Automatic Assessment of the 2-Minute Walk Distance for Remote Monitoring of People with Multiple Sclerosis
Abstract
1. Introduction
2. Materials and Methods
2.1. Dataset and Study Design
2.2. Estimation of the 2MWD from Accelerometer Signals
2.3. Performance Evaluation and Correlation Analysis with Clinical Outcomes
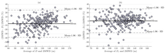
3. Results
4. Discussion
5. Conclusions
Author Contributions
Funding
Institutional Review Board Statement
Informed Consent Statement
Data Availability Statement
Acknowledgments
Conflicts of Interest
References
- Walton, C.; King, R.; Rechtman, L.; Kaye, W.; Leray, E.; Marrie, R.A.; Robertson, N.; La Rocca, N.; Uitdehaag, B.; van Der Mei, I.; et al. Rising prevalence of multiple sclerosis worldwide: Insights from the Atlas of MS. Mult. Scler. J. 2020, 26, 1816–1821. [Google Scholar] [CrossRef]
- Huang, W.J.; Chen, W.W.; Zhang, X. Multiple sclerosis: Pathology, diagnosis and treatments. Exp. Ther. Med. 2017, 13, 3163–3166. [Google Scholar] [CrossRef]
- Heesen, C.; Böhm, J.; Reich, C.; Kasper, J.; Goebel, M.; Gold, S. Patient perception of bodily functions in multiple sclerosis: Gait and visual function are the most valuable. Mult. Scler. J. 2008, 14, 988–991. [Google Scholar] [CrossRef]
- Oliva Ramirez, A.; Keenan, A.; Kalau, O.; Worthington, E.; Cohen, L.; Singh, S. Prevalence and burden of multiple sclerosis-related fatigue: A systematic literature review. BMC Neurol. 2021, 21, 468. [Google Scholar] [CrossRef]
- McGinley, M.P.; Goldschmidt, C.H.; Rae-Grant, A.D. Diagnosis and treatment of multiple sclerosis: A review. JAMA 2021, 325, 765–779. [Google Scholar] [CrossRef]
- Gustavsen, S.; Olsson, A.; Søndergaard, H.; Andresen, S.; Sørensen, P.S.; Sellebjerg, F.; Oturai, A. The association of selected multiple sclerosis symptoms with disability and quality of life: A large Danish self-report survey. BMC Neurol. 2021, 21, 317. [Google Scholar] [CrossRef]
- Bethoux, F.; Bennett, S. Evaluating walking in patients with multiple sclerosis: Which assessment tools are useful in clinical practice? Int. J. MS Care 2011, 13, 4–14. [Google Scholar] [CrossRef]
- Soler, B.; Ramari, C.; Valet, M.; Dalgas, U.; Feys, P. Clinical assessment, management, and rehabilitation of walking impairment in MS: An expert review. Expert Rev. Neurother. 2020, 20, 875–886. [Google Scholar] [CrossRef]
- Motl, R.W.; Cohen, J.A.; Benedict, R.; Phillips, G.; LaRocca, N.; Hudson, L.D.; Rudick, R.; Multiple Sclerosis Outcome Assessments Consortium. Validity of the timed 25-foot walk as an ambulatory performance outcome measure for multiple sclerosis. Mult. Scler. J. 2017, 23, 704–710. [Google Scholar] [CrossRef]
- Inojosa, H.; Schriefer, D.; Ziemssen, T. Clinical outcome measures in multiple sclerosis: A review. Autoimmun. Rev. 2020, 19, 102512. [Google Scholar] [CrossRef]
- Kurtzke, J.F. Rating neurologic impairment in multiple sclerosis: An expanded disability status scale (EDSS). Neurology 1983, 33, 1444. [Google Scholar] [CrossRef] [PubMed]
- Krupp, L.B.; LaRocca, N.G.; Muir-Nash, J.; Steinberg, A.D. The fatigue severity scale: Application to patients with multiple sclerosis and systemic lupus erythematosus. Arch. Neurol. 1989, 46, 1121–1123. [Google Scholar] [CrossRef] [PubMed]
- Langeskov-Christensen, D.; Feys, P.; Baert, I.; Riemenschneider, M.; Stenager, E.; Dalgas, U. Performed and perceived walking ability in relation to the Expanded Disability Status Scale in persons with multiple sclerosis. J. Neurol. Sci. 2017, 382, 131–136. [Google Scholar] [CrossRef] [PubMed]
- Bennett, S.E.; Bromley, L.E.; Fisher, N.M.; Tomita, M.R.; Niewczyk, P. Validity and reliability of four clinical gait measures in patients with multiple sclerosis. Int. J. MS Care 2017, 19, 247–252. [Google Scholar] [CrossRef] [PubMed]
- Kalinowski, A.; Cutter, G.; Bozinov, N.; Hinman, J.A.; Hittle, M.; Motl, R.; Odden, M.; Nelson, L.M. The timed 25-foot walk in a large cohort of multiple sclerosis patients. Mult. Scler. J. 2022, 28, 289–299. [Google Scholar] [CrossRef] [PubMed]
- Dalgas, U.; Langeskov-Christensen, M.; Skjerbæk, A.; Jensen, E.; Baert, I.; Romberg, A.; Medina, C.S.; Gebara, B.; de Noordhout, B.M.; Knuts, K.; et al. Is the impact of fatigue related to walking capacity and perceived ability in persons with multiple sclerosis? A multicenter study. J. Neurol. Sci. 2018, 387, 179–186. [Google Scholar] [CrossRef]
- Wetzel, J.L.; Fry, D.K.; Pfalzer, L.A. Six-minute walk test for persons with mild or moderate disability from multiple sclerosis: Performance and explanatory factors. Physiother. Can. 2011, 63, 166–180. [Google Scholar] [CrossRef]
- Jones, E.; Pike, J.; Marshall, T.; Ye, X. Quantifying the relationship between increased disability and health care resource utilization, quality of life, work productivity, health care costs in patients with multiple sclerosis in the US. BMC Health Serv. Res. 2016, 16, 294. [Google Scholar] [CrossRef]
- El-Amrawy, F.; Nounou, M.I. Are currently available wearable devices for activity tracking and heart rate monitoring accurate, precise, and medically beneficial? Healthc. Inform. Res. 2015, 21, 315–320. [Google Scholar] [CrossRef]
- Bradshaw, M.J.; Farrow, S.; Motl, R.W.; Chitnis, T. Wearable biosensors to monitor disability in multiple sclerosis. Neurol. Clin. Pract. 2017, 7, 354–362. [Google Scholar] [CrossRef]
- Capela, N.A.; Lemaire, E.D.; Baddour, N. Novel algorithm for a smartphone-based 6-minute walk test application: Algorithm, application development, and evaluation. J. Neuroeng. Rehabil. 2015, 12, 19. [Google Scholar] [CrossRef] [PubMed]
- Pires, I.M.; Denysyuk, H.V.; Villasana, M.V.; Sá, J.; Marques, D.L.; Morgado, J.F.; Albuquerque, C.; Zdravevski, E. Development technologies for the monitoring of six-minute walk test: A systematic review. Sensors 2022, 22, 581. [Google Scholar] [CrossRef] [PubMed]
- Storm, F.A.; Cesareo, A.; Reni, G.; Biffi, E. Wearable inertial sensors to assess gait during the 6-minute walk test: A systematic review. Sensors 2020, 20, 2660. [Google Scholar] [CrossRef] [PubMed]
- Frechette, M.L.; Meyer, B.M.; Tulipani, L.J.; Gurchiek, R.D.; McGinnis, R.S.; Sosnoff, J.J. Next steps in wearable technology and community ambulation in multiple sclerosis. Curr. Neurol. Neurosci. Rep. 2019, 19, 80. [Google Scholar] [CrossRef]
- Creagh, A.P.; Simillion, C.; Bourke, A.K.; Scotland, A.; Lipsmeier, F.; Bernasconi, C.; van Beek, J.; Baker, M.; Gossens, C.; Lindemann, M.; et al. Smartphone-and smartwatch-based remote characterisation of ambulation in multiple sclerosis during the two-minute walk test. IEEE J. Biomed. Health Inform. 2020, 25, 838–849. [Google Scholar] [CrossRef]
- Dalla Costa, G.; Leocani, L.; Montalban, X.; Guerrero, A.I.; Sørensen, P.S.; Magyari, M.; Dobson, R.J.; Cummins, N.; Narayan, V.A.; Hotopf, M.; et al. Real-time assessment of COVID-19 prevalence among multiple sclerosis patients: A multicenter European study. Neurol. Sci. 2020, 41, 1647–1650. [Google Scholar] [CrossRef] [PubMed]
- Lizrova Preiningerova, J.; Novotna, K.; Rusz, J.; Sucha, L.; Ruzicka, E.; Havrdova, E. Spatial and temporal characteristics of gait as outcome measures in multiple sclerosis (EDSS 0 to 6.5). J. Neuroeng. Rehabil. 2015, 12, 14. [Google Scholar] [CrossRef]
- Trentzsch, K.; Melzer, B.; Stölzer-Hutsch, H.; Haase, R.; Bartscht, P.; Meyer, P.; Ziemssen, T. Automated analysis of the two-minute walk test in clinical practice using accelerometer data. Brain Sci. 2021, 11, 1507. [Google Scholar] [CrossRef]
- Moon, Y.; McGinnis, R.S.; Seagers, K.; Motl, R.W.; Sheth, N.; Wright, J.A., Jr.; Ghaffari, R.; Sosnoff, J.J. Monitoring gait in multiple sclerosis with novel wearable motion sensors. PLoS ONE 2017, 12, e0171346. [Google Scholar] [CrossRef]
- Balto, J.M.; Kinnett-Hopkins, D.L.; Motl, R.W. Accuracy and precision of smartphone applications and commercially available motion sensors in multiple sclerosis. Mult. Scler. J. Exp. Transl. Clin. 2016, 2, 2055217316634754. [Google Scholar] [CrossRef]
- Motl, R.W.; Weikert, M.; Suh, Y.; Sosnoff, J.J.; Pula, J.; Soaz, C.; Schimpl, M.; Lederer, C.; Daumer, M. Accuracy of the actibelt® accelerometer for measuring walking speed in a controlled environment among persons with multiple sclerosis. Gait Posture 2012, 35, 192–196. [Google Scholar] [CrossRef]
- Baert, I.; Freeman, J.; Smedal, T.; Dalgas, U.; Romberg, A.; Kalron, A.; Conyers, H.; Elorriaga, I.; Gebara, B.; Gumse, J.; et al. Responsiveness and clinically meaningful improvement, according to disability level, of five walking measures after rehabilitation in multiple sclerosis: A European multicenter study. Neurorehabilit. Neural Repair 2014, 28, 621–631. [Google Scholar] [CrossRef]
- Block, V.; Lizee, A.; Crabtree-Hartman, E.; Bevan, C.; Graves, J.S.; Bove, R.; Green, A.; Nourbakhsh, B.; Tremblay, M.; Gourraud, P.A.; et al. Continuous daily assessment of multiple sclerosis disability using remote step count monitoring. J. Neurol. 2017, 264, 316–326. [Google Scholar] [CrossRef]
- Halpern, A.I.; Jansen, J.A.; Giladi, N.; Mirelman, A.; Hausdorff, J.M. Does Time of Day influence postural control and gait? A review of the literature. Gait Posture 2022, 92, 153–166. [Google Scholar] [CrossRef] [PubMed]
- Kratz, A.L.; Fritz, N.E.; Braley, T.J.; Scott, E.L.; Foxen-Craft, E.; Murphy, S.L. Daily temporal associations between physical activity and symptoms in multiple sclerosis. Ann. Behav. Med. 2019, 53, 98–108. [Google Scholar] [CrossRef]
- Cederberg, K.L.; Sikes, E.M.; Bartolucci, A.A.; Motl, R.W. Walking endurance in multiple sclerosis: Meta-analysis of six-minute walk test performance. Gait Posture 2019, 73, 147–153. [Google Scholar] [CrossRef]
- Scalzitti, D.A.; Harwood, K.J.; Maring, J.R.; Leach, S.J.; Ruckert, E.A.; Costello, E. Validation of the 2-minute walk test with the 6-minute walk test and other functional measures in persons with multiple sclerosis. Int. J. MS Care 2018, 20, 158–163. [Google Scholar] [CrossRef] [PubMed]
- Hadouiri, N.; Monnet, E.; Gouelle, A.; Decavel, P.; Sagawa, Y. Evaluation of prolonged walking in persons with multiple sclerosis: Reliability of the spatio-temporal walking variables during the 6-minute walk test. Sensors 2021, 21, 3075. [Google Scholar] [CrossRef] [PubMed]
- Gunn, H.; Creanor, S.; Haas, B.; Marsden, J.; Freeman, J. Risk factors for falls in multiple sclerosis: An observational study. Mult. Scler. J. 2013, 19, 1913–1922. [Google Scholar] [CrossRef] [PubMed]
- Balantrapu, S.; Sosnoff, J.J.; Pula, J.H.; Sandroff, B.M.; Motl, R.W. Leg spasticity and ambulation in multiple sclerosis. Mult. Scler. Int. 2014, 2014, 649390. [Google Scholar] [CrossRef] [PubMed]
- Norbye, A.D.; Midgard, R.; Thrane, G. Spasticity, gait, and balance in patients with multiple sclerosis: A cross-sectional study. Physiother. Res. Int. 2020, 25, e1799. [Google Scholar] [CrossRef] [PubMed]
- Angelini, L.; Hodgkinson, W.; Smith, C.; Dodd, J.M.; Sharrack, B.; Mazzà, C.; Paling, D. Wearable sensors can reliably quantify gait alterations associated with disability in people with progressive multiple sclerosis in a clinical setting. J. Neurol. 2020, 267, 2897–2909. [Google Scholar] [CrossRef] [PubMed]
- Berg-Hansen, P.; Moen, S.M.; Austeng, A.; Gonzales, V.; Klyve, T.D.; Negård, H.; Seeberg, T.M.; Celius, E.G.; Meyer, F. Sensor-based gait analyses of the six-minute walk test identify qualitative improvement in gait parameters of people with multiple sclerosis after rehabilitation. J. Neurol. 2022, 269, 3723–3734. [Google Scholar] [CrossRef] [PubMed]
- Kontaxis, S.; Gil, E.; Marozas, V.; Lazaro, J.; Garcia, E.; Posadas-de Miguel, M.; Siddi, S.; Bernal, M.L.; Aguilo, J.; Haro, J.M.; et al. Photoplethysmographic waveform analysis for autonomic reactivity assessment in depression. IEEE. Trans. Biomed. Eng. 2020, 68, 1273–1281. [Google Scholar] [CrossRef] [PubMed]
- Findling, O.; Hauer, L.; Pezawas, T.; Rommer, P.S.; Struhal, W.; Sellner, J. Cardiac autonomic dysfunction in multiple sclerosis: A systematic review of current knowledge and impact of immunotherapies. J. Clin. Med. 2020, 9, 335. [Google Scholar] [CrossRef] [PubMed]
- Kontaxis, S.; Laporta, E.; Garcia, E.; Guerrero, A.I.; Zabalza, A.; Matteo, M.; Lucia, R.; Simblett, S.; Weyer, J.; Hotopf, M.; et al. Autonomic response to walk tests is useful for assessing outcome measures in people with multiple sclerosis. Front. Physiol. 2023, 14, 1145818. [Google Scholar] [CrossRef]
- Jeng, B.; Sandroff, B.M.; Motl, R.W. Energetic cost of walking and spasticity in persons with multiple sclerosis with moderate disability. NeuroRehabilitation 2018, 43, 483–489. [Google Scholar] [CrossRef]
- Buoite Stella, A.; Morelli, M.E.; Giudici, F.; Sartori, A.; Manganotti, P.; di Prampero, P.E. Comfortable walking speed and energy cost of locomotion in patients with multiple sclerosis. Eur. J. Appl. Physiol. 2020, 120, 551–566. [Google Scholar] [CrossRef]
- Sokas, D.; Paliakaitė, B.; Rapalis, A.; Marozas, V.; Bailón, R.; Petrėnas, A. Detection of walk tests in free-living activities using a wrist-worn device. Front. Physiol. 2021, 12, 706545. [Google Scholar] [CrossRef]



| Number of participants | 154 |
| Phenotype (RRMS/SPMS) | 130/24 |
| MS duration, years | 15.1 ± 8.9 |
| Sex (female/male) | 91/63 |
| Age, years | 47.3 ± 9.3 |
| BMI, kg/m | 24.5 ± 4.9 |
| Number of clinical visits, n | 323 |
| 2MWD, m (n) | 122.04 ± 22.82 (323) |
| 6MWD, m (n) | 387.23 ± 65.70 (317) |
| T25FW, s (n) | 5.75 ± 1.24 (323) |
| EDSS (n) | 3.2 ± 1.0 (239) |
| FSS (n) | 4.4 ± 1.7 (285) |
| RAE | Hospital | |
|---|---|---|
| D | ||
| Outcomes | Hospital | Home | ||
|---|---|---|---|---|
| D | D | |||
| 2MWD | ||||
| 6MWD | ||||
| T25FW | ||||
| EDSS | ||||
| FSS | ||||
Disclaimer/Publisher’s Note: The statements, opinions and data contained in all publications are solely those of the individual author(s) and contributor(s) and not of MDPI and/or the editor(s). MDPI and/or the editor(s) disclaim responsibility for any injury to people or property resulting from any ideas, methods, instructions or products referred to in the content. |
© 2023 by the authors. Licensee MDPI, Basel, Switzerland. This article is an open access article distributed under the terms and conditions of the Creative Commons Attribution (CC BY) license (https://creativecommons.org/licenses/by/4.0/).
Share and Cite
Kontaxis, S.; Laporta, E.; Garcia, E.; Martinis, M.; Leocani, L.; Roselli, L.; Buron, M.D.; Guerrero, A.I.; Zabala, A.; Cummins, N.; et al. Automatic Assessment of the 2-Minute Walk Distance for Remote Monitoring of People with Multiple Sclerosis. Sensors 2023, 23, 6017. https://doi.org/10.3390/s23136017
Kontaxis S, Laporta E, Garcia E, Martinis M, Leocani L, Roselli L, Buron MD, Guerrero AI, Zabala A, Cummins N, et al. Automatic Assessment of the 2-Minute Walk Distance for Remote Monitoring of People with Multiple Sclerosis. Sensors. 2023; 23(13):6017. https://doi.org/10.3390/s23136017
Chicago/Turabian StyleKontaxis, Spyridon, Estela Laporta, Esther Garcia, Matteo Martinis, Letizia Leocani, Lucia Roselli, Mathias Due Buron, Ana Isabel Guerrero, Ana Zabala, Nicholas Cummins, and et al. 2023. "Automatic Assessment of the 2-Minute Walk Distance for Remote Monitoring of People with Multiple Sclerosis" Sensors 23, no. 13: 6017. https://doi.org/10.3390/s23136017
APA StyleKontaxis, S., Laporta, E., Garcia, E., Martinis, M., Leocani, L., Roselli, L., Buron, M. D., Guerrero, A. I., Zabala, A., Cummins, N., Vairavan, S., Hotopf, M., Dobson, R. J. B., Narayan, V. A., La Porta, M. L., Costa, G. D., Magyari, M., Sørensen, P. S., Nos, C., ... on behalf of the RADAR-CNS Consortium. (2023). Automatic Assessment of the 2-Minute Walk Distance for Remote Monitoring of People with Multiple Sclerosis. Sensors, 23(13), 6017. https://doi.org/10.3390/s23136017

