Beam-Switching Antennas for 5G Millimeter-Wave Wireless Terminals
Abstract
1. Introduction
2. Antenna Radiating Off-Broadside
2.1. A 28 GHz Antenna
2.2. Shorter Antenna for Wireless Terminals
3. Antenna Radiating at the Broadside
3.1. Antenna Configuration
3.2. Antenna Performance
4. 1D Beam Switching
4.1. Antenna Configuration
4.2. Design Procedure and Working Principle
5. Measured and Predicted Results
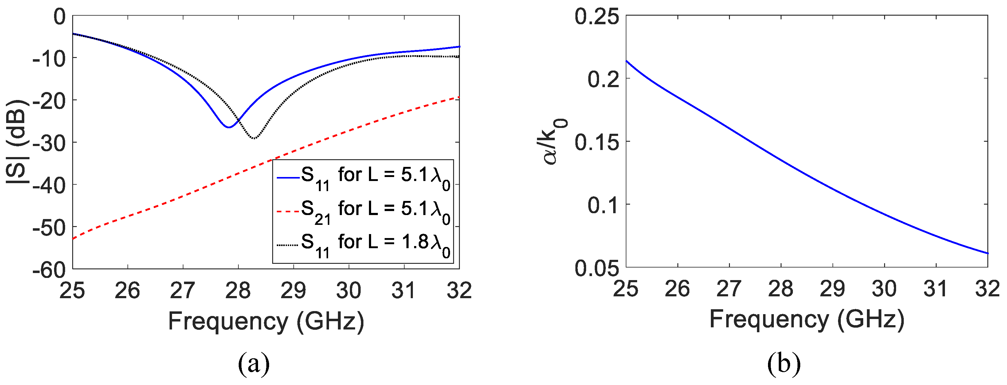
5.1. S-Parameters
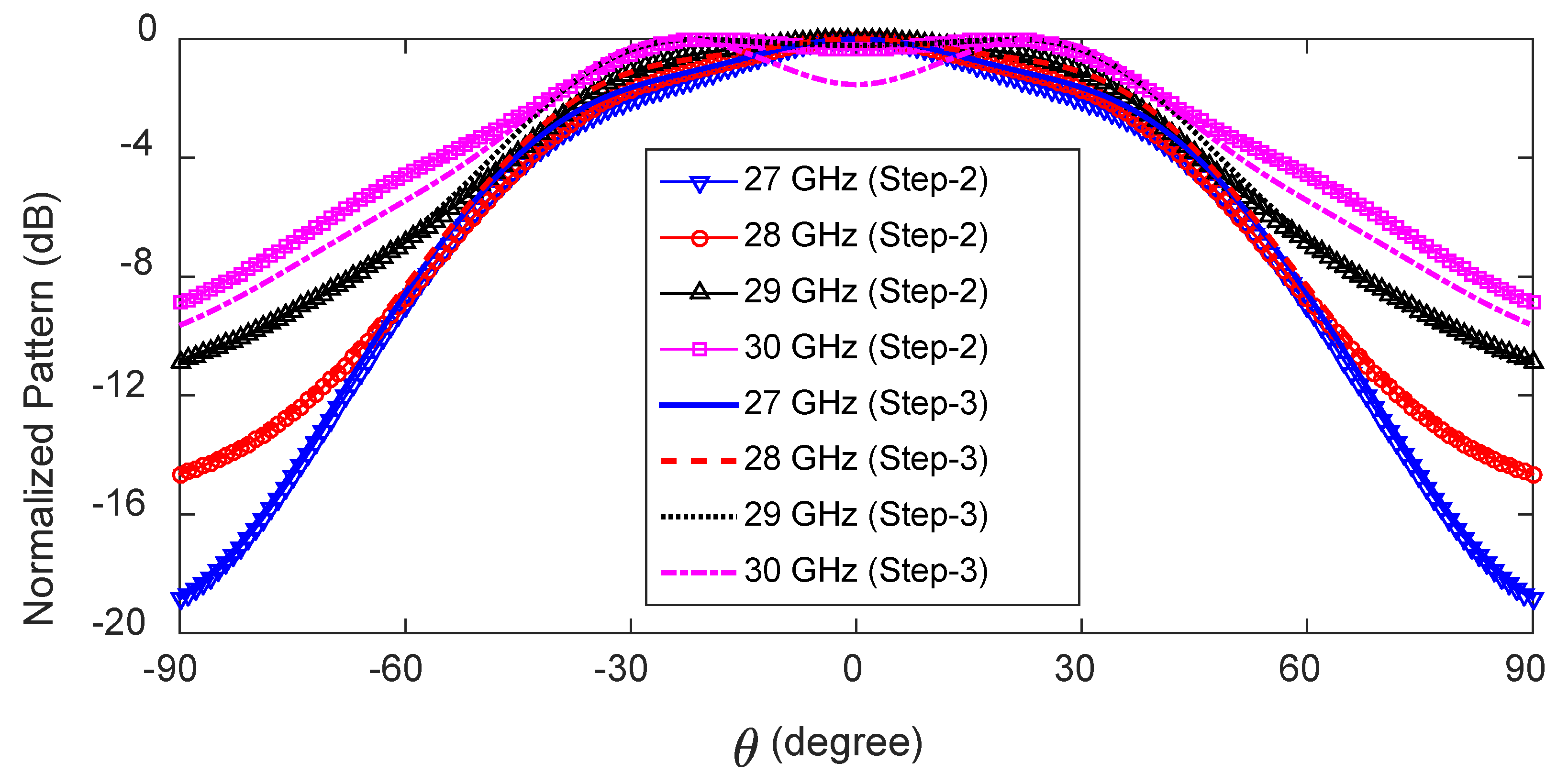
5.2. Radiation Performance
6. 2D Beam Switching
6.1. Antenna Configuration
6.2. Integration into Wireless Device
6.3. Measured and Predicted Results
7. Conclusions
Author Contributions
Funding
Institutional Review Board Statement
Informed Consent Statement
Data Availability Statement
Conflicts of Interest
References
- Jeon, M.; Seo, Y.; Cho, J.; Lee, C.; Jang, J.; Lee, Y.; Kwon, H.W.; Kahng, S. Investigation on Beam Alignment of a Microstrip-Line Butler Matrix and an SIW Butler Matrix for 5G Beamforming Antennas through RF-to-RF Wireless Sensing and 64-QAM Tests. Sensors 2021, 21, 6830. [Google Scholar] [CrossRef] [PubMed]
- Tong, X.; Jiang, Z.H.; Yu, C.; Wu, F.; Xu, X.; Hong, W. Low-Profile, Broadband, Dual-Linearly Polarized, and Wide-Angle Millimeter-Wave Antenna Arrays for Ka-Band 5G Applications. IEEE Antennas Wirel. Propag. Lett. 2021, 20, 2038–2042. [Google Scholar] [CrossRef]
- Morshed, K.M.; Karmokar, D.K.; Esselle, K.P. Antennas for Licensed Shared Access in 5G Communications with LTE Mid- and High-Band Coverage. Sensors 2023, 23, 2095. [Google Scholar] [CrossRef] [PubMed]
- Sánchez, B.J.; Covarrubias, D.H.; Yepes, L.F.; Panduro, M.A.; Juárez, E. Effects of Narrow Beam Phased Antenna Arrays over the Radio Channel Metrics, Doppler Power Spectrum, and Coherence Time, in a Context of 5G Frequency Bands. Appl. Sci. 2021, 11, 10081. [Google Scholar] [CrossRef]
- Ullah, H.; Tahir, F.A. A High Gain and Wideband Narrow-Beam Antenna for 5G Millimeter-Wave Applications. IEEE Access 2020, 8, 29430–29434. [Google Scholar] [CrossRef]
- Zhang, Q.; Chai, B.; Chen, J.; Yang, W. A Compact Aperture-Sharing Sub-6 GHz/Millimeter-Wave Dual-Band Antenna. Sensors 2023, 23, 4400. [Google Scholar] [CrossRef]
- Yang, S.J.; Yao, S.F.; Ma, R.Y.; Zhang, X.Y. Low-Profile Dual-Wideband Dual-Polarized Antenna for 5G Millimeter-Wave Communications. IEEE Antennas Wirel. Propag. Lett. 2022, 21, 2367–2371. [Google Scholar] [CrossRef]
- Abbas, M.A.; Allam, A.; Gaafar, A.; Elhennawy, H.M.; Sree, M.F.A. Compact UWB MIMO Antenna for 5G Millimeter-Wave Applications. Sensors 2023, 23, 2702. [Google Scholar] [CrossRef]
- Chen, Z.; Zhang, W.; Wang, K. Single-Layer Interconnected Magneto-Electric Dipole Antenna Array for 5G Communication Applications. Electronics 2023, 12, 922. [Google Scholar] [CrossRef]
- Lin, Z.; Lin, M.; de Cola, T.; Wang, J.B.; Zhu, W.P.; Cheng, J. Supporting IoT with Rate-Splitting Multiple Access in Satellite and Aerial-Integrated Networks. IEEE Internet Things J. 2021, 8, 11123–11134. [Google Scholar] [CrossRef]
- Xue, Q.; Liu, Y.J.; Sun, Y.; Wang, J.; Yan, L.; Feng, G.; Ma, S. Beam Management in Ultra-Dense mmWave Network via Federated Reinforcement Learning: An Intelligent and Secure Approach. IEEE Trans. Cogn. Commun. Netw. 2023, 9, 185–197. [Google Scholar] [CrossRef]
- Andrews, J.G.; Buzzi, S.; Choi, W.; Hanly, S.V.; Lozano, A.; Soong, A.C.K.; Zhang, J.C. What Will 5G Be? IEEE J. Sel. Areas Commun. 2014, 32, 1065–1082. [Google Scholar] [CrossRef]
- Rappaport, T.S.; Sun, S.; Mayzus, R.; Zhao, H.; Azar, Y.; Wang, K.; Wong, G.N.; Schulz, J.K.; Samimi, M.; Gutierrez, F. Millimeter Wave Mobile Communications for 5G Cellular: It Will Work! IEEE Access 2013, 1, 335–349. [Google Scholar] [CrossRef]
- Wang, C.X.; Haider, F.; Gao, X.; You, X.H.; Yang, Y.; Yuan, D.; Aggoune, H.M.; Haas, H.; Fletcher, S.; Hepsaydir, E. Cellular architecture and key technologies for 5G wireless communication networks. IEEE Commun. Mag. 2014, 52, 122–130. [Google Scholar] [CrossRef]
- Boccardi, F.; Heath, R.W.; Lozano, A.; Marzetta, T.L.; Popovski, P. Five disruptive technology directions for 5G. IEEE Commun. Mag. 2014, 52, 74–80. [Google Scholar] [CrossRef]
- Morshed, K.M.; Karmokar, D.K.; Esselle, K.P. Highly Efficient Leaky-Wave Antenna Array for 28-GHz Millimeter-Wave Terminals. In Proceedings of the IEEE 85th Vehicular Technology Conference (VTC Spring), Sydney, Australia, 4–7 June 2017; pp. 1–4. [Google Scholar] [CrossRef]
- Bhushan, N.; Li, J.; Malladi, D.; Gilmore, R.; Brenner, D.; Damnjanovic, A.; Sukhavasi, R.T.; Patel, C.; Geirhofer, S. Network densification: The dominant theme for wireless evolution into 5G. IEEE Commun. Mag. 2014, 52, 82–89. [Google Scholar] [CrossRef]
- Li, Y.; Pateromichelakis, E.; Vucic, N.; Luo, J.; Xu, W.; Caire, G. Radio Resource Management Considerations for 5G Millimeter Wave Backhaul and Access Networks. IEEE Commun. Mag. 2017, 55, 86–92. [Google Scholar] [CrossRef]
- Agyapong, P.K.; Iwamura, M.; Staehle, D.; Kiess, W.; Benjebbour, A. Design considerations for a 5G network architecture. IEEE Commun. Mag. 2014, 52, 65–75. [Google Scholar] [CrossRef]
- Ahamed, M.M.; Faruque, S. 5G Network Coverage Planning and Analysis of the Deployment Challenges. Sensors 2021, 21, 6608. [Google Scholar] [CrossRef]
- Hong, W.; Baek, K.H.; Lee, Y.; Kim, Y.; Ko, S.T. Study and prototyping of practically large-scale mmWave antenna systems for 5G cellular devices. IEEE Commun. Mag. 2014, 52, 63–69. [Google Scholar] [CrossRef]
- Rappaport, T.S.; MacCartney, G.R.; Sun, S.; Yan, H.; Deng, S. Small-Scale, Local Area, and Transitional Millimeter Wave Propagation for 5G Communications. IEEE Trans. Antennas Propag. 2017, 65, 6474–6490. [Google Scholar] [CrossRef]
- Jilani, S.F.; Alomainy, A. A Multiband Millimeter-Wave Two-Dimensional Array Based on Enhanced Franklin Antenna for 5G Wireless Systems. IEEE Antennas Wirel. Propag. Lett. 2017, 16, 2983–2986. [Google Scholar] [CrossRef]
- Hong, W.; Baek, K.H.; Ko, S. Millimeter-wave 5G Antennas for Smartphones: Overview and Experimental Demonstration. IEEE Trans. Antennas Propag. 2017, 65, 6250–6261. [Google Scholar] [CrossRef]
- Jo, O.; Kim, J.J.; Yoon, J.; Choi, D.; Hong, W. Exploitation of Dual-polarization Diversity for 5G Millimeter-Wave MIMO Beamforming Systems. IEEE Trans. Antennas Propag. 2017, 65, 6646–6655. [Google Scholar] [CrossRef]
- Sung, M.; Cho, S.H.; Kim, J.; Lee, J.K.; Lee, J.H.; Chung, H.S. Demonstration of IFoF based Mobile Fronthaul in 5G Prototype with 28 GHz Millimeter-wave. J. Lightw. Technol. 2018, 36, 601–609. [Google Scholar] [CrossRef]
- Zhang, J.; Ge, X.; Li, Q.; Guizani, M.; Zhang, Y. 5G Millimeter-Wave Antenna Array: Design and Challenges. IEEE Wirel. Commun. 2017, 24, 106–112. [Google Scholar] [CrossRef]
- You, C.; Choi, J.; Ryu, H.; Kim, D.; Kim, G.; Kim, S. Wideband Dual-Polarized On-Board Antenna for 5G mmWave Mobile Application. In Proceedings of the 2022 14th Global Symposium on Millimeter-Waves & Terahertz (GSMM), Seoul, Republic of Korea, 18–20 May 2022; pp. 195–196. [Google Scholar] [CrossRef]
- Li, W.Y.; Chung, W.; Wong, K.L. Highly-Integrated Dual-Band mmWave Antenna Array for 5G Mobile Phone Application. In Proceedings of the 2020 14th European Conference on Antennas and Propagation (EuCAP), Copenhagen, Denmark, 15–20 March 2020; pp. 1–5. [Google Scholar] [CrossRef]
- Kim, G.; Kim, S. Design and Analysis of Dual Polarized Broadband Microstrip Patch Antenna for 5G mmWave Antenna Module on FR4 Substrate. IEEE Access 2021, 9, 64306–64316. [Google Scholar] [CrossRef]
- Kiani, S.H.; Alharbi, A.G.; Khan, S.; Marey, M.; Mostafa, H.; Khan, M.A. Wideband Three Loop Element Antenna Array for Future 5G mmwave Devices. IEEE Access 2022, 10, 22472–22479. [Google Scholar] [CrossRef]
- Federal Communications Commission. Use of Spectrum Bands Above 24 GHz For Mobile Radio Services; Federal Communications Commission: Washington, DC, USA, 2017.
- Bani-Bakr, A.; Dimyati, K.; Hindia, M.N.; Wong, W.R.; Imran, M.A. Feasibility study of 28 GHz and 38 GHz millimeter-wave technologies for fog radio access networks using multi-slope path loss model. Phys. Commun. 2021, 47, 101401. [Google Scholar] [CrossRef]
- Thalakotuna, D.; Esselle, K.P. 5G Extender Antenna Systems to Enhance Indoor Millimetre-Wave Reception. In Printed Antennas for 5G Networks; Matekovits, L., Kanaujia, B.K., Kishor, J., Gupta, S.K., Eds.; Springer International Publishing: Cham, Switzerland, 2022; pp. 1–27. [Google Scholar]
- Hwang, I.; Ahn, B.; Chae, S.; Yu, J.; Lee, W. Quasi-Yagi Antenna Array with Modified Folded Dipole Driver for mmWave 5G Cellular Devices. IEEE Antennas Wirel. Propag. Lett. 2019, 18, 971–975. [Google Scholar] [CrossRef]
- Yu, B.; Yang, K.; Sim, C.; Yang, G. A Novel 28 GHz Beam Steering Array for 5G Mobile Device with Metallic Casing Application. IEEE Trans. Antennas Propag. 2018, 66, 462–466. [Google Scholar] [CrossRef]
- Wang, S.; Li, Z.; Chen, M.; Wang, J. Electronically Controlled Fixed-Frequency Beam-Scanning Periodic Leaky-Wave Antenna with Positive-Order-Harmonic Radiations. IEEE Antennas Wirel. Propag. Lett. 2022, 21, 1610–1614. [Google Scholar] [CrossRef]
- Yang, Q.L.; Ban, Y.L.; Yang, S.R.; Li, M.Y. Omnidirectional slot arrays fed by stacked butler matrix for 5G handset devices. In Proceedings of the IEEE 9th UK-Europe-China Workshop Millimetre Waves Terahertz Tech., Qingdao, China, 5–7 September 2016; pp. 245–247. [Google Scholar] [CrossRef]
- Chang, W.S.; Yang, C.F.; Chang, C.K.; Liao, W.J.; Cho, L.; Chen, W.S. Pattern reconfigurable millimeter-wave antenna design for 5G handset applications. In Proceedings of the European Conference on Antennas and Propagation (EuCAP), Davos, Switzerland, 10–15 April 2016. [Google Scholar]
- Lu, R.; Yu, C.; Wu, F.; Yu, Z.; Zhu, L.; Zhou, J.; Yan, P.; Hong, W. SIW Cavity-Fed Filtennas for 5G Millimeter-Wave Applications. IEEE Trans. Antennas Propag. 2021, 69, 5269–5277. [Google Scholar] [CrossRef]
- Lin, Z.; Lin, M.; Champagne, B.; Zhu, W.P.; Al-Dhahir, N. Secrecy-Energy Efficient Hybrid Beamforming for Satellite-Terrestrial Integrated Networks. IEEE Trans. Commun. 2021, 69, 6345–6360. [Google Scholar] [CrossRef]
- Rao, M.; Sarabandi, K. A Low-Profile Dual-Band Dual-Polarized Quasi-Endfire Phased Array for mmWave 5G Smartphones. IEEE Access 2022, 10, 38523–38533. [Google Scholar] [CrossRef]
- Chen, S.L.; Karmokar, D.K.; Li, Z.; Qin, P.Y.; Ziolkowski, R.W.; Guo, Y.J. Continuous Beam Scanning at a Fixed Frequency with a Composite Right-/Left-Handed Leaky-Wave Antenna Operating Over a Wide Frequency Band. IEEE Trans. Antennas Propag. 2019, 67, 7272–7284. [Google Scholar] [CrossRef]
- Guzman-Quiros, R.; Gomez-Tornero, J.L.; Weily, A.R.; Guo, Y.J. Electronically Steerable 1-D Fabry-Perot Leaky-Wave Antenna Employing a Tunable High Impedance Surface. IEEE Trans. Antennas Propag. 2012, 60, 5046–5055. [Google Scholar] [CrossRef]
- Guo, Y.J.; Karmokar, D.K.; Bird, T.S. Reconfigurable leaky wave antennas. In Developments in Antenna Analysis and Synthesis, Part-1; Chapter 5; Mittra, R., Ed.; The Institution of Engineering and Technology (IET): London, UK, 2018. [Google Scholar]
- Karmokar, D.K.; Esselle, K.P. Periodic U-Slot-Loaded Dual-Band Half-Width Microstrip Leaky-Wave Antennas for Forward and Backward Beam Scanning. IEEE Trans. Antennas Propag. 2015, 63, 5372–5381. [Google Scholar] [CrossRef]
- Chu, D.; Mao, Y.; Li, H.; Bie, H.; Zhou, Y. Dual-Polarized Multi-Beam Fixed-Frequency Beam Scanning Leaky-Wave Antenna. Sensors 2023, 23, 5070. [Google Scholar] [CrossRef]
- Karmokar, D.K.; Morshed, K.M.; Hossain, S.; Mollah, N. A high-gain slot-loaded microstrip patch antenna fed by a half-width microstrip line for 5.5 and 5.8 GHz Wi-Fi/WiMAX applications. In Proceedings of the 2nd International Conference on Electrical Information and Communication Technologies (EICT), Khulna, Bangladesh, 10–12 December 2015; pp. 359–363. [Google Scholar] [CrossRef]
- Arya, V.; Garg, T.; Al-Khafaji, H.M.R. High Gain and Wide-Angle Continuous Beam Scanning SIW Leaky-Wave Antenna. Electronics 2023, 12, 370. [Google Scholar] [CrossRef]
- Xu, K.; Wang, Q.; Lv, L.; Zhang, Q.; Sun, S.; Luo, F.; Luo, X.; Peng, L.; Wang, G. SIW-Based -Band Leaky-Wave Antenna with Improved Beam Steering Performance. IEEE Antennas Wirel. Propag. Lett. 2022, 21, 2224–2228. [Google Scholar] [CrossRef]
- Kuznetcov, M.V.; Buendía, V.G.G.; Shafiq, Z.; Matekovits, L.; Anagnostou, D.E.; Podilchak, S.K. Printed Leaky-Wave Antenna with Aperture Control Using Width-Modulated Microstrip Lines and TM Surface-Wave Feeding by SIW Technology. IEEE Antennas Wirel. Propag. Lett. 2019, 18, 1809–1813. [Google Scholar] [CrossRef]
- Kamalzadeh, S.; Soleimani, M. A Novel SIW Leaky-Wave Antenna for Continuous Beam Scanning from Backward to Forward. Electronics 2022, 11, 1804. [Google Scholar] [CrossRef]
- Karmokar, D.K.; Guo, Y.J. Planar leaky-wave antennas for low-cost radar. In Proceedings of the 2017 IEEE-APS Topical Conference on Antennas and Propagation in Wireless Communications (APWC), Verona, Italy, 11–15 September 2017; pp. 112–115. [Google Scholar] [CrossRef]
- Mohsen, M.K.; Isa, M.S.B.M.; Isa, A.B.A.M.; Abdulhameed, M.K.; Attiah, M.L.; Dinar, A.M. Design for radiation broadside direction using half-width microstrip leaky-wave antenna array. AEU—Int. J. Electron. Commun. 2019, 110, 152839. [Google Scholar] [CrossRef]
- Jiang, H.; Xu, K.; Zhang, Q.; Yang, Y.; Karmokar, D.K.; Chen, S.; Zhao, P.; Wang, G.; Peng, L. Backward-to-Forward Wide-Angle Fast Beam-Scanning Leaky-Wave Antenna with Consistent Gain. IEEE Trans. Antennas Propag. 2021, 69, 2987–2992. [Google Scholar] [CrossRef]
- Karmokar, D.K.; Esselle, K.P.; Thalakotuna, D.N.P.; Heimlich, M.; Matekovits, L. A leaky-wave antenna for beam steering in forward and backward directions. In Proceedings of the IEEE 2013 Tencon—Spring, Sydney, Australia, 17–19 April 2013; pp. 47–50. [Google Scholar] [CrossRef]
- Karmokar, D.K.; Esselle, K.P.; Bird, T.S. Wideband Microstrip Leaky-Wave Antennas with Two Symmetrical Side Beams for Simultaneous Dual-Beam Scanning. IEEE Trans. Antennas Propag. 2016, 64, 1262–1269. [Google Scholar] [CrossRef]
- Xie, S.; Li, J.; Deng, G.; Feng, J.; Xiao, S. A Wide-Angle Scanning Leaky-Wave Antenna Based on a Composite Right/Left-Handed Transmission Line. Appl. Sci. 2020, 10, 1927. [Google Scholar] [CrossRef]
- Zhang, W.; Li, Y.; Zhang, Z. A Substrate Integrated Slot Leaky-Wave Antenna for Point-to-Point Communication. IEEE Trans. Antennas Propag. 2022, 70, 9888–9893. [Google Scholar] [CrossRef]
- Karmokar, D.K.; Thalakotuna, D.N.P.; Esselle, K.P.; Heimlich, M. Controlling the beam scanning limits of a microstrip leaky-wave antenna. In Proceedings of the 2013 IEEE Antennas and Propagation Society International Symposium (APSURSI), Orlando, FL, USA, 7–13 July 2013; pp. 1330–1331. [Google Scholar] [CrossRef]
- Zelinski, G.M.; Thiele, G.A.; Hastriter, M.L.; Havrilla, M.J.; Terzuoli, A.J. Half width leaky wave antennas. IET Microw. Antennas Propag. 2007, 1, 341–348. [Google Scholar] [CrossRef]
- Oliner, A.A.; Jackson, D.R. Leaky-Wave Antennas. In Antenna Engineering Handbook, 4th ed.; Volakis, J., Ed.; McGraw-Hill Professional: New York, NY, USA, 2007; Chapter 11; pp. 11.1–11.56. [Google Scholar] [CrossRef]


























Disclaimer/Publisher’s Note: The statements, opinions and data contained in all publications are solely those of the individual author(s) and contributor(s) and not of MDPI and/or the editor(s). MDPI and/or the editor(s) disclaim responsibility for any injury to people or property resulting from any ideas, methods, instructions or products referred to in the content. |
© 2023 by the authors. Licensee MDPI, Basel, Switzerland. This article is an open access article distributed under the terms and conditions of the Creative Commons Attribution (CC BY) license (https://creativecommons.org/licenses/by/4.0/).
Share and Cite
Morshed, K.M.; Karmokar, D.K.; Esselle, K.P.; Matekovits, L. Beam-Switching Antennas for 5G Millimeter-Wave Wireless Terminals. Sensors 2023, 23, 6285. https://doi.org/10.3390/s23146285
Morshed KM, Karmokar DK, Esselle KP, Matekovits L. Beam-Switching Antennas for 5G Millimeter-Wave Wireless Terminals. Sensors. 2023; 23(14):6285. https://doi.org/10.3390/s23146285
Chicago/Turabian StyleMorshed, Khaled M., Debabrata K. Karmokar, Karu P. Esselle, and Ladislau Matekovits. 2023. "Beam-Switching Antennas for 5G Millimeter-Wave Wireless Terminals" Sensors 23, no. 14: 6285. https://doi.org/10.3390/s23146285
APA StyleMorshed, K. M., Karmokar, D. K., Esselle, K. P., & Matekovits, L. (2023). Beam-Switching Antennas for 5G Millimeter-Wave Wireless Terminals. Sensors, 23(14), 6285. https://doi.org/10.3390/s23146285

