Quantitative Assessment on Optical Properties as a Basis for Bioluminescence Imaging: An Experimental and Numerical Approach to the Transport of Optical Photons in Phantom Materials
Abstract
1. Introduction
2. Materials and Methods
2.1. Experimental Setup
2.2. Camera
2.3. Phantom Materials
2.4. Tube/Aperture System
2.5. Light Source
2.6. Image Acquisition
2.7. Image Analysis
2.8. Geant4-Simulation
2.9. Creating the Simulation Setup
2.10. Default Parameters
2.11. Data Acquisition
2.12. Data Comparison
3. Results
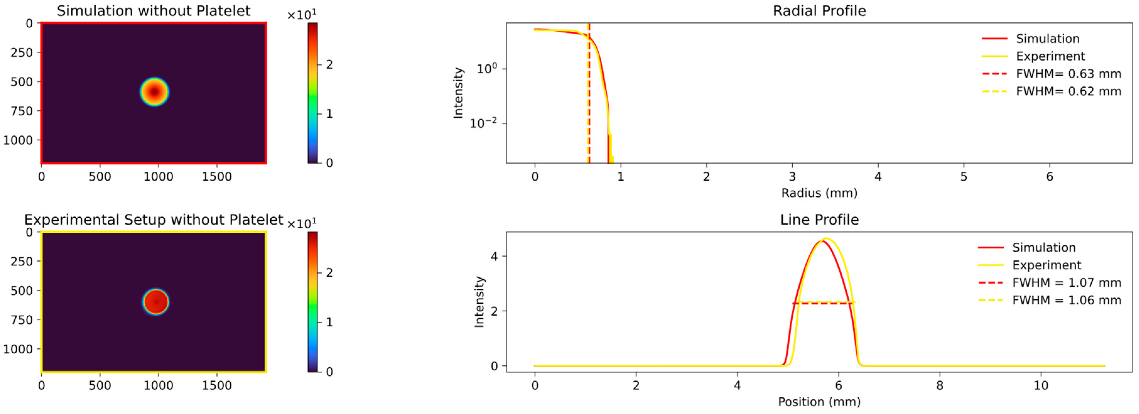
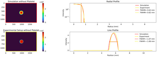
3.1. Images and Acquired Data
3.2. Adapting the Simulation
3.3. Scattering, Absorption and Anisotropy
3.3.1. Anisotropy Factor g
3.3.2. Scattering
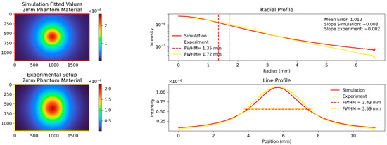
3.4. Final Results
3.5. Examining the Given Parameters by MediLumine
4. Discussion
Author Contributions
Funding
Institutional Review Board Statement
Informed Consent Statement
Data Availability Statement
Acknowledgments
Conflicts of Interest
References
- Di, J.; Du, Z.; Wu, K.; Jin, S.; Wang, X.; Li, T.; Xu, Y. Biodistribution and Non-linear Gene Expression of mRNA LNPs Affected by Delivery Route and Particle Size. Pharm. Res. 2022, 39, 105–114. [Google Scholar] [CrossRef] [PubMed]
- Solaimuthu, B.; Hayashi, A.; Khatib, A.; Shaul, Y.D. Monitoring Breast Cancer Growth and Metastatic Colony Formation in Mice using Bioluminescence. J. Vis. Exp. 2021, 177, e63060. [Google Scholar] [CrossRef]
- Karatas, H.; Maric, T.; D’Alessandro, P.L.; Yevtodiyenko, A.; Vorherr, T.; Hollingworth, G.J.; Goun, E.A. Real-Time Imaging and Quantification of Peptide Uptake in Vitro and in Vivo. ACS Chem. Biol. 2019, 14, 2197–2205. [Google Scholar] [CrossRef] [PubMed]
- Sinha, D.; Pieterse, Z.; Kaur, P. Qualitative in vivo bioluminescence imaging. Bio-Protocol 2018, 8, e3020. [Google Scholar] [CrossRef] [PubMed]
- Zhang, J.; Chen, D.; Liang, J.; Xue, H.; Lei, J.; Wang, Q.; Chen, D.; Meng, M.; Jin, Z.; Tian, J. Incorporating MRI structural information into bioluminescence tomography: System, heterogeneous reconstruction and in vivo quantification. Biomed. Opt. Express 2014, 5, 1861–1876. [Google Scholar] [CrossRef]
- Yin, W.; Li, X.; Cao, Q.; Wang, H.; Zhang, B. Bioluminescence tomography reconstruction in conjunction with an organ probability map as an anatomical reference. Biomed. Opt. Express 2022, 13, 1275–1291. [Google Scholar] [CrossRef]
- Rezaeifar, B.; Wolfs, C.J.A.; Lieuwes, N.G.; Biemans, R.; Reniers, B.; Dubois, L.J.; Verhaegen, F. A deep learning and Monte Carlo based framework for bioluminescence imaging center of mass-guided glioblastoma targeting. Phys. Med. Biol. 2022, 67, 144003. [Google Scholar] [CrossRef]
- Wang, Y.; Zhang, H.; Guo, H.; Wang, B.; Liu, Y.; He, X.; Yu, J.; Yi, H.; He, X. Accurate and fast reconstruction for bioluminescence tomography based on adaptive Newton hard thresholding pursuit algorithm. J. Opt. Soc. Am. A Opt. Image Sci. Vis. 2022, 39, 829–840. [Google Scholar] [CrossRef]
- Saito-Moriya, R.; Nakayama, J.; Kamiya, G.; Kitada, N.; Obata, R.; Maki, S.A.; Aoyama, H. How to Select Firefly Luciferin Analogues for In Vivo Imaging. Int. J. Mol. Sci. 2021, 22, 1848. [Google Scholar] [CrossRef]
- Collaboration, G. Geant4 Documentation. Available online: https://geant4.web.cern.ch/docs/ (accessed on 2 January 2023).
- Collaboration, G. OpNovice2 Example Source Tree. Available online: https://gitlab.cern.ch/geant4/geant4/-/tree/master/examples/extended/optical/OpNovice2 (accessed on 1 February 2022).
- Kang, H.G.; Song, S.H.; Han, Y.B.; Kim, K.M.; Hong, S.J. Lens implementation on the GATE Monte Carlo toolkit for optical imaging simulation. J. Biomed. Opt. 2018, 23, 026003. [Google Scholar] [CrossRef]
- Altabella, L.; Gigliotti, C.R.; Perani, L.; Crippa, M.P.; Boschi, F.; Spinelli, A.E. High resolution in vitro bioluminescence imaging using a multimodal optical system. J. Instrum. 2016, 11, C01035. [Google Scholar] [CrossRef]
- Cuplov, V.; Buvat, I.; Pain, F.; Jan, S. Extension of the GATE Monte-Carlo simulation package to model bioluminescence and fluorescence imaging. J. Biomed. Opt. 2014, 19, 026004. [Google Scholar] [CrossRef] [PubMed]
- Myers, M.S.; Kosmacek, E.A.; Chatterjee, A.; Oberley-Deegan, R.E. CT vs. bioluminescence: A comparison of imaging techniques for orthotopic prostate tumors in mice. PLoS ONE 2022, 17, e0277239. [Google Scholar] [CrossRef] [PubMed]
- Bouchard, J.-P.; Veilleux, I.; Noiseux, I.; Leclair, S.; Jedidi, R.; Fortin, M.; Mermut, O. Uncertainty Analysis of Time Resolved Transmittance Characterization of Solid Tissue Phantoms; SPIE: Bellingham, WA, USA, 2010; Volume 7567. [Google Scholar]
- MediLumine. Bioluminescence Phantom. Available online: https://medilumine.com/new-biomimetic-optical-phantom-developed-by-ino-medilumine-collaboration/ (accessed on 1 May 2022).
- Basler. Basler Ace acA1920-40gm—EMVA Data. Available online: https://www.baslerweb.com/en/downloads/document-downloads/basler-ace-aca1920-40gm-emva-data/ (accessed on 1 November 2022).
- Ino.ca. BIOMIMIC™ OPTICAL PHANTOMS. Available online: https://inostorage.blob.core.windows.net/media/3075/biomimic-optical-phantom.pdf (accessed on 1 August 2022).
- Shaiju, V.S.; Kumar, R.; Phani, D.; Rajasekhar, K.V.; Zacharia, G.; Bhasi, S.; Nair, R.K. Design, Fabrication, and Validation of a Polymethyl Methacrylate Head Phantom for Dosimetric Verification of Cranial Radiotherapy Treatment Plans. J. Med. Phys. 2020, 45, 66–70. [Google Scholar] [CrossRef] [PubMed]
- Kingbright. L-34YD Datasheet. Available online: https://www.kingbright.com/attachments/file/psearch/000/00/00/L-34YD(Ver.24B).pdf (accessed on 1 November 2022).
- Branchini, B.R.; Fontaine, D.M.; Kohrt, D.; Huta, B.P.; Racela, A.R.; Fort, B.R.; Southworth, T.L.; Roda, A. Systematic Comparison of Beetle Luciferase-Luciferin Pairs as Sources of Near-Infrared Light for In Vitro and In Vivo Applications. Int. J. Mol. Sci. 2022, 23, 2451. [Google Scholar] [CrossRef]
- Dietz-Laursonn, E. Peculiarities in the Simulation of Optical Physics with Geant4. arXiv 2016, arXiv:1612.05162. [Google Scholar]
- Pu, Y.; Chen, J.; Wang, W.; Alfano, R.R. Basic Optical Scattering Parameter of the Brain and Prostate Tissues in the Spectral Range of 400–2400 nm. In Neurophotonics and Biomedical Spectroscopy; Elsevier: Amsterdam, The Netherlands, 2019; pp. 229–252. [Google Scholar]
- Collaboration, G. Physics Reference Manual 10.7. Available online: https://geant4-userdoc.web.cern.ch/UsersGuides/PhysicsReferenceManual/html/index.html (accessed on 1 November 2022).
- Jacques, S.L. Corrigendum: Optical properties of biological tissues: A review. Phys. Med. Biol. 2013, 58, 5007–5008. [Google Scholar] [CrossRef]
- Binzoni, T.; Leung, T.S.; Gandjbakhche, A.H.; Rüfenacht, D.; Delpy, D.T. The use of the Henyey-Greenstein phase function in Monte Carlo simulations in biomedical optics. Phys. Med. Biol. 2006, 51, N313–N322. [Google Scholar] [CrossRef]
- Aden, M.; Mamuschkin, V.; Olowinsky, A.; Glaser, S. Influence of titanium dioxide pigments on the optical properties of polycarbonate and polypropylene for diode laser wavelengths. J. Appl. Polym. Sci. 2014, 131, 40073. [Google Scholar] [CrossRef]
- Popov, A.P.; Priezzhev, A.V.; Lademann, J.; Myllylä, R. TiO2 nanoparticles as an effective UV-B radiation skin-protective compound in sunscreens. J. Phys. D Appl. Phys. 2005, 38, 2564. [Google Scholar] [CrossRef]
- Akarçay, H.G.; Preisser, S.; Frenz, M.; Rička, J. Determining the optical properties of a gelatin-TiO(2) phantom at 780 nm. Biomed. Opt. Express 2012, 3, 418–434. [Google Scholar] [CrossRef] [PubMed]
- Sandell, J.L.; Zhu, T.C. A review of in-vivo optical properties of human tissues and its impact on PDT. J. Biophotonics 2011, 4, 773–787. [Google Scholar] [CrossRef] [PubMed]
- Institut National d’Optique (INO Head Office, Quebec City, QC, Canada). Personal communication, 2022.



























| Parameter | Default Value at 590 nm | Geant4 Equivalent | Geant4 Parameter |
|---|---|---|---|
| 25.82 | MIEHG | 0.03873 cm 2 | |
| 0.131 | ABSLENGTH | 7.63 cm 2 | |
| 0.62 | MIEHG_FORWARD | 0.62 | |
| 1.511 | RINDEX | 1.511 | |
| nan | MIEHG_ FORWARD_RATIO | 1 | |
| 9.86 | nan 1 | nan 1 |
Disclaimer/Publisher’s Note: The statements, opinions and data contained in all publications are solely those of the individual author(s) and contributor(s) and not of MDPI and/or the editor(s). MDPI and/or the editor(s) disclaim responsibility for any injury to people or property resulting from any ideas, methods, instructions or products referred to in the content. |
© 2023 by the authors. Licensee MDPI, Basel, Switzerland. This article is an open access article distributed under the terms and conditions of the Creative Commons Attribution (CC BY) license (https://creativecommons.org/licenses/by/4.0/).
Share and Cite
Karstens, T.; Staufer, T.; Buchin, R.; Grüner, F. Quantitative Assessment on Optical Properties as a Basis for Bioluminescence Imaging: An Experimental and Numerical Approach to the Transport of Optical Photons in Phantom Materials. Sensors 2023, 23, 6458. https://doi.org/10.3390/s23146458
Karstens T, Staufer T, Buchin R, Grüner F. Quantitative Assessment on Optical Properties as a Basis for Bioluminescence Imaging: An Experimental and Numerical Approach to the Transport of Optical Photons in Phantom Materials. Sensors. 2023; 23(14):6458. https://doi.org/10.3390/s23146458
Chicago/Turabian StyleKarstens, Tim, Theresa Staufer, Rasmus Buchin, and Florian Grüner. 2023. "Quantitative Assessment on Optical Properties as a Basis for Bioluminescence Imaging: An Experimental and Numerical Approach to the Transport of Optical Photons in Phantom Materials" Sensors 23, no. 14: 6458. https://doi.org/10.3390/s23146458
APA StyleKarstens, T., Staufer, T., Buchin, R., & Grüner, F. (2023). Quantitative Assessment on Optical Properties as a Basis for Bioluminescence Imaging: An Experimental and Numerical Approach to the Transport of Optical Photons in Phantom Materials. Sensors, 23(14), 6458. https://doi.org/10.3390/s23146458

