Spatiotemporal Thermal Variations in Moroccan Cities: A Comparative Analysis
Abstract
1. Introduction
- To perform a comprehensive analysis of LST trends across eight Moroccan cities over the past three decades, thereby extending the temporal scope of existing research.
- To identify and analyze the impact of spectral indices and terrain characteristics on LST in the selected cities between 1990 and 2020, thus broadening the range of contributing factors considered in such studies.
- To compare the thermal environments of coastal and inland cities to uncover any distinctive patterns or differences.
2. Materials and Methods
2.1. Target Cities
2.2. Methods
2.2.1. Data Collection and Processing
2.2.2. Extraction of Land Surface Temperature (LST) and Spectral Indices
2.2.3. Geographically Weighted Regression (GWR) Analysis
2.2.4. Machine Learning (ML) Analysis of LST and Contributing Factors
3. Results
3.1. Visual Analysis of Spatiotemporal LST Trends
3.2. The 3D Plots of LST Trends
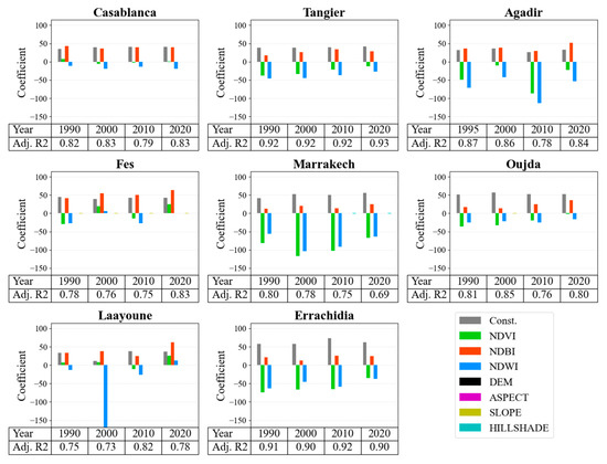
3.3. GWR Analysis
3.4. ML Modeling and SHAP-Based Explanation
3.4.1. ML Models’ Performance Assessment
3.4.2. LST Driving Factors’ Importance
3.4.3. Factors’ Interactions and LST Prediction
3.4.4. Analysis of the Association between Potential Factors in LST Prediction
4. Discussion
4.1. LST Trends and Contributing Factors
4.1.1. Coastal Cities
4.1.2. Inland Cities
4.2. Methodological Implications
4.3. Policy Implications
4.4. Limitations and Future Works
5. Concluding Remarks
Author Contributions
Funding
Institutional Review Board Statement
Informed Consent Statement
Data Availability Statement
Acknowledgments
Conflicts of Interest
Abbreviations
| ANN | Artificial Neural Network |
| B10 | Band 10 (in remote sensing, it refers to a specific spectral band of the satellite sensor) |
| B6 | Band 6 (similar to above, another specific spectral band) |
| DEM | Digital Elevation Model |
| ETM | Enhanced Thematic Mapper (a sensor onboard Landsat satellites) |
| GBM | Gradient Boosting Machine (a machine learning algorithm) |
| GEE | Google Earth Engine |
| GIS | Geographic Information System |
| GWR | Geographically Weighted Regression |
| LST | Land Surface Temperature |
| LULC | Land Use Land Cover |
| ML | Machine Learning |
| MODIS | Moderate Resolution Imaging Spectroradiometer |
| NDBI | Normalized Difference Built-up Index |
| NDVI | Normalized Difference Vegetation Index |
| NDWI | Normalized Difference Water Index |
| NIR | Near Infrared (a type of light invisible to the human eye, used in remote sensing) |
| OLI | Operational Land Imager (a sensor onboard Landsat satellites) |
| R2 | Coefficient of determination |
| RF | Random Forest |
| RMSE | Root Mean Square Error |
| SHAP | SHapley Additive exPlanations |
| SRTM | Shuttle Radar Topography Mission |
| SUHI | Surface Urban Heat Island |
| SVM | Support Vector Machine |
| SWIR | Shortwave Infrared (a specific region of the infrared spectrum used in remote sensing) |
| TIRS | Thermal Infrared Sensor (a sensor onboard Landsat satellites) |
| TM | Thematic Mapper (a sensor onboard Landsat satellites) |
| UHI | Urban Heat Island |
| UHS | Urban Heat Sink |
| UNESCO | United Nations Educational, Scientific and Cultural Organization |
Appendix A
| Algorithm | Hyperparameters | Description | Values Explored |
|---|---|---|---|
| XGBoost | learning_rate | Controls the learning process’s speed | 0.01, 0.1 |
| max_depth | Maximum depth of the trees | 3, 5, 7, 10 | |
| min_child_weight | Minimum sum of instance weight needed in a child | 1, 3, 5 | |
| subsample | Subsample ratio of the training instances | 0.5, 0.7 | |
| colsample_bytree | Subsample ratio of columns when constructing each tree | 0.5, 0.7 | |
| n_estimators | Number of boosted trees to fit | 100, 200, 500 | |
| objective | Specifies the learning task and the corresponding learning objective | reg:squarederror | |
| LightGBM | learning_rate | Controls the learning process’s speed | 0.01, 0.1 |
| num_leaves | Maximum tree leaves for base learners | 31, 127 | |
| reg_alpha | L1 regularization term on weight | 0.1, 0.5 | |
| min_data_in_leaf | Minimum amount of data needed in a leaf | 30, 50, 100, 300, 400 | |
| lambda_l1 | L1 regularization term on weights | 0, 1, 1.5 | |
| lambda_l2 | L2 regularization term on weights | 0, 1 |
| City | Factor | 1990 | 2000 | 2010 | 2020 | ||||
|---|---|---|---|---|---|---|---|---|---|
| Mean | Std. | Mean | Std. | Mean | Std. | Mean | Std. | ||
| Casablanca | Const. | 35.692 | 5.018 | 39.605 | 4.386 | 40.404 | 4.948 | 40.944 | 4.811 |
| NDVI | 7.033 | 23.826 | −6.349 | 26.545 | −2.997 | 29.032 | 0.461 | 27.232 | |
| NDBI | 42.543 | 11.784 | 36.56 | 10.979 | 39.572 | 11.006 | 39.998 | 7.857 | |
| NDWI | −10.951 | 30.554 | −18.647 | 34.765 | −13.854 | 31.778 | −19.335 | 32.538 | |
| DEM | 0.011 | 0.019 | 0.01 | 0.013 | 0.012 | 0.013 | 0.014 | 0.018 | |
| Slope | 0.000 | 0.001 | 0 | 0.001 | 0 | 0.001 | 0.001 | 0.001 | |
| Aspect | 0.026 | 0.078 | −0.023 | 0.129 | 0.017 | 0.092 | 0.015 | 0.08 | |
| Hillshade | −0.009 | 0.016 | −0.017 | 0.018 | −0.019 | 0.017 | −0.018 | 0.018 | |
| Adjusted R2 | 0.822 | 0.826 | 0.794 | 0.831 | |||||
| Tangier | Const. | 39.026 | 5.863 | 38.813 | 4.948 | 39.808 | 6.513 | 42.169 | 5.387 |
| NDVI | −38.218 | 30.132 | −34.014 | 36.432 | −21.487 | 65.482 | −12.723 | 51.227 | |
| NDBI | 17.798 | 13.028 | 26.053 | 12.169 | 34.511 | 14.26 | 28.632 | 11.91 | |
| NDWI | −45.8 | 42.133 | −44.822 | 47.328 | −36.657 | 70.21 | −26.445 | 58.29 | |
| DEM | −0.004 | 0.007 | −0.007 | 0.008 | −0.009 | 0.01 | −0.01 | 0.009 | |
| Slope | 0 | 0.002 | 0 | 0.002 | 0 | 0.002 | 0.001 | 0.002 | |
| Aspect | −0.025 | 0.055 | −0.029 | 0.051 | −0.025 | 0.062 | −0.034 | 0.048 | |
| Hillshade | −0.025 | 0.011 | −0.024 | 0.011 | −0.021 | 0.016 | −0.022 | 0.013 | |
| Adjusted R2 | 0.924 | 0.925 | 0.922 | 0.925 | |||||
| Agadir * | Const. | 31.38 | 4.597 | 35.987 | 5.182 | 26.795 | 4.528 | 32.715 | 5.51 |
| NDVI | −48.684 | 43.373 | −9.77 | 60.739 | −86.277 | 38.917 | −21.971 | 66.192 | |
| NDBI | 36.725 | 17.395 | 38.461 | 25.28 | 29.707 | 15.674 | 52.079 | 20.057 | |
| NDWI | −70.985 | 47.422 | −42.9 | 57.859 | −113.698 | 45.057 | −53.55 | 65.415 | |
| DEM | 0.005 | 0.029 | 0.012 | 0.037 | −0.002 | 0.027 | 0.004 | 0.026 | |
| Slope | −0.002 | 0.003 | −0.002 | 0.003 | −0.002 | 0.002 | −0.002 | 0.002 | |
| Aspect | −0.022 | 0.067 | −0.022 | 0.096 | −0.005 | 0.106 | −0.029 | 0.092 | |
| Hillshade | −0.006 | 0.016 | −0.009 | 0.018 | 0.002 | 0.019 | −0.003 | 0.02 | |
| Adjusted R2 | 0.873 | 0.855 | 0.784 | 0.837 | |||||
| City | Factor | 1990 | 2000 | 2010 | 2020 | ||||
|---|---|---|---|---|---|---|---|---|---|
| Mean | Std. | Mean | Std. | Mean | Std. | Mean | Std. | ||
| Fes | Const. | 45.224 | 7.333 | 39.407 | 6.42 | 43.135 | 6.795 | 42.079 | 7.313 |
| NDVI | −29.072 | 24.802 | 19.537 | 44.358 | −14.177 | 40 | 24.348 | 33.829 | |
| NDBI | 41.249 | 21.373 | 54.638 | 27.622 | 49.953 | 16.672 | 63.204 | 17.191 | |
| NDWI | −26.637 | 19.311 | 6.267 | 34.691 | −26.88 | 37.873 | 1.032 | 30.39 | |
| DEM | 0.001 | 0.011 | 0 | 0.011 | −0.003 | 0.007 | 0.001 | 0.009 | |
| Slope | −0.001 | 0.002 | −0.002 | 0.002 | −0.001 | 0.002 | −0.002 | 0.002 | |
| Aspect | −0.053 | 0.064 | −0.06 | 0.062 | −0.047 | 0.055 | −0.043 | 0.069 | |
| Hillshade | −0.021 | 0.014 | −0.009 | 0.013 | −0.011 | 0.014 | −0.004 | 0.018 | |
| Adjusted R2 | 0.781 | 0.764 | 0.748 | 0.831 | |||||
| Marrakech | Const. | 41.763 | 12.895 | 52.154 | 21.946 | 50.456 | 19.991 | 55.711 | 20.765 |
| NDVI | −81.418 | 28.828 | −116.335 | 65.369 | −102.411 | 34.938 | −66.571 | 48.243 | |
| NDBI | 12.991 | 17.18 | 19.924 | 19.999 | 14.043 | 16.079 | 25.195 | 21.608 | |
| NDWI | −55.42 | 35.825 | −103.617 | 84.045 | −90.986 | 34.512 | −63.165 | 51.512 | |
| DEM | 0.004 | 0.025 | −0.026 | 0.044 | −0.01 | 0.04 | −0.015 | 0.043 | |
| Slope | 0 | 0.001 | 0 | 0.001 | 0 | 0.001 | 0.001 | 0.001 | |
| Aspect | −0.034 | 0.145 | 0.02 | 0.113 | 0.06 | 0.178 | 0.09 | 0.149 | |
| Hillshade | −0.009 | 0.026 | −0.001 | 0.031 | −0.039 | 0.041 | −0.045 | 0.034 | |
| Adjusted R2 | 0.795 | 0.777 | 0.754 | 0.693 | |||||
| Oujda | Const. | 51.743 | 19.628 | 56.879 | 19.082 | 52.265 | 15.081 | 52.934 | 16.561 |
| NDVI | −36.461 | 45.437 | −32.7 | 49.317 | −19.344 | 34.913 | −1.871 | 44.051 | |
| NDBI | 16.87 | 24.862 | 13.893 | 31.968 | 24.819 | 25.435 | 36.202 | 28.596 | |
| NDWI | −25.32 | 59.577 | −21.167 | 52.454 | −24.925 | 34.623 | −16.485 | 34.465 | |
| DEM | −0.006 | 0.023 | −0.01 | 0.025 | −0.003 | 0.02 | −0.005 | 0.025 | |
| Slope | −0.001 | 0.002 | 0 | 0.001 | 0 | 0.001 | 0 | 0.001 | |
| Aspect | −0.016 | 0.144 | −0.055 | 0.134 | 0.028 | 0.12 | 0.007 | 0.135 | |
| Hillshade | −0.024 | 0.018 | −0.024 | 0.018 | −0.027 | 0.021 | −0.027 | 0.019 | |
| Adjusted R2 | 0.806 | 0.846 | 0.757 | 0.796 | |||||
| Laayoune | Const. | 33.7 | 5.481 | 10.836 | 29.89 | 38.069 | 4.853 | 36.995 | 6.818 |
| NDVI | 7.031 | 28.339 | 7.615 | 31.683 | −10.605 | 48.324 | 25.375 | 73.329 | |
| NDBI | 33.725 | 18.762 | 37.698 | 117.035 | 24.889 | 41.982 | 61.751 | 59.144 | |
| NDWI | −12.734 | 41.704 | −226.244 | 218.499 | −26.16 | 58.689 | 12.622 | 72.074 | |
| DEM | −0.017 | 0.024 | −0.05 | 0.115 | −0.032 | 0.037 | −0.005 | 0.035 | |
| Slope | 0 | 0.001 | −0.001 | 0.003 | 0 | 0.001 | 0 | 0.001 | |
| Aspect | −0.007 | 0.042 | 0.078 | 0.124 | −0.012 | 0.042 | 0.005 | 0.032 | |
| Hillshade | −0.004 | 0.009 | −0.001 | 0.029 | −0.001 | 0.01 | −0.001 | 0.007 | |
| Adjusted R2 | 0.748 | 0.726 | 0.821 | 0.778 | |||||
| Errachidia | Const. | 57.621 | 22.597 | 57.528 | 12.717 | 73.039 | 22.098 | 61.9 | 14.32 |
| NDVI | −74.214 | 80.893 | −66.098 | 54.502 | −64.967 | 72.532 | −34.785 | 36.929 | |
| NDBI | 21.335 | 42.014 | 12.332 | 28.008 | 26.221 | 37.405 | 24.489 | 24.373 | |
| NDWI | −63.112 | 43.89 | −45.168 | 39.23 | −58.741 | 45.277 | −37.562 | 31.262 | |
| DEM | −0.014 | 0.02 | −0.013 | 0.011 | −0.025 | 0.018 | −0.015 | 0.012 | |
| Slope | −0.001 | 0.002 | −0.001 | 0.002 | −0.001 | 0.002 | 0 | 0.002 | |
| Aspect | −0.039 | 0.088 | −0.045 | 0.095 | −0.068 | 0.099 | −0.07 | 0.097 | |
| Hillshade | −0.013 | 0.02 | −0.015 | 0.013 | −0.011 | 0.017 | −0.012 | 0.019 | |
| Adjusted R2 | 0.910 | 0.897 | 0.922 | 0.903 | |||||
References
- Li, Z.-L.; Tang, B.-H.; Wu, H.; Ren, H.; Yan, G.; Wan, Z.; Trigo, I.F.; Sobrino, J.A. Satellite-Derived Land Surface Temperature: Current Status and Perspectives. Remote Sens. Environ. 2013, 131, 14–37. [Google Scholar] [CrossRef]
- Voogt, J.A.; Oke, T.R. Thermal Remote Sensing of Urban Climates. Remote Sens. Environ. 2003, 86, 370–384. [Google Scholar] [CrossRef]
- Derdouri, A.; Wang, R.; Murayama, Y.; Osaragi, T. Understanding the Links between LULC Changes and SUHI in Cities: Insights from Two-Decadal Studies (2001–2020). Remote Sens. 2021, 13, 3654. [Google Scholar] [CrossRef]
- Athukorala, D.; Murayama, Y. Urban Heat Island Formation in Greater Cairo: Spatio-Temporal Analysis of Daytime and Nighttime Land Surface Temperatures along the Urban–Rural Gradient. Remote Sens. 2021, 13, 1396. [Google Scholar] [CrossRef]
- Wang, R.; Hou, H.; Murayama, Y.; Derdouri, A. Spatiotemporal Analysis of Land Use/Cover Patterns and Their Relationship with Land Surface Temperature in Nanjing, China. Remote Sens. 2020, 12, 440. [Google Scholar] [CrossRef]
- Deilami, K.; Kamruzzaman, M.; Liu, Y. Urban Heat Island Effect: A Systematic Review of Spatio-Temporal Factors, Data, Methods, and Mitigation Measures. Int. J. Appl. Earth Obs. Geoinf. 2018, 67, 30–42. [Google Scholar] [CrossRef]
- UN-Habitat (Ed.) World Cities Report 2020: The Value of Sustainable Urbanization; World Cities Report; UN-Habitat: Nairobi, Kenya, 2020; ISBN 978-92-1-132872-1. [Google Scholar]
- Rhinane, H.; Hilali, A.; Bahi, H.; Berrada, A. Contribution of Landsat TM Data for the Detection OfUrban Heat Islands Areas Case of Casablanca. J. Geogr. Inf. Syst. 2012, 04, 20–26. [Google Scholar] [CrossRef]
- Lachir, A.; Bounoua, L.; Zhang, P.; Thome, K.; Messouli, M. Modeling the Urban Impact on Semiarid Surface Climate: A Case Study in Marrakech, Morocco. Can. J. Remote Sens. 2016, 42, 379–395. [Google Scholar] [CrossRef]
- Bahi, H.; Rhinane, H.; Bensalmia, A.; Fehrenbach, U.; Scherer, D. Effects of Urbanization and Seasonal Cycle on the Surface Urban Heat Island Patterns in the Coastal Growing Cities: A Case Study of Casablanca, Morocco. Remote Sens. 2016, 8, 829. [Google Scholar] [CrossRef]
- Fathi, N.; Bounoua, L.; Messouli, M. A Satellite Assessment of the Urban Heat Island in Morocco. Can. J. Remote Sens. 2019, 45, 26–41. [Google Scholar] [CrossRef]
- El Ghazouani, L.; Bounoua, L.; Nigro, J.; Mansour, M.; Radoine, H.; Souidi, H. Combining Satellite Data and Spatial Analysis to Assess the UHI Amplitude and Structure within Urban Areas: The Case of Moroccan Cities. Urban Sci. 2021, 5, 67. [Google Scholar] [CrossRef]
- Gourfi, A.; Taïbi, A.N.; Salhi, S.; Hannani, M.E.; Boujrouf, S. The Surface Urban Heat Island and Key Mitigation Factors in Arid Climate Cities, Case of Marrakesh, Morocco. Remote Sens. 2022, 14, 3935. [Google Scholar] [CrossRef]
- Beck, H.E.; Zimmermann, N.E.; McVicar, T.R.; Vergopolan, N.; Berg, A.; Wood, E.F. Present and Future Köppen-Geiger Climate Classification Maps at 1-Km Resolution. Sci. Data 2018, 5, 180214. [Google Scholar] [CrossRef] [PubMed]
- OpenStreetMap Contributors. OpenStreetMap History Dump. 2023. Available online: https://planet.osm.org (accessed on 21 June 2023).
- Higher Planning Commission. General Population and Housing Census 2014: Legal Population of Morocco; Higher Planning Commission: Rabat, Morocco, 2018; p. 136. [Google Scholar]
- OECD; SWAC. Africa’s Urbanisation Dynamics 2020: Africapolis, Mapping a New Urban Geography; West African Studies; OECD: Paris, France, 2020; ISBN 978-92-64-57958-3. [Google Scholar]
- Hbiak, I.; Alami, O.B.; Brirchi, E.H.E.; Adidi, A. Measurement of the Urban Sprawl of Casablanca between 1984 and 2018 and the Comparison of Its Evolution with the Evolutions of the Population and the Private and Public Transport Equipment. In Proceedings of the 2020 IEEE International Conference of Moroccan Geomatics (Morgeo), Casablanca, Morocco, 11–13 May 2020; pp. 1–5. [Google Scholar]
- Lall, S.; Mahgoub, A.; Maria, A.; Touati, A.; Acero, J.L. Leveraging Urbanization to Promote a New Growth Model While Reducing Territorial Disparities in Morocco: Urban and Regional Development Policy Note; World Bank: Washington, DC, USA, 2019; ISBN 978-1-4648-1433-4. [Google Scholar]
- Agharroud, K.; Puddu, M.; Ivčević, A.; Satta, A.; Kolker, A.S.; Snoussi, M. Climate Risk Assessment of the Tangier-Tetouan-Al Hoceima Coastal Region (Morocco). Front. Mar. Sci. 2023, 10, 1176350. [Google Scholar] [CrossRef]
- Idoumskine, I.; Aydda, A.; Ezaidi, A.; Althuwaynee, O.F. Assessing Land Use/Land Cover Change Using Multitemporal Landsat Data in Agadir City (Morocco). In Distributed Sensing and Intelligent Systems; Elhoseny, M., Yuan, X., Krit, S., Eds.; Studies in Distributed Intelligence; Springer International Publishing: Cham, Switzerland, 2022; pp. 337–350. ISBN 978-3-030-64257-0. [Google Scholar]
- Algifri, A.H.; Bin Gadhi, S.M.; Nijaguna, B.T. Thermal Behaviour of Adobe and Concrete Houses in Yemen. Renew. Energy 1992, 2, 597–602. [Google Scholar] [CrossRef]
- Rempel, A.; Rempel, A. Intrinsic Evaporative Cooling by Hygroscopic Earth Materials. Geosciences 2016, 6, 38. [Google Scholar] [CrossRef]
- Karmaoui, A.; Ben Salem, A.; El Jaafari, S.; Chaachouay, H.; Moumane, A.; Hajji, L. Exploring the Land Use and Land Cover Change in the Period 2005–2020 in the Province of Errachidia, the Pre-Sahara of Morocco. Front. Earth Sci. 2022, 10, 962097. [Google Scholar] [CrossRef]
- Farr, T.G.; Rosen, P.A.; Caro, E.; Crippen, R.; Duren, R.; Hensley, S.; Kobrick, M.; Paller, M.; Rodriguez, E.; Roth, L.; et al. The Shuttle Radar Topography Mission. Rev. Geophys. 2007, 45, RG2004. [Google Scholar] [CrossRef]
- Gorelick, N.; Hancher, M.; Dixon, M.; Ilyushchenko, S.; Thau, D.; Moore, R. Google Earth Engine: Planetary-Scale Geospatial Analysis for Everyone. Remote Sens. Environ. 2017, 202, 18–27. [Google Scholar] [CrossRef]
- Peng, X.; Wu, W.; Zheng, Y.; Sun, J.; Hu, T.; Wang, P. Correlation Analysis of Land Surface Temperature and Topographic Elements in Hangzhou, China. Sci. Rep. 2020, 10, 10451. [Google Scholar] [CrossRef]
- Pepin, N.C.; Maeda, E.E.; Williams, R. Use of Remotely Sensed Land Surface Temperature as a Proxy for Air Temperatures at High Elevations: Findings from a 5000 m Elevational Transect across Kilimanjaro. J. Geophys. Res. Atmos. 2016, 121, 9998. [Google Scholar] [CrossRef]
- Bindajam, A.A.; Mallick, J.; AlQadhi, S.; Singh, C.K.; Hang, H.T. Impacts of Vegetation and Topography on Land Surface Temperature Variability over the Semi-Arid Mountain Cities of Saudi Arabia. Atmosphere 2020, 11, 762. [Google Scholar] [CrossRef]
- How Jin Aik, D.; Ismail, M.H.; Muharam, F.M.; Alias, M.A. Evaluating the Impacts of Land Use/Land Cover Changes across Topography against Land Surface Temperature in Cameron Highlands. PLoS ONE 2021, 16, e0252111. [Google Scholar] [CrossRef] [PubMed]
- Tucker, C.J. Red and Photographic Infrared Linear Combinations for Monitoring Vegetation. Remote Sens. Environ. 1979, 8, 127–150. [Google Scholar] [CrossRef]
- Gao, B. NDWI—A Normalized Difference Water Index for Remote Sensing of Vegetation Liquid Water from Space. Remote Sens. Environ. 1996, 58, 257–266. [Google Scholar] [CrossRef]
- McFeeters, S.K. The Use of the Normalized Difference Water Index (NDWI) in the Delineation of Open Water Features. Int. J. Remote Sens. 1996, 17, 1425–1432. [Google Scholar] [CrossRef]
- Zha, Y.; Gao, J.; Ni, S. Use of Normalized Difference Built-up Index in Automatically Mapping Urban Areas from TM Imagery. Int. J. Remote Sens. 2003, 24, 583–594. [Google Scholar] [CrossRef]
- Fotheringham, A.S.; Brunsdon, C.; Charlton, M. Geographically Weighted Regression: The Analysis of Spatially Varying Relationships; Wiley: Chichester, UK; Hoboken, NJ, USA, 2002; ISBN 978-0-471-49616-8. [Google Scholar]
- Zhao, H.; Ren, Z.; Tan, J. The Spatial Patterns of Land Surface Temperature and Its Impact Factors: Spatial Non-Stationarity and Scale Effects Based on a Geographically-Weighted Regression Model. Sustainability 2018, 10, 2242. [Google Scholar] [CrossRef]
- Zhi, Y.; Shan, L.; Ke, L.; Yang, R. Analysis of Land Surface Temperature Driving Factors and Spatial Heterogeneity Research Based on Geographically Weighted Regression Model. Complexity 2020, 2020, 2862917. [Google Scholar] [CrossRef]
- Lu, X.-Y.; Chen, X.; Zhao, X.-L.; Lv, D.-J.; Zhang, Y. Assessing the Impact of Land Surface Temperature on Urban Net Primary Productivity Increment Based on Geographically Weighted Regression Model. Sci. Rep. 2021, 11, 22282. [Google Scholar] [CrossRef]
- Chen, T.; Guestrin, C. XGBoost: A Scalable Tree Boosting System. In Proceedings of the 22nd ACM SIGKDD International Conference on Knowledge Discovery and Data Mining, San Francisco, CA, USA, 13–17 August 2016; pp. 785–794. [Google Scholar]
- Friedman, J.H. Greedy Function Approximation: A Gradient Boosting Machine. Ann. Stat. 2001, 29, 1189–1232. [Google Scholar] [CrossRef]
- Ke, G.; Meng, Q.; Finley, T.; Wang, T.; Chen, W.; Ma, W.; Ye, Q.; Liu, T.-Y. LightGBM: A Highly Efficient Gradient Boosting Decision Tree. In Proceedings of the Advances in Neural Information Processing Systems; Guyon, I., Luxburg, U.V., Bengio, S., Wallach, H., Fergus, R., Vishwanathan, S., Garnett, R., Eds.; Curran Associates, Inc.: Red Hook, NY, USA, 2017; Volume 30. [Google Scholar]
- Lundberg, S.; Lee, S.-I. A Unified Approach to Interpreting Model Predictions. In Proceedings of the 31st Annual Conference on Neural Information Processing Systems (NIPS 2017), Long Beach, CA, USA, 4–9 December 2017. [Google Scholar]
- Cortes, C.; Vapnik, V. Support-Vector Networks. Mach. Learn. 1995, 20, 273–297. [Google Scholar] [CrossRef]
- Breiman, L. Random Forests. Mach. Learn. 2001, 45, 5–32. [Google Scholar] [CrossRef]
- Goodfellow, I.; Bengio, Y.; Courville, A. Deep Learning: Adaptive Computation and Machine Learning; The MIT Press: Cambridge, MA, USA, 2016; ISBN 978-0-262-03561-3. [Google Scholar]
- Zhou, L.; Hu, F.; Wang, B.; Wei, C.; Sun, D.; Wang, S. Relationship between Urban Landscape Structure and Land Surface Temperature: Spatial Hierarchy and Interaction Effects. Sustain. Cities Soc. 2022, 80, 103795. [Google Scholar] [CrossRef]
- Kim, M.; Kim, D.; Kim, G. Examining the Relationship between Land Use/Land Cover (LULC) and Land Surface Temperature (LST) Using Explainable Artificial Intelligence (XAI) Models: A Case Study of Seoul, South Korea. Int. J. Environ. Res. Public Health 2022, 19, 15926. [Google Scholar] [CrossRef]
- USDA. Morocco Production. Available online: https://ipad.fas.usda.gov/countrysummary/default.aspx?id=MO (accessed on 31 May 2023).
- Rasul, A.; Balzter, H.; Smith, C. Spatial Variation of the Daytime Surface Urban Cool Island during the Dry Season in Erbil, Iraqi Kurdistan, from Landsat 8. Urban Clim. 2015, 14, 176–186. [Google Scholar] [CrossRef]
- Frey, C.M.; Rigo, G.; Parlow, E. Urban Radiation Balance of Two Coastal Cities in a Hot and Dry Environment. Int. J. Remote Sens. 2007, 28, 2695–2712. [Google Scholar] [CrossRef]
- Lazzarini, M.; Marpu, P.R.; Ghedira, H. Temperature-Land Cover Interactions: The Inversion of Urban Heat Island Phenomenon in Desert City Areas. Remote Sens. Environ. 2013, 130, 136–152. [Google Scholar] [CrossRef]
- Haashemi, S.; Weng, Q.; Darvishi, A.; Alavipanah, S. Seasonal Variations of the Surface Urban Heat Island in a Semi-Arid City. Remote Sens. 2016, 8, 352. [Google Scholar] [CrossRef]
- Al-Ruzouq, R.; Shanableh, A.; Khalil, M.A.; Zeiada, W.; Hamad, K.; Abu Dabous, S.; Gibril, M.B.A.; Al-Khayyat, G.; Kaloush, K.E.; Al-Mansoori, S.; et al. Spatial and Temporal Inversion of Land Surface Temperature along Coastal Cities in Arid Regions. Remote Sens. 2022, 14, 1893. [Google Scholar] [CrossRef]
- Peng, W.; Yuan, X.; Gao, W.; Wang, R.; Chen, W. Assessment of Urban Cooling Effect Based on Downscaled Land Surface Temperature: A Case Study for Fukuoka, Japan. Urban Clim. 2021, 36, 100790. [Google Scholar] [CrossRef]
- Malah, A.; Bahi, H. Integrated Multivariate Data Analysis for Urban Sustainability Assessment, a Case Study of Casablanca City. Sustain. Cities Soc. 2022, 86, 104100. [Google Scholar] [CrossRef]
- Driouech, F.; Stafi, H.; Khouakhi, A.; Moutia, S.; Badi, W.; ElRhaz, K.; Chehbouni, A. Recent Observed Country-wide Climate Trends in Morocco. Int. J. Climatol. 2021, 41, E855–E874. [Google Scholar] [CrossRef]
- Elhasbi, A.; Barkaoui, M.; Bouksour, O. The Territorial Attractiveness, Governance, Infrastructures and Logistics Activities: Case of Tangier City, Morocco. Asian J. Manag. Res. 2015, 5, 438–450. [Google Scholar]
- Nguyen, T.T.; Aderdour, N.; Rhinane, H.; Buerkert, A. Vegetation Cover Dynamics in the High Atlas Mountains of Morocco. Remote Sens. 2023, 15, 1366. [Google Scholar] [CrossRef]
- Mellaikhafi, A.; Tilioua, A.; Souli, H.; Garoum, M.; Alaoui Hamdi, M.A. Characterization of Different Earthen Construction Materials in Oasis of South-Eastern Morocco (Errachidia Province). Case Stud. Constr. Mater. 2021, 14, e00496. [Google Scholar] [CrossRef]
- Lundberg, S.M.; Erion, G.; Chen, H.; DeGrave, A.; Prutkin, J.M.; Nair, B.; Katz, R.; Himmelfarb, J.; Bansal, N.; Lee, S.-I. From Local Explanations to Global Understanding with Explainable AI for Trees. Nat. Mach. Intell. 2020, 2, 56–67. [Google Scholar] [CrossRef] [PubMed]
- Weng, Q.; Lu, D.; Schubring, J. Estimation of Land Surface Temperature–Vegetation Abundance Relationship for Urban Heat Island Studies. Remote Sens. Environ. 2004, 89, 467–483. [Google Scholar] [CrossRef]
- Jin, M.; Dickinson, R.E. Land Surface Skin Temperature Climatology: Benefitting from the Strengths of Satellite Observations. Environ. Res. Lett. 2010, 5, 044004. [Google Scholar] [CrossRef]
- Harlan, S.L.; Brazel, A.J.; Prashad, L.; Stefanov, W.L.; Larsen, L. Neighborhood Microclimates and Vulnerability to Heat Stress. Soc. Sci. Med. 2006, 63, 2847–2863. [Google Scholar] [CrossRef]
- Masselot, P.; Mistry, M.; Vanoli, J.; Schneider, R.; Iungman, T.; Garcia-Leon, D.; Ciscar, J.-C.; Feyen, L.; Orru, H.; Urban, A.; et al. Excess Mortality Attributed to Heat and Cold: A Health Impact Assessment Study in 854 Cities in Europe. Lancet Planet. Health 2023, 7, e271–e281. [Google Scholar] [CrossRef]
- Hajat, S.; O’Connor, M.; Kosatsky, T. Health Effects of Hot Weather: From Awareness of Risk Factors to Effective Health Protection. Lancet 2010, 375, 856–863. [Google Scholar] [CrossRef] [PubMed]
- Lachgar, R.; Badri, W.; Chlaida, M. Assessment of Future Changes in Downscaled Temperature and Precipitation over the Casablanca-Settat Region (Morocco). Model. Earth Syst. Environ. 2022, 8, 2123–2133. [Google Scholar] [CrossRef]
- Shastri, H.; Barik, B.; Ghosh, S.; Venkataraman, C.; Sadavarte, P. Flip Flop of Day-Night and Summer-Winter Surface Urban Heat Island Intensity in India. Sci. Rep. 2017, 7, 40178. [Google Scholar] [CrossRef] [PubMed]













| Study | Study Area(s) | Study Period | Goal | Highlights |
|---|---|---|---|---|
| [8] | Casablanca | 2011 | Estimate the ground temperature and evaluate the impact of vegetation on cooling the ground temperature | Found a strong correlation between vegetation cover and cold areas |
| [9] | Marrakech | 2010/2011 | Assess the impact of urbanization on surface climate | Found that the growing season surface temperature differences between urban and other cover types varied significantly |
| [10] | Casablanca | 1984–2016 | Highlight and monitor the spatial distribution of SUHI | Found that the seasonal cycle of daytime SUHI in the Casablanca region is different from other mid-latitude cities |
| [11] | Several Moroccan urban areas | 2013 | Carry out a large-scale assessment of UHI and reflect on its mitigation | Found a pronounced UHI in urban areas built within green lands and a UHS in cities built within arid zones |
| [12] | Five Moroccan cities | 2016 | Assess the impact of land cover on the UHI and UHS | Found multiple causes defining the different forms and amplitudes of the UHI |
| [13] | Marrakesh | 1985–2020 | Investigate, in the daytime, the relationship between green surfaces, built-up areas, and the SUHI | Found a maximum mean LST difference of 3.98 °C across the different city neighborhoods |
| City | Population 2014 1 | Climate Zone 2 | Elevation (m) | Built-up Change (%) 2000–2015 3 | |
|---|---|---|---|---|---|
| Coastal | Casablanca | 3,359,818 | Hot-summer Mediterranean (Csa) | 0 | 38.32 |
| Tangier | 1,065,601 | Hot-summer Mediterranean (Csa) | 21 | 43.71 | |
| Agadir | 600,599 | Hot semi-arid (BSh) | 74 | NA | |
| Inland | Fes | 1,150,131 | Hot-summer Mediterranean (Csa) | 409 | 24.32 |
| Marrakech | 1,330,468 | Hot semi-arid (BSh) | 466 | 62.33 | |
| Oujda | 506,274 | Hot semi-arid (BSk)/Cold desert (BWk) | 540 | 36 | |
| Laayoune | 238,096 | Hot desert (BWh) | 64 | NA | |
| Errachidia | 418,451 | Hot desert (BWh)/Cold desert (BWk) | 972 | NA |
| Algorithm | City | R2 | RMSE | ||||||
|---|---|---|---|---|---|---|---|---|---|
| 1990 | 2000 | 2010 | 2020 | 1990 | 2000 | 2010 | 2020 | ||
| XGBoost | Casablanca | 0.785 | 0.802 | 0.742 | 0.789 | 1.580 | 1.621 | 1.878 | 1.737 |
| Tangier | 0.842 | 0.834 | 0.823 | 0.818 | 1.564 | 1.720 | 2.108 | 2.019 | |
| Agadir | 0.707 | 0.729 | 0.655 | 0.701 | 1.969 | 1.935 | 2.055 | 2.254 | |
| Fes | 0.714 | 0.660 | 0.673 | 0.783 | 1.709 | 1.731 | 1.635 | 1.588 | |
| Marrakech | 0.728 | 0.672 | 0.710 | 0.599 | 1.769 | 2.530 | 2.095 | 2.483 | |
| Oujda | 0.622 | 0.557 | 0.643 | 0.648 | 1.814 | 2.317 | 1.600 | 1.758 | |
| Laayoune | 0.579 | 0.576 | 0.673 | 0.554 | 0.816 | 2.996 | 1.005 | 1.011 | |
| Errachidia | 0.857 | 0.863 | 0.883 | 0.843 | 1.709 | 1.161 | 1.688 | 1.436 | |
| LightGBM | Casablanca | 0.778 | 0.792 | 0.726 | 0.786 | 1.606 | 1.662 | 1.934 | 1.750 |
| Tangier | 0.841 | 0.829 | 0.821 | 0.827 | 1.569 | 1.749 | 2.120 | 1.968 | |
| Agadir | 0.706 | 0.730 | 0.634 | 0.693 | 1.974 | 1.934 | 2.116 | 2.284 | |
| Fes | 0.715 | 0.643 | 0.640 | 0.762 | 1.707 | 1.775 | 1.717 | 1.665 | |
| Marrakech | 0.725 | 0.683 | 0.708 | 0.594 | 1.781 | 2.490 | 2.100 | 2.498 | |
| Oujda | 0.636 | 0.576 | 0.658 | 0.627 | 1.782 | 2.265 | 1.566 | 1.810 | |
| Laayoune | 0.590 | 0.567 | 0.673 | 0.544 | 0.805 | 3.028 | 1.006 | 1.022 | |
| Errachidia | 0.858 | 0.861 | 0.883 | 0.841 | 1.700 | 1.170 | 1.688 | 1.442 | |
Disclaimer/Publisher’s Note: The statements, opinions and data contained in all publications are solely those of the individual author(s) and contributor(s) and not of MDPI and/or the editor(s). MDPI and/or the editor(s) disclaim responsibility for any injury to people or property resulting from any ideas, methods, instructions or products referred to in the content. |
© 2023 by the authors. Licensee MDPI, Basel, Switzerland. This article is an open access article distributed under the terms and conditions of the Creative Commons Attribution (CC BY) license (https://creativecommons.org/licenses/by/4.0/).
Share and Cite
Derdouri, A.; Murayama, Y.; Morimoto, T. Spatiotemporal Thermal Variations in Moroccan Cities: A Comparative Analysis. Sensors 2023, 23, 6229. https://doi.org/10.3390/s23136229
Derdouri A, Murayama Y, Morimoto T. Spatiotemporal Thermal Variations in Moroccan Cities: A Comparative Analysis. Sensors. 2023; 23(13):6229. https://doi.org/10.3390/s23136229
Chicago/Turabian StyleDerdouri, Ahmed, Yuji Murayama, and Takehiro Morimoto. 2023. "Spatiotemporal Thermal Variations in Moroccan Cities: A Comparative Analysis" Sensors 23, no. 13: 6229. https://doi.org/10.3390/s23136229
APA StyleDerdouri, A., Murayama, Y., & Morimoto, T. (2023). Spatiotemporal Thermal Variations in Moroccan Cities: A Comparative Analysis. Sensors, 23(13), 6229. https://doi.org/10.3390/s23136229

