dev. 2008, 45, 295–299. [Google Scholar]
- Lee, S.; Kwon, J.; Park, D. Optimized Replication of ADC-Based Particle Counting Algorithm with Reconfigurable Multi-Variables in Pseudo-Supervised Digital Twining of Reference Dust Sensor Systems. Sensors 2023, 23, 5557. [Google Scholar] [CrossRef]
- Jafari, S.; Byun, Y.-C. XGBoost-Based Remaining Useful Life Estimation Model with Extended Kalman Particle Filter for Lithium-Ion Batteries. Sensors 2022, 22, 9522. [Google Scholar] [CrossRef]








| Performance Index | Multi-CRPF (Proposed) | MH-CRPF (IntelligentCRPF) | CRPF |
|---|---|---|---|
| RMSE | 2.6220 | 3.2517 | 4.2156 |
| MAE | 1.9961 | 2.5345 | 3.5527 |
| Performance Index | Multi-CRPF (Proposed) | MH-CRPF (IntelligentCRPF) | CRPF |
|---|---|---|---|
| RMSE | 2.4747 | 2.6284 | 2.8030 |
| MAE | 1.8861 | 2.0164 | 2.1852 |
| Performance Index | Multi-CRPF (Proposed) | MH-CRPF (IntelligentCRPF) | CRPF |
|---|---|---|---|
| RMSE | 0.0363 | 0.0503 | 0.0646 |
| MAE | 0.0258 | 0.0360 | 0.0574 |
Disclaimer/Publisher’s Note: The statements, opinions and data contained in all publications are solely those of the individual author(s) and contributor(s) and not of MDPI and/or the editor(s). MDPI and/or the editor(s) disclaim responsibility for any injury to people or property resulting from any ideas, methods, instructions or products referred to in the content. |
© 2023 by the authors. Licensee MDPI, Basel, Switzerland. This article is an open access article distributed under the terms and conditions of the Creative Commons Attribution (CC BY) license (https://creativecommons.org/licenses/by/4.0/).
Share and Cite
Zhang, X.; Ren, M.; Duan, J.; Yi, Y.; Lei, B.; Wu, S. An Intelligent Cost-Reference Particle Filter with Resampling of Multi-Population Cooperation. Sensors 2023, 23, 6603. https://doi.org/10.3390/s23146603
Zhang X, Ren M, Duan J, Yi Y, Lei B, Wu S. An Intelligent Cost-Reference Particle Filter with Resampling of Multi-Population Cooperation. Sensors. 2023; 23(14):6603. https://doi.org/10.3390/s23146603
Chicago/Turabian StyleZhang, Xinyu, Mengjiao Ren, Jiemin Duan, Yingmin Yi, Biyu Lei, and Shuyue Wu. 2023. "An Intelligent Cost-Reference Particle Filter with Resampling of Multi-Population Cooperation" Sensors 23, no. 14: 6603. https://doi.org/10.3390/s23146603
APA StyleZhang, X., Ren, M., Duan, J., Yi, Y., Lei, B., & Wu, S. (2023). An Intelligent Cost-Reference Particle Filter with Resampling of Multi-Population Cooperation. Sensors, 23(14), 6603. https://doi.org/10.3390/s23146603

