CICIoT2023: A Real-Time Dataset and Benchmark for Large-Scale Attacks in IoT Environment
Abstract
1. Introduction
- We design a new realistic IoT attack dataset, CICIoT2023, using an extensive topology composed of several real IoT devices acting as either attackers or victims;
- We perform, document, and collect data from 33 attacks divided into 7 classes against IoT devices and demonstrated how they can be reproduced;
- We evaluate the performance of machine and deep learning algorithms using the CICIoT2023 dataset to classify and detect IoT network traffic as malicious or benign.
2. Related Works
3. The Proposed CICIoT2023
3.1. IoT Lab
3.2. IoT Topology
3.3. Data Collection of Benign and Malicious Scenarios
3.3.1. Benign Data Generation
3.3.2. Executing DoS and DDoS Attacks
- ACK Fragmentation: a relatively small number of maximum-sized packets is used to compromise the network operation. In many cases, these fragmented packets are successfully sent and handled by routers, firewalls, and intrusion prevention systems, given that fragmented packets recompilation is not performed [62];
- Slowloris: relies on using partial HTTP requests via open connections to a targeted Web server focusing on the application layer [63];
- RST-FIN Flood: degrades networking capabilities by forwarding continuously RST-FIN packets towards a specific target [67];
- PSH-ACK Flood: degrades server operation by flooding using PUSH and ACK requests [68];
- UDP Fragmentation: refers to a special UDP flood that consumes more bandwidth while reducing the number of packets [69];
- ICMP Fragmentation: relies on the use of identical fragmented IP packets containing a portion of a fragmented ICMP message [70];
- SYN Flood: is a specific type of TCP flood that targets the initial handshake of the TCP connection. The SYN flood sends a large number of SYN (synchronize) packets to the targeted server, but it never completes the handshake by sending the final ACK (acknowledge) packet [71];
- Synonymous IP Flood: an extensive number of manipulated TCP-SYN packets with source and destination addresses as the targeted address, which leads the server to use its resources to process the incoming traffic [72].
3.3.3. Gathering Information from the IoT Topology
- Ping Sweep: A ping sweep attack, also known as a ping scan, is a type of reconnaissance attack used to identify active hosts on a network. It involves sending a series of ICMP (Internet Control Message Protocol) Echo Request (ping) packets to a range of IP addresses on a network, and then analyzing the ICMP Echo Reply (pong) packets that are returned to identify which hosts are active and responding [73];
- OS Scan: An OS (operating system) scan attack, also known as an operating system fingerprinting attack, is a type of reconnaissance attack that is used to identify the type and version of an operating system running on a targeted host. The attacker uses various techniques to gather information about the targeted host, such as analyzing the responses to network packets, or examining the behavior of open ports and services, in order to determine the type and version of the operating system [74];
- Vulnerability Scan: A vulnerability scan attack is a type of network security assessment that involves automated tools to identify potential vulnerabilities in a computer system or network. The goal of a vulnerability scan is to identify security weaknesses that could be exploited by an attacker to gain unauthorized access to a system or steal sensitive information [75];
- Port Scan: A port scan attack is a type of reconnaissance attack that is used to identify open and active ports on a targeted host. The attacker sends a series of packets to various ports on the targeted host, attempting to establish a connection. The responses to these packets are then analyzed to determine which ports are open, closed, or filtered [76].
- Host Discovery: A host discovery attack, also known as a host identification or host enumeration attack, is a type of reconnaissance attack that is used to identify active hosts on a network. It involves using various techniques to identify the IP addresses of devices that are connected to a network, and it is the first step in many cyber-attacks [77].
3.3.4. Exploiting Web-Based Vulnerabilities
- SQL Injection: an attack that targets web applications by injecting malicious SQL code into the application’s input fields. The goal of an SQL injection attack is to gain unauthorized access to a database, steal sensitive information, or execute arbitrary commands on the database server [79];
- Command Injection: an attack that targets web applications by injecting malicious commands into an input field with the ultimate goal of gaining unauthorized access to a system, stealing sensitive information, or executing arbitrary commands on the targeted system [80];
- Backdoor Malware: involves installing malware on a targeted system that allows the attacker to gain unauthorized access to the system at a later time. The malware, known as a “backdoor,” creates a hidden entry point into the system that can be used to bypass security measures and gain access to sensitive information or perform malicious actions [81];
- Uploading Attack: targets a web application by exploiting vulnerabilities in the application’s file upload functionality. The goal of an uploading attack is to upload malicious files, such as malware, to a targeted system and use them to gain unauthorized access or execute arbitrary code on the targeted system;
- Cross-Site Scripting (XSS): allows an attacker to inject malicious code (e.g., a script) into a web page. The injected script can then be executed by the web browser of any user with access to the page, allowing the attacker to steal sensitive information (e.g., cookies, session tokens, and personal data) or to perform other malicious activities (e.g., traffic redirection) [82];
- Browser Hijacking: a type of cyber attack in which an attacker modifies a web browser’s settings, such as the home page, default search engine, or bookmarks in order to redirect the user to a different website or display unwanted ads. The goal of a browser hijacking attack is to generate revenue through advertising or to steal personal information [83].
3.3.5. Spoofing Communication
- ARP spoofing: relies on the transmission of manipulated ARP (Address Resolution Protocol) messages to associate the MAC address of the malicious device with the IP address of some other legitimate device in the network. This enables attackers to intercept, modify, or block network traffic [85];
- DNS spoofing: relies on the alteration of DNS entries in a DNS server’s cache, redirecting users to manipulated or malicious websites. This enables attackers to steal sensitive information, spread malware, and perform other malicious actions [86].
3.3.6. Brute-Force Threats
3.3.7. Mirai as an IoT Threat
- GREIP: Within the GRE packet, this attack floods the target system with encapsulated packets. The internal data comprise random IPs and ports, whereas the external layer contains actual IPs [89];
- GREETH: This attack presents a similar procedure to GREIP. However, the main focus is on the packet encapsulation approach, which is based on the ethernet header [89];
- UDP Plain: This threat focuses on flooding targeted victim systems with UDP packets considering a repeated packet segment. However, the payload sent is different for each packet [89].
4. Feature Extraction and Data Description
5. Machine Learning (ML) Evaluation
5.1. Metrics
- Accuracy: responsible for evaluating the classification models by depicting the proportion of correct predictions in a given dataset and is based on the following expression:
- Recall: the ratio of correctly identified labels to the total number of occurrences of that particular label:
- Precision: the ratio of correctly identified labels to the total number of positive classifications:
- F1-Score: geometric average of precision and recall:
5.2. Evaluation
5.3. Discussion
6. Conclusions
Author Contributions
Funding
Institutional Review Board Statement
Informed Consent Statement
Data Availability Statement
Acknowledgments
Conflicts of Interest
References
- Da Xu, L.; He, W.; Li, S. Internet of things in industries: A survey. IEEE Trans. Ind. Inform. 2014, 10, 2233–2243. [Google Scholar]
- Nauman, A.; Qadri, Y.A.; Amjad, M.; Zikria, Y.B.; Afzal, M.K.; Kim, S.W. Multimedia Internet of Things: A comprehensive survey. IEEE Access 2020, 8, 8202–8250. [Google Scholar] [CrossRef]
- Habibzadeh, H.; Dinesh, K.; Shishvan, O.R.; Boggio-Dandry, A.; Sharma, G.; Soyata, T. A survey of healthcare Internet of Things (HIoT): A clinical perspective. IEEE Internet Things J. 2019, 7, 53–71. [Google Scholar] [CrossRef]
- Lee, S.K.; Bae, M.; Kim, H. Future of IoT networks: A survey. Appl. Sci. 2017, 7, 1072. [Google Scholar] [CrossRef]
- Afrifa, S.; Varadarajan, V.; Appiahene, P.; Zhang, T.; Domfeh, E.A. Ensemble Machine Learning Techniques for Accurate and Efficient Detection of Botnet Attacks in Connected Computers. Eng 2023, 4, 650–664. [Google Scholar] [CrossRef]
- Marjani, M.; Nasaruddin, F.; Gani, A.; Karim, A.; Hashem, I.A.T.; Siddiqa, A.; Yaqoob, I. Big IoT data analytics: Architecture, opportunities, and open research challenges. IEEE Access 2017, 5, 5247–5261. [Google Scholar]
- Hajjaji, Y.; Boulila, W.; Farah, I.R.; Romdhani, I.; Hussain, A. Big data and IoT-based applications in smart environments: A systematic review. Comput. Sci. Rev. 2021, 39, 100318. [Google Scholar] [CrossRef]
- Dadkhah, S.; Mahdikhani, H.; Danso, P.K.; Zohourian, A.; Truong, K.A.; Ghorbani, A.A. Towards the development of a realistic multidimensional IoT profiling dataset. In Proceedings of the 2022 19th Annual International Conference on Privacy, Security & Trust (PST), Fredericton, NB, Canada, 22–24 August 2022; pp. 1–11. [Google Scholar]
- Madakam, S.; Lake, V.; Lake, V.; Lake, V. Internet of Things (IoT): A literature review. J. Comput. Commun. 2015, 3, 164–173. [Google Scholar] [CrossRef]
- Čolaković, A.; Hadžialić, M. Internet of Things (IoT): A review of enabling technologies, challenges, and open research issues. Comput. Netw. 2018, 144, 17–39. [Google Scholar] [CrossRef]
- Safi, M.; Kaur, B.; Dadkhah, S.; Shoeleh, F.; Lashkari, A.H.; Molyneaux, H.; Ghorbani, A.A. Behavioural Monitoring and Security Profiling in the Internet of Things (IoT). In Proceedings of the 2021 IEEE 23rd Int Conf on High Performance Computing & Communications; 7th Int Conf on Data Science & Systems; 19th Int Conf on Smart City; 7th Int Conf on Dependability in Sensor, Cloud & Big Data Systems & Application (HPCC/DSS/SmartCity/DependSys), Haikou, China, 20–22 December 2021; pp. 1203–1210. [Google Scholar]
- Selvaraj, S.; Sundaravaradhan, S. Challenges and opportunities in IoT healthcare systems: A systematic review. SN Appl. Sci. 2020, 2, 139. [Google Scholar] [CrossRef]
- Akkaş, M.A.; Sokullu, R.; Cetin, H.E. Healthcare and patient monitoring using IoT. Internet Things 2020, 11, 100173. [Google Scholar] [CrossRef]
- Mohammed, J.; Lung, C.H.; Ocneanu, A.; Thakral, A.; Jones, C.; Adler, A. Internet of Things: Remote patient monitoring using web services and cloud computing. In Proceedings of the 2014 IEEEInternational Conference on Internet of Things (IThings), and IEEE Green Computing and Communications (GreenCom) and IEEE Cyber, Physical and Social Computing (CPSCom), Taipei, Taiwan, 1–3 September 2014; pp. 256–263. [Google Scholar]
- Zantalis, F.; Koulouras, G.; Karabetsos, S.; Kandris, D. A review of machine learning and IoT in smart transportation. Future Internet 2019, 11, 94. [Google Scholar] [CrossRef]
- Uma, S.; Eswari, R. Accident prevention and safety assistance using IOT and machine learning. J. Reliab. Intell. Environ. 2022, 8, 79–103. [Google Scholar] [CrossRef]
- Celesti, A.; Galletta, A.; Carnevale, L.; Fazio, M.; Ĺay-Ekuakille, A.; Villari, M. An IoT cloud system for traffic monitoring and vehicular accidents prevention based on mobile sensor data processing. IEEE Sens. J. 2017, 18, 4795–4802. [Google Scholar] [CrossRef]
- Cheng, J.; Chen, W.; Tao, F.; Lin, C.L. Industrial IoT in 5G environment towards smart manufacturing. J. Ind. Inf. Integr. 2018, 10, 10–19. [Google Scholar] [CrossRef]
- Al-Emran, M.; Malik, S.I.; Al-Kabi, M.N. A survey of Internet of Things (IoT) in education: Opportunities and challenges. In Toward Social Internet of Things (SIoT): Enabling Technologies, Architectures and Applications; Springer: Berlin/Heidelberg, Germany, 2020; pp. 197–209. [Google Scholar]
- Pate, J.; Adegbija, T. AMELIA: An application of the Internet of Things for aviation safety. In Proceedings of the 2018 15th IEEE Annual Consumer Communications & Networking Conference (CCNC), Las Vegas, NV, USA, 12–15 January 2018; pp. 1–6. [Google Scholar]
- Salam, A. Internet of things for sustainable forestry. In Internet of Things for Sustainable Community Development; Springer: Cham, Switzerland, 2020; pp. 147–181. [Google Scholar]
- Cisco Systems. Cisco Annual Internet Report (2018–2023) White Paper; Cisco: San Jose, CA, USA, 2020. [Google Scholar]
- Vermesan, O.; Friess, P.; Guillemin, P.; Giaffreda, R.; Grindvoll, H.; Eisenhauer, M.; Serrano, M.; Moessner, K.; Spirito, M.; Blystad, L.C.; et al. Internet of things beyond the hype: Research, innovation and deployment. In Building the Hyperconnected Society-Internet of Things Research and Innovation Value Chains, Ecosystems and Markets; River Publishers: Aalborg, Denmark, 2022; pp. 15–118. [Google Scholar]
- Shafique, K.; Khawaja, B.A.; Sabir, F.; Qazi, S.; Mustaqim, M. Internet of things (IoT) for next-generation smart systems: A review of current challenges, future trends and prospects for emerging 5G-IoT scenarios. IEEE Access 2020, 8, 23022–23040. [Google Scholar] [CrossRef]
- Neto, E.C.P.; Dadkhah, S.; Ghorbani, A.A. Collaborative DDoS Detection in Distributed Multi-Tenant IoT using Federated Learning. In Proceedings of the 2022 19th Annual International Conference on Privacy, Security & Trust (PST), Fredericton, NB, Canada, 22–24 August 2022; pp. 1–10. [Google Scholar]
- Kaur, B.; Dadkhah, S.; Xiong, P.; Iqbal, S.; Ray, S.; Ghorbani, A.A. Verification based scheme to restrict iot attacks. In Proceedings of the 2021 IEEE/ACM 8th International Conference on Big Data Computing, Applications and Technologies (BDCAT’21), Leicester, UK, 6–9 December 2021; pp. 63–68. [Google Scholar]
- Velarde-Alvarado, P.; Gonzalez, H.; Martínez-Peláez, R.; Mena, L.J.; Ochoa-Brust, A.; Moreno-García, E.; Félix, V.G.; Ostos, R. A novel framework for generating personalized network datasets for nids based on traffic aggregation. Sensors 2022, 22, 1847. [Google Scholar] [CrossRef]
- Sharma, S.; Kaushik, B. A survey on internet of vehicles: Applications, security issues & solutions. Veh. Commun. 2019, 20, 100182. [Google Scholar]
- Guerra, J.L.; Catania, C.; Veas, E. Datasets are not enough: Challenges in labeling network traffic. Comput. Secur. 2022, 120, 102810. [Google Scholar] [CrossRef]
- Safi, M.; Dadkhah, S.; Shoeleh, F.; Mahdikhani, H.; Molyneaux, H.; Ghorbani, A.A. A Survey on IoT Profiling, Fingerprinting, and Identification. ACM Trans. Internet Things 2022, 3, 1–39. [Google Scholar] [CrossRef]
- Elghalhoud, O.; Naik, K.; Zaman, M.; Goel, N. Data balancing and hyper-parameter optimization for machine learning algorithms for secure iot networks. In Proceedings of the 18th ACM International Symposium on QoS and Security for Wireless and Mobile Networks, Montreal, QC, Canada, 24–28 October 2022; pp. 71–78. [Google Scholar]
- Abrishami, M.; Dadkhah, S.; Neto, E.C.P.; Xiong, P.; Iqbal, S.; Ray, S.; Ghorbani, A.A. Label Noise Detection in IoT Security based on Decision Tree and Active Learning. In Proceedings of the 2022 IEEE 19th International Conference on Smart Communities: Improving Quality of Life Using ICT, IoT and AI (HONET), Marietta, GA, USA, 19–21 December 2022; pp. 46–53. [Google Scholar]
- Erfani, M.; Shoeleh, F.; Dadkhah, S.; Kaur, B.; Xiong, P.; Iqbal, S.; Ray, S.; Ghorbani, A.A. A feature exploration approach for IoT attack type classification. In Proceedings of the 2021 IEEE Intl Conf on Dependable, Autonomic and Secure Computing, Intl Conf on Pervasive Intelligence and Computing, Intl Conf on Cloud and Big Data Computing, Intl Conf on Cyber Science and Technology Congress (DASC/PiCom/CBDCom/CyberSciTech), Calgary, AB, Canada, 25–28 October 2021; pp. 582–588. [Google Scholar]
- Meidan, Y.; Bohadana, M.; Mathov, Y.; Mirsky, Y.; Shabtai, A.; Breitenbacher, D.; Elovici, Y. N-baiot—Network-based detection of iot botnet attacks using deep autoencoders. IEEE Pervasive Comput. 2018, 17, 12–22. [Google Scholar] [CrossRef]
- Bezerra, V.H.; da Costa, V.G.T.; Martins, R.A.; Junior, S.B.; Miani, R.S.; Zarpelao, B.B. Providing IoT host-based datasets for intrusion detection research*. In Proceedings of the Anais do XVIII Simpósio Brasileiro em Segurança da Informação e de Sistemas Computacionais, Natal, Brazil, 22–25 October 2018; pp. 15–28. [Google Scholar]
- Anthi, E.; Williams, L.; Słowińska, M.; Theodorakopoulos, G.; Burnap, P. A supervised intrusion detection system for smart home IoT devices. IEEE Internet Things J. 2019, 6, 9042–9053. [Google Scholar] [CrossRef]
- Koroniotis, N.; Moustafa, N.; Sitnikova, E.; Turnbull, B. Towards the development of realistic botnet dataset in the internet of things for network forensic analytics: Bot-iot dataset. Future Gener. Comput. Syst. 2019, 100, 779–796. [Google Scholar] [CrossRef]
- Mirsky, Y.; Doitshman, T.; Elovici, Y.; Shabtai, A. Kitsune: An ensemble of autoencoders for online network intrusion detection. arXiv 2018, arXiv:1802.09089. [Google Scholar]
- Kang, H.; Ahn, D.H.; Lee, G.M.; Yoo, J.; Park, K.H.; Kim, H.K. IoT network intrusion dataset. IEEE Dataport 2019, 1, 1. [Google Scholar]
- Guerra-Manzanares, A.; Medina-Galindo, J.; Bahsi, H.; Nõmm, S. MedBIoT: Generation of an IoT Botnet Dataset in a Medium-sized IoT Network. In Proceedings of the ICISSP, Valletta, Malta, 25–27 February 2020; pp. 207–218. [Google Scholar]
- Parmisano, A.; Garcia, S.; Erquiaga, M. A Labeled Dataset with Malicious and Benign IoT Network Traffic; Stratosphere Laboratory: Praha, Czech Republic, 2020. [Google Scholar]
- Ullah, I.; Mahmoud, Q.H. A Scheme for Generating a Dataset for Anomalous Activity Detection in IoT Networks. In Proceedings of the Canadian Conference on Artificial Intelligence, Ottawa, ON, Canada, 13–15 May 2020; pp. 508–520. [Google Scholar]
- Vaccari, I.; Chiola, G.; Aiello, M.; Mongelli, M.; Cambiaso, E. MQTTset, a New Dataset for Machine Learning Techniques on MQTT. Sensors 2020, 20, 6578. [Google Scholar] [CrossRef]
- Hindy, H.; Bayne, E.; Bures, M.; Atkinson, R.; Tachtatzis, C.; Bellekens, X. Machine Learning Based IoT Intrusion Detection System: An MQTT Case Study. arXiv 2020, arXiv:2006.15340. [Google Scholar]
- Alsaedi, A.; Moustafa, N.; Tari, Z.; Mahmood, A.; Anwar, A. TON_IoT telemetry dataset: A new generation dataset of IoT and IIoT for data-driven Intrusion Detection Systems. IEEE Access 2020, 8, 165130–165150. [Google Scholar] [CrossRef]
- Ferrag, M.A.; Friha, O.; Hamouda, D.; Maglaras, L.; Janicke, H. Edge-IIoTset: A new comprehensive realistic cyber security dataset of IoT and IIoT applications for centralized and federated learning. IEEE Access 2022, 10, 40281–40306. [Google Scholar] [CrossRef]
- Lamping, U.; Warnicke, E. Wireshark user’s guide. Interface 2004, 4, 1. [Google Scholar]
- Baxter, J.H. Wireshark Essentials; Packt Publishing Ltd.: Birmingham, UK, 2014. [Google Scholar]
- Tools, K. hping3 Package Description. 2019. Available online: https://www.kali.org/tools/hping3 (accessed on 19 June 2023).
- EPC-MSU. UDP Flood. 2023. Available online: https://github.com/EPC-MSU/udp-flood (accessed on 19 June 2023).
- Yaltirakli, G. Slowloris. 2015. Available online: https://github.com/gkbrk/slowloris (accessed on 19 June 2023).
- Golang-HTTPFlood. 2020. Available online: https://github.com/Leeon123/golang-httpflood (accessed on 19 June 2023).
- Lyon, G. Nmap Security Scanner. 2014. Available online: http://nmap.org/ (accessed on 22 June 2023).
- Tools, K. Fping. 2023. Available online: https://fping.org/ (accessed on 19 June 2023).
- SCIP. Vulscan. 2023. Available online: https://github.com/scipag/vulscan (accessed on 19 June 2023).
- DVWA. Damn Vulnerable Web Application. 2017. Available online: https://github.com/digininja/DVWA (accessed on 19 June 2023).
- KeepWannabe. Remot3d—An Easy Way To Exploiting. 2020. Available online: https://github.com/KeepWannabe/Remot3d (accessed on 19 June 2023).
- BEEF. The Browser Exploitation Framework. 2023. Available online: https://beefproject.com (accessed on 19 June 2023).
- Maciejak, D. Hydra. 2023. Available online: https://github.com/vanhauser-thc/thc-hydra (accessed on 19 June 2023).
- Ornaghi, A.; Valleri, M. Ettercap. 2005. Available online: https://www.ettercap-project.org/ (accessed on 19 June 2023).
- Gamblin, J. Mirai BotNet. 2017. Available online: https://github.com/jgamblin/Mirai-Source-Code (accessed on 19 June 2023).
- Kumari, P.; Jain, A.K. A Comprehensive Study of DDoS Attacks over IoT Network and Their Countermeasures. Comput. Secur. 2023, 127, 103096. [Google Scholar] [CrossRef]
- Duravkin, I.; Loktionova, A.; Carlsson, A. Method of slow-attack detection. In Proceedings of the 2014 First International Scientific-Practical Conference Problems of Infocommunications Science and Technology, Kharkov, Ukraine, 14–17 October 2014; pp. 171–172. [Google Scholar]
- Harshita, H. Detection and prevention of ICMP flood DDOS attack. Int. J. New Technol. Res. 2017, 3, 263333. [Google Scholar]
- Sreeram, I.; Vuppala, V.P.K. HTTP flood attack detection in application layer using machine learning metrics and bio inspired bat algorithm. Appl. Comput. Inform. 2019, 15, 59–66. [Google Scholar] [CrossRef]
- Acharya, A.A.; Arpitha, K.; Kumar, B. An intrusion detection system against UDP flood attack and ping of death attack (DDOS) in MANET. Int. J. Eng. Technol. (IJET) 2016, 8, 1112–1115. [Google Scholar]
- Cebeloglu, F.S.; Karakose, M. A cyber security analysis used for unmanned aerial vehicles in the smart city. In Proceedings of the 2019 1st International Informatics and Software Engineering Conference (UBMYK), Ankara, Turkey, 6–7 November 2019; pp. 1–6. [Google Scholar]
- Chen, E.Y. Detecting TCP-based DDoS attacks by linear regression analysis. In Proceedings of the Fifth IEEE International Symposium on Signal Processing and Information Technology, Athens, Greece, 21 December 2005; pp. 381–386. [Google Scholar]
- Kaufman, C.; Perlman, R.; Sommerfeld, B. DoS protection for UDP-based protocols. In Proceedings of the 10th ACM Conference on Computer and Communications Security, Washington, DC, USA, 27–30 October 2003; pp. 2–7. [Google Scholar]
- Gilad, Y.; Herzberg, A. Fragmentation considered vulnerable. ACM Trans. Inf. Syst. Secur. (TISSEC) 2013, 15, 1–31. [Google Scholar] [CrossRef]
- Bogdanoski, M.; Suminoski, T.; Risteski, A. Analysis of the SYN flood DoS attack. Int. J. Comput. Netw. Inf. Secur. (IJCNIS) 2013, 5, 1–11. [Google Scholar] [CrossRef]
- Raptis, G.E.; Katsini, C.; Alexakos, C. Towards Automated Matching of Cyber Threat Intelligence Reports based on Cluster Analysis in an Internet-of-Vehicles Environment. In Proceedings of the 2021 IEEE International Conference on Cyber Security and Resilience (CSR), Rhodes, Greece, 26–28 July 2021; pp. 366–371. [Google Scholar]
- Al-Jarrah, O.; Arafat, A. Network intrusion detection system using neural network classification of attack behavior. J. Adv. Inf. Technol. 2015, 6. [Google Scholar] [CrossRef]
- Orebaugh, A.; Pinkard, B. Nmap in the Enterprise: Your Guide to Network Scanning; Elsevier: Amsterdam, The Netherlands, 2011. [Google Scholar]
- deRito, C.; Bhatia, S. Comparative Analysis of Open-Source Vulnerability Scanners for IoT Devices. In Intelligent Data Communication Technologies and Internet of Things; Springer: Singapore, 2022; pp. 785–800. [Google Scholar]
- Bhuyan, M.H.; Bhattacharyya, D.K.; Kalita, J.K. Surveying port scans and their detection methodologies. Comput. J. 2011, 54, 1565–1581. [Google Scholar] [CrossRef]
- Wolfgang, M. Host Discovery with nmap. Explor. Nmap’s Default Behav. 2002, 1, 16. [Google Scholar]
- Jensen, M.; Gruschka, N.; Herkenhöner, R. A survey of attacks on web services. Comput. Sci.-Res. Dev. 2009, 24, 185–197. [Google Scholar] [CrossRef]
- Halfond, W.G.; Viegas, J.; Orso, A. A classification of SQL-injection attacks and countermeasures. In Proceedings of the IEEE International Symposium on Secure Software Engineering, Washington, DC, USA, 13–15 March 2006; Volume 1, pp. 13–15. [Google Scholar]
- Su, Z.; Wassermann, G. The essence of command injection attacks in web applications. Acm Sigplan Not. 2006, 41, 372–382. [Google Scholar] [CrossRef]
- Loi, H.; Olmsted, A. Low-cost detection of backdoor malware. In Proceedings of the 2017 12th International Conference for Internet Technology and Secured Transactions (ICITST), Cambridge, UK, 11–14 December 2017; pp. 197–198. [Google Scholar]
- Wassermann, G.; Su, Z. Static detection of cross-site scripting vulnerabilities. In Proceedings of the 2008 ACM/IEEE 30th International Conference on Software Engineering, Leipzig, Germany, 10–18 May 2008; pp. 171–180. [Google Scholar]
- Kumar, M.M.S.; Indrani, B. A Study on Web Hijacking Techniques and Browser Attacks. Int. J. Appl. Eng. Res. 2018, 13, 2614–2618. [Google Scholar]
- van der Merwe, J.R.; Zubizarreta, X.; Lukčin, I.; Rügamer, A.; Felber, W. Classification of spoofing attack types. In Proceedings of the 2018 European Navigation Conference (ENC), Gothenburg, Sweden, 14–17 May 2018; pp. 91–99. [Google Scholar]
- Whalen, S. An Introduction to Arp Spoofing. Node99 [Online Document]. 2001. Available online: https://www.scribd.com/document/59722965/Intro-to-Arp-Spoofing (accessed on 19 June 2023).
- Maksutov, A.A.; Cherepanov, I.A.; Alekseev, M.S. Detection and prevention of DNS spoofing attacks. In Proceedings of the 2017 Siberian Symposium on Data Science and Engineering (SSDSE), Novosibirsk, Russia, 12–13 April 2017; pp. 84–87. [Google Scholar]
- Stiawan, D.; Idris, M.; Malik, R.F.; Nurmaini, S.; Alsharif, N.; Budiarto, R. Investigating brute force attack patterns in IoT network. J. Electr. Comput. Eng. 2019, 2019, 4568368. [Google Scholar] [CrossRef]
- Vykopal, J.; Plesnik, T.; Minarik, P. Network-based dictionary attack detection. In Proceedings of the 2009 International Conference on Future Networks, Bangkok, Thailand, 7–9 March 2009; pp. 23–27. [Google Scholar]
- Abbas, S.G.; Hashmat, F.; Shah, G.A.; Zafar, K. Generic signature development for IoT Botnet families. Forensic Sci. Int. Digit. Investig. 2021, 38, 301224. [Google Scholar] [CrossRef]
- TCPDUMP. Tcpdump(1) Man Page. 2022. Available online: https://www.tcpdump.org/manpages/tcpdump.1.html (accessed on 19 June 2023).
- DPKT. Dpkt Documentation. 2022. Available online: https://dpkt.readthedocs.io/en/latest/ (accessed on 19 June 2023).
- Lashkari, A.H.; Zang, Y.; Owhuo, G.; Mamun, M.; Gil, G. CICFlowMeter. GitHub.[vid. 2021-08-10]. Dostupné z. 2017. Available online: https://github.com/ahlashkari/CICFlowMeter/blob/master/ReadMe.txt (accessed on 19 June 2023).
- Aouini, Z.; Pekar, A. NFStream: A flexible network data analysis framework. Comput. Netw. 2022, 204, 108719. [Google Scholar] [CrossRef]
- PANDAS. Pandas-dev/Pandas: Pandas. 2020. Available online: https://zenodo.org/record/7979740 (accessed on 19 June 2023). [CrossRef]
- Harris, C.R.; Millman, K.J.; van der Walt, S.J.; Gommers, R.; Virtanen, P.; Cournapeau, D.; Wieser, E.; Taylor, J.; Berg, S.; Smith, N.J.; et al. Array programming with NumPy. Nature 2020, 585, 357–362. [Google Scholar] [CrossRef]
- Drabas, T.; Lee, D. Learning PySpark; Packt Publishing Ltd.: Birmingham, UK, 2017. [Google Scholar]
- Scikit-learn. StandardScaler. 2023. Available online: https://scikit-learn.org/stable/modules/generated/sklearn.preprocessing.StandardScaler.html (accessed on 19 June 2023).
- Danso, P.K.; Neto, E.C.P.; Dadkhah, S.; Zohourian, A.; Molyneaux, H.; Ghorbani, A.A. Ensemble-based Intrusion Detection for Internet of Things Devices. In Proceedings of the 2022 IEEE 19th International Conference on Smart Communities: Improving Quality of Life Using ICT, IoT and AI (HONET), Marietta, GA, USA, 19–21 December 2022; pp. 34–39. [Google Scholar]
- Bapat, R.; Mandya, A.; Liu, X.; Abraham, B.; Brown, D.E.; Kang, H.; Veeraraghavan, M. Identifying malicious botnet traffic using logistic regression. In Proceedings of the 2018 Systems and Information Engineering Design Symposium (SIEDS), Charlottesville, VA, USA, 27 April 2018; pp. 266–271. [Google Scholar]
- Shynk, J.J. Performance surfaces of a single-layer perceptron. IEEE Trans. Neural Netw. 1990, 1, 268–274. [Google Scholar] [CrossRef]
- AlShahrani, B.M.M. Classification of cyber-attack using Adaboost regression classifier and securing the network. Turk. J. Comput. Math. Educ. (TURCOMAT) 2021, 12, 1215–1223. [Google Scholar]
- Rehman Javed, A.; Jalil, Z.; Atif Moqurrab, S.; Abbas, S.; Liu, X. Ensemble adaboost classifier for accurate and fast detection of botnet attacks in connected vehicles. Trans. Emerg. Telecommun. Technol. 2022, 33, e4088. [Google Scholar] [CrossRef]
- Khan, F.; Ahamed, J.; Kadry, S.; Ramasamy, L.K. Detecting malicious URLs using binary classification through ada boost algorithm. Int. J. Electr. Comput. Eng. (2088-8708) 2020, 10, 997–1005. [Google Scholar]
- Choubisa, M.; Doshi, R.; Khatri, N.; Hiran, K.K. A simple and robust approach of random forest for intrusion detection system in cyber security. In Proceedings of the 2022 International Conference on IoT and Blockchain Technology (ICIBT), Ranchi, India, 6–8 May 2022; pp. 1–5. [Google Scholar]
- Xin, Y.; Kong, L.; Liu, Z.; Chen, Y.; Li, Y.; Zhu, H.; Gao, M.; Hou, H.; Wang, C. Machine learning and deep learning methods for cybersecurity. IEEE Access 2018, 6, 35365–35381. [Google Scholar] [CrossRef]










| Device Name | Category | MAC Address | Device Name | Category | MAC Address | |
| Amazon Alexa Echo Dot 1 | Audio | 1C:FE:2B:98:16:DD | Lumiman bulb | Lighting | 84:E3:42:42:ED:0B | |
| Amazon Alexa Echo Dot 2 | Audio | A0:D0:DC:C4:08:FF | Philips Hue Bridge | Hub | 00:17:88:60:D6:4F | |
| Amazon Alexa Echo Spot | Audio | 1C:12:B0:9B:0C:EC | Smart Board | Home Automation | 00:02:75:F6:E3:CB | |
| Amazon Alexa Echo Studio | Audio | 08:7C:39:CE:6E:2A | Teckin Light Strip | Lighting | 18:69:D8:EB:D4:3E | |
| Amazon Echo Show | Audio | 2C:71:FF:05:F1:15 | Teckin Plug 1 | Power Outlet | D4:A6:51:76:06:64 | |
| Google Nest Mini Speaker | Audio | CC:F4:11:9C:D0:00 | Teckin Plug 2 | Power Outlet | D4:A6:51:78:97:4E | |
| harman kardon (Ampak Technology) | Audio | B0:F1:EC:D3:E7:98 | Wemo smart plug 1 (Wemo id: Wemo.Mini.AD3) | Power Outlet | 30:23:03:F3:84:2B | |
| Sonos One Speaker | Audio | 48:A6:B8:F9:1B:88 | Wemo smart plug 2 (Wemo id: Wemo.Mini.4A3) | Power Outlet | 30:23:03:F3:57:CB | |
| AMCREST WiFi Camera | Camera | 9C:8E:CD:1D:AB:9F | Yutron Plug 1 | Power Outlet | D4:A6:51:20:91:D1 | |
| Arlo Base Station | Camera | 3C:37:86:6F:B9:51 | Yutron Plug 2 | Power Outlet | D4:A6:51:21:6C:29 | |
| Arlo Q Indoor Camera | Camera | 40:5D:82:35:14:C8 | LG Smart TV | Home Automation | AC:F1:08:4E:00:82 | |
| Borun/Sichuan-AI Camera | Camera | C0:E7:BF:0A:79:D1 | Netatmo Weather Station | Home Automation | 70:EE:50:6B:A8:1A | |
| DCS8000LHA1 D-Link Mini Camera | Camera | B0:C5:54:59:2E:99 | Raspberry Pi 4—2 GB | NextGen | DC:A6:32:C9:E6:F4 | |
| HeimVision Smart WiFi Camera | Camera | 44:01:BB:EC:10:4A | Raspberry Pi 4—2 GB | NextGen | DC:A6:32:C9: E4:C6 | |
| Home Eye Camera | Camera | 34:75:63:73:F3:36 | Raspberry Pi 4—2 GB | NextGen | DC:A6:32:C9:E5:02 | |
| Luohe Cam Dog | Camera | 7C:A7:B0:CD:18:32 | Fibaro Door/Window Sensor 1 | Sensor | N/A | |
| Nest Indoor Camera | Camera | 44:BB:3B:00:39:07 | Fibaro Door/Window Sensor 2 | Sensor | N/A | |
| Victms | Netatmo Camera | Camera | 70:EE:50:68:0E:32 | Fibaro Door/Window Sensor 3 | Sensor | N/A |
| Rbcior Camera | Camera | 10:5A:17:97:A5:C6 | Fibaro Flood Sensor 1 | Sensor | N/A | |
| SIMCAM 1S (AMPAKTec) | Camera | 10:2C:6B:1B:43:BE | Fibaro Flood Sensor 2 | Sensor | N/A | |
| TP-Link Tapo Camera | Camera | 6C:5A:B0:44:1D:90 | Fibaro Motion Sensor 1 | Sensor | N/A | |
| Wyze Camera | Camera | 7C:78:B2:86:0D:81 | Fibaro Motion Sensor 2 | Sensor | N/A | |
| Yi Indoor Camera | Camera | 84:7A:B6:64:62:58 | Fibaro Motion Sensor 3 | Sensor | N/A | |
| Yi Indoor 2 Camera | Camera | 84:7A:B6:62:3A:6C | Fibaro Motion Sensor 4 | Sensor | N/A | |
| Yi Outdoor Camera | Camera | 2C:D2:6B:66:D2:87 | Fibaro Motion Sensor 5 | Sensor | N/A | |
| Eufy HomeBase 2 | Hub | 8C:85:80:6C:B6:47 | Fibaro Wall Plug 1 | Power Outlet | N/A | |
| Amazon Plug | Power Outlet | B8:5F:98:D0:76:E6 | Fibaro Wall Plug 2 | Power Outlet | N/A | |
| Atomi Coffee Maker | Home Automation | 68:57:2D:56:AC:47 | Ring Alarm Keypad | Home Automation | N/A | |
| Cocoon Smart HVAC Fan | Home Automation | 08:3A:F2:1F:BC:68 | Ring Range Extender | Home Automation | N/A | |
| Globe Lamp ESP_B1680C | Lighting | 50:02:91:B1:68:0C | Ring Contact Sensor (1) | Sensor | N/A | |
| GoSund Bulb | Lighting | C4:DD:57:13:07:C6 | Ring Contact Sensor (2) | Sensor | N/A | |
| Gosund Power strip (1) | Power Outlet | 50:02:91:1A:CE:E1 | AeoTec TriSensor | Sensor | N/A | |
| GoSund Power strip (2) | Power Outlet | B8:F0:09:03:9A:AF | AeoTec Doorbell 6 | Home Automation | N/A | |
| GoSund Smart plug WP2 (1) | Power Outlet | B8:F0:09:03:29:79 | AeoTec Indoor Siren | Home Automation | N/A | |
| GoSund Smart Plug WP2 (2) | Power Outlet | 50:02:91:10:AC:D8 | AeoTec Smart Switch 7 | Home Automation | N/A | |
| GoSund Smart plug WP2 (3) | Power Outlet | 50:02:91:10:09:8F | AeoTec Water Sensor 6 | Sensor | N/A | |
| GoSund Smart Plug WP3 (1) | Power Outlet | C4:DD:57:0C:39:94 | AeoTec NanoMote Quad | Home Automation | N/A | |
| Gosund Smart Plug WP3 (2) | Power Outlet | 24:A1:60:14:7F:F9 | AeoTec Door/Window Sensor 7 Pro | Sensor | N/A | |
| Govee Smart Humidifer | Home Automation | D4:AD:FC:29:C8:A2 | AeoTec Temperature and Humidity Sensor | Sensor | N/A | |
| HeimVision SmartLife Radio/Lamp | Lighting | D4:A6:51:30:64:B7 | Philips Hue White 1 | Lighting | N/A | |
| iRobot Roomba | Home Automation | 50:14:79:37:80:18 | Philips Hue White 2 | Lighting | N/A | |
| LampUX RGB | Lighting | F4:CF:A2:34:48:6B | SmartThings Smart Bulb 1 | Lighting | N/A | |
| Levoit Air Purifier | Home Automation | 1C:9D:C2:8C:9A:94 | SmartThings Smart Bulb 2 | Lighting | N/A | |
| LIFX Lightbulb | Lighting | D0:73:D5:35:FB:C8 | Aeotec Button | Home Automation | N/A | |
| SmartThings Hub | Hub | 28:6D:97:7A:2B:2D | AeoTec Motion Sensor | Sensor | N/A | |
| AeoTec Smart Home Hub | Hub | 28:6D:97:9E:F4:D5 | AeoTec Multipurpose Sensor | Sensor | N/A | |
| Sengled Smart Plug 2 | Power Outlet | N/A | AeoTec Water Leak Sensor | Sensor | N/A | |
| SmartThings Button | Home Automation | N/A | Sengled Smart Plug 1 | Power Outlet | N/A | |
| SmartThings Smart Bulb 3 | Lighting | N/A | Sonoff Smart Plug 2 | Power Outlet | N/A | |
| Sonoff Smart Plug 1 | Power Outlet | N/A | Arlo Ultra 2 Outdoor Camera | Camera | N/A | |
| Raspberry Pi 4—4 GB | NextGen | E4:5F:01:55:90:C4 | Raspberry Pi 4—2 GB | NextGen | DC:A6:32:C9:E4:D5 | |
| Raspberry Pi 4—8 GB | NextGen | DC:A6:32:DC:27:D5 | Raspberry Pi 4—2 GB | NextGen | DC:A6:32:C9:E5:EF | |
| Attackers | Raspberry Pi 4—2 GB | NextGen | DC:A6:32:C9:E4:AB | Raspberry Pi 4—2 GB | NextGen | DC:A6:32:C9:E4:90 |
| Raspberry Pi 4—2 GB | NextGen | DC:A6:32:C9:E5:A4 | Ring Base Station | Hub | B0:09:DA:3E:82:6C | |
| Fibaro Home Center Lite | Hub | AC:17:02:05:34:27 | Eufy Doorbell Camera | Camera | N/A |
| Attack | Rows | Tool | |
| ACK Fragmentation | 285,104 | hping3 [49] | |
| UDP Flood | 5,412,287 | udp-flood [50] | |
| SlowLoris | 23,426 | slowloris [51] | |
| ICMP Flood | 7,200,504 | hping3 [49] | |
| RSTFIN Flood | 4,045,285 | hping3 [49] | |
| PSHACK Flood | 4,094,755 | hping3 [49] | |
| DDoS | HTTP Flood | 28,790 | golang-httpflood [52] |
| UDP Fragmentation | 286,925 | udp-flood [50] | |
| ICMP Fragmentation | 452,489 | hping3 [49] | |
| TCP Flood | 4,497,667 | hping3 [49] | |
| SYN Flood | 4,059,190 | hping3 [49] | |
| SynonymousIP Flood | 3,598,138 | hping3 [49] | |
| TCP Flood | 2,671,445 | hping3 [49] | |
| HTTP Flood | 71,864 | golang-httpflood [52] | |
| DoS | SYN Flood | 2,028,834 | hping3 [49] |
| UDP Flood | 3,318,595 | hping3 [49] and udp-flood [50] | |
| Ping Sweep | 2262 | nmap [53] and fping [54] | |
| OS Scan | 98,259 | nmap [53] | |
| Recon | Vulnerability Scan | 37,382 | nmap [53] and vulscan [55] |
| Port Scan | 82,284 | nmap [53] | |
| Host Discovery | 134,378 | nmap [53] | |
| Sql Injection | 5245 | DVWA [56] | |
| Command Injection | 5409 | DVWA [56] | |
| Backdoor Malware | 3218 | DVWA [56] and Remot3d [57] | |
| Web-Based | Uploading Attack | 1252 | DVWA [56] |
| XSS | 3846 | DVWA [56] | |
| Browser Hijacking | 5859 | Beef [58] | |
| Brute Force | Dictionary Brute Force | 13,064 | nmap [53] and hydra [59] |
| Spoofing | Arp Spoofing | 307,593 | ettercap [60] |
| DNS Spoofing | 178,911 | ettercap [60] | |
| GREIP Flood | 751,682 | Adapted Mirai Source Code [61] | |
| Mirai | Greeth Flood | 991,866 | Adapted Mirai Source Code [61] |
| UDPPlain | 890,576 | Adapted Mirai Source Code [61] |
| Attack | Rows | Attack | Rows | Category | Rows |
|---|---|---|---|---|---|
| DDoS-ICMP_Flood | 7,200,504 | DoS-TCP_Flood | 2,671,445 | DDoS | 33,984,560 |
| DDoS-UDP_Flood | 5,412,287 | DoS-SYN_Flood | 2,028,834 | DoS | 8,090,738 |
| DDoS-TCP_Flood | 4,497,667 | BenignTraffic | 1,098,195 | Mirai | 2,634,124 |
| DDoS-PSHACK_Flood | 4,094,755 | Mirai-greeth_flood | 991,866 | Benign | 1,098,195 |
| DDoS-SYN_Flood | 4,059,190 | Mirai-udpplain | 890,576 | Spoofing | 486,504 |
| DDoS-RSTFINFlood | 4,045,285 | Mirai-greip_flood | 751,682 | Recon | 354,565 |
| DDoS-SynonymousIP_Flood | 3,598,138 | DDoS-ICMP_Fragmentation | 452,489 | Web | 24,829 |
| DoS-UDP_Flood | 3,318,595 | MITM-ArpSpoofing | 307,593 | BruteForce | 13,064 |
| Recon-PingSweep | 2262 | Uploading_Attack | 1252 | ||
| DDoS-UDP_Fragmentation | 286,925 | DDoS-HTTP_Flood | 28,790 | ||
| DDoS-ACK_Fragmentation | 285,104 | DDoS-SlowLoris | 23,426 | ||
| DNS_Spoofing | 178,911 | DictionaryBruteForce | 13,064 | ||
| Recon-HostDiscovery | 134,378 | BrowserHijacking | 5859 | ||
| Recon-OSScan | 98,259 | CommandInjection | 5409 | ||
| Recon-PortScan | 82,284 | SqlInjection | 5245 | ||
| DoS-HTTP_Flood | 71,864 | XSS | 3846 | ||
| VulnerabilityScan | 37,382 | Backdoor_Malware | 3218 |
| # | Feature | Description |
|---|---|---|
| 1 | ts | Timestamp |
| 2 | flow duration | Duration of the packet’s flow |
| 3 | Header Length | Header Length |
| 4 | Protocol Type | IP, UDP, TCP, IGMP, ICMP, Unknown (Integers) |
| 5 | Duration | Time-to-Live (ttl) |
| 6 | Rate | Rate of packet transmission in a flow |
| 7 | Srate | Rate of outbound packets transmission in a flow |
| 8 | Drate, | Rate of inbound packets transmission in a flow |
| 9 | fin flag number | Fin flag value |
| 10 | syn flag number | Syn flag value |
| 11 | rst flag number | Rst flag value |
| 12 | psh flag numbe | Psh flag value |
| 13 | ack flag number | Ack flag value |
| 14 | ece flag numbe | Ece flag value |
| 15 | cwr flag number | Cwr flag value |
| 16 | ack count | Number of packets with ack flag set in the same flow |
| 17 | syn count | Number of packets with syn flag set in the same flow |
| 18 | fin count | Number of packets with fin flag set in the same flow |
| 19 | urg coun | Number of packets with urg flag set in the same flow |
| 20 | rst count | Number of packets with rst flag set in the same flow |
| 21 | HTTP | Indicates if the application layer protocol is HTTP |
| 22 | HTTPS | Indicates if the application layer protocol is HTTPS |
| 23 | DNS | Indicates if the application layer protocol is DNS |
| 24 | Telnet | Indicates if the application layer protocol is Telnet |
| 25 | SMTP | Indicates if the application layer protocol is SMTP |
| 26 | SSH | Indicates if the application layer protocol is SSH |
| 27 | IRC | Indicates if the application layer protocol is IRC |
| 28 | TCP | Indicates if the transport layer protocol is TCP |
| 29 | UDP | Indicates if the transport layer protocol is UDP |
| 30 | DHCP | Indicates if the application layer protocol is DHCP |
| 31 | ARP | Indicates if the link layer protocol is ARP |
| 32 | ICMP | Indicates if the network layer protocol is ICMP |
| 33 | IPv | Indicates if the network layer protocol is IP |
| 34 | LLC | Indicates if the link layer protocol is LLC |
| 35 | Tot sum | Summation of packets lengths in flow |
| 36 | Min | Minimum packet length in the flow |
| 37 | Max | Maximumpacket length in the flow |
| 38 | AVG | Average packet length in the flow |
| 39 | Std | Standard deviation of packet length in the flow |
| 40 | Tot size | Packet’s length |
| 41 | IAT | The time difference with the previous packet |
| 42 | Number | The number of packets in the flow |
| 43 | Magnitude | (Average of the lengths of incoming packets in the flow + average of the lengths of outgoing packets in the flow) |
| 44 | Radius | (Variance of the lengths of incoming packets in the flow + variance of the lengths of outgoing packets in the flow) |
| 45 | Covariance | Covariance of the lengths of incoming and outgoing packets |
| 46 | Variance | Variance of the lengths of incoming packets in the flow/ variance of the lengths of outgoing packets in the flow |
| 47 | Weight | Number of incoming packets × Number of outgoing packets |
| Feature | Mean | Std | Min | 25% | 50% | 75% | Max |
|---|---|---|---|---|---|---|---|
| flow_duration | 5.76544939 | 285.034171 | 0 | 0 | 0 | 0.10513809 | 394,357.207 |
| Header_Length | 76,705.9637 | 461,331.747 | 0 | 54 | 54 | 280.555 | 9,907,147.75 |
| Protocol Type | 9.06568989 | 8.94553292 | 0 | 6 | 6 | 14.33 | 47 |
| Duration | 66.3507169 | 14.0191881 | 0 | 64 | 64 | 64 | 255 |
| Rate | 9064.05724 | 99,562.4906 | 0 | 2.09185589 | 15.7542308 | 117.384754 | 8,388,608 |
| Srate | 9064.05724 | 99,562.4906 | 0 | 2.09185589 | 15.7542308 | 117.384754 | 8,388,608 |
| Drate | 5.46 × 10 | 0.00725077 | 0 | 0 | 0 | 0 | 29.7152249 |
| fin_flag_number | 0.08657207 | 0.28120696 | 0 | 0 | 0 | 0 | 1 |
| syn_flag_number | 0.20733528 | 0.40539779 | 0 | 0 | 0 | 0 | 1 |
| rst_flag_number | 0.09050473 | 0.28690351 | 0 | 0 | 0 | 0 | 1 |
| psh_flag_number | 0.08775006 | 0.28293106 | 0 | 0 | 0 | 0 | 1 |
| ack_flag_number | 0.12343168 | 0.32893207 | 0 | 0 | 0 | 0 | 1 |
| ece_flag_number | 1.48 × 10 | 0.00121571 | 0 | 0 | 0 | 0 | 1 |
| cwr_flag_number | 7.28 × 10 | 0.00085338 | 0 | 0 | 0 | 0 | 1 |
| ack_count | 0.09054283 | 0.28643144 | 0 | 0 | 0 | 0 | 7.7 |
| syn_count | 0.33035785 | 0.6635354 | 0 | 0 | 0 | 0.06 | 12.87 |
| fin_count | 0.09907672 | 0.32711642 | 0 | 0 | 0 | 0 | 248.32 |
| urg_count | 6.23982356 | 71.8524536 | 0 | 0 | 0 | 0 | 4401.7 |
| rst_count | 38.4681213 | 325.384658 | 0 | 0 | 0 | 0.01 | 9613 |
| HTTP | 0.04823423 | 0.21426079 | 0 | 0 | 0 | 0 | 1 |
| HTTPS | 0.05509922 | 0.22817383 | 0 | 0 | 0 | 0 | 1 |
| DNS | 0.00013068 | 0.01143079 | 0 | 0 | 0 | 0 | 1 |
| Telnet | 2.14 × 10 | 0.00014635 | 0 | 0 | 0 | 0 | 1 |
| SMTP | 6.43 × 10 | 0.00025349 | 0 | 0 | 0 | 0 | 1 |
| SSH | 4.09 × 10 | 0.00639772 | 0 | 0 | 0 | 0 | 1 |
| IRC | 1.50 × 10 | 0.00038722 | 0 | 0 | 0 | 0 | 1 |
| TCP | 0.57383427 | 0.49451846 | 0 | 0 | 1 | 1 | 1 |
| UDP | 0.21191758 | 0.40866676 | 0 | 0 | 0 | 0 | 1 |
| DHCP | 1.71 × 10 | 0.00130903 | 0 | 0 | 0 | 0 | 1 |
| ARP | 6.62 × 10 | 0.00813521 | 0 | 0 | 0 | 0 | 1 |
| ICMP | 0.16372157 | 0.37002273 | 0 | 0 | 0 | 0 | 1 |
| IPv | 0.99988731 | 0.01061485 | 0 | 1 | 1 | 1 | 1 |
| LLC | 0.99988731 | 0.01061485 | 0 | 1 | 1 | 1 | 1 |
| Tot sum | 1308.32257 | 2613.30273 | 42 | 525 | 567 | 567.54 | 127,335.8 |
| Min | 91.6073456 | 139.695326 | 42 | 50 | 54 | 54 | 13,583 |
| Max | 181.963418 | 524.030902 | 42 | 50 | 54 | 55.26 | 49,014 |
| AVG | 124.668815 | 240.991485 | 42 | 50 | 54 | 54.0497296 | 13,583 |
| Std | 33.3248065 | 160.335722 | 0 | 0 | 0 | 0.37190955 | 12,385.2391 |
| Tot size | 124.691567 | 241.549341 | 42 | 50 | 54 | 54.06 | 135,83 |
| IAT | 83,182,525.9 | 17,047,351.7 | 0 | 83,071,566 | 83,124,522.4 | 83,343,908 | 167,639,436 |
| Number | 9.49848933 | 0.81915318 | 1 | 9.5 | 9.5 | 9.5 | 15 |
| Magnitue | 13.12182 | 8.62857895 | 9.16515139 | 10 | 10.3923048 | 10.3967148 | 164.821115 |
| Radius | 47.0949848 | 226.769647 | 0 | 0 | 0 | 0.50592128 | 17,551.2708 |
| Covariance | 30,724.3565 | 323,710.68 | 0 | 0 | 0 | 1.34421569 | 154,902,159 |
| Variance | 0.0964376 | 0.233001 | 0 | 0 | 0 | 0.08 | 1 |
| Weight | 141.51237 | 21.0683073 | 1 | 141.55 | 141.55 | 141.55 | 244.6 |
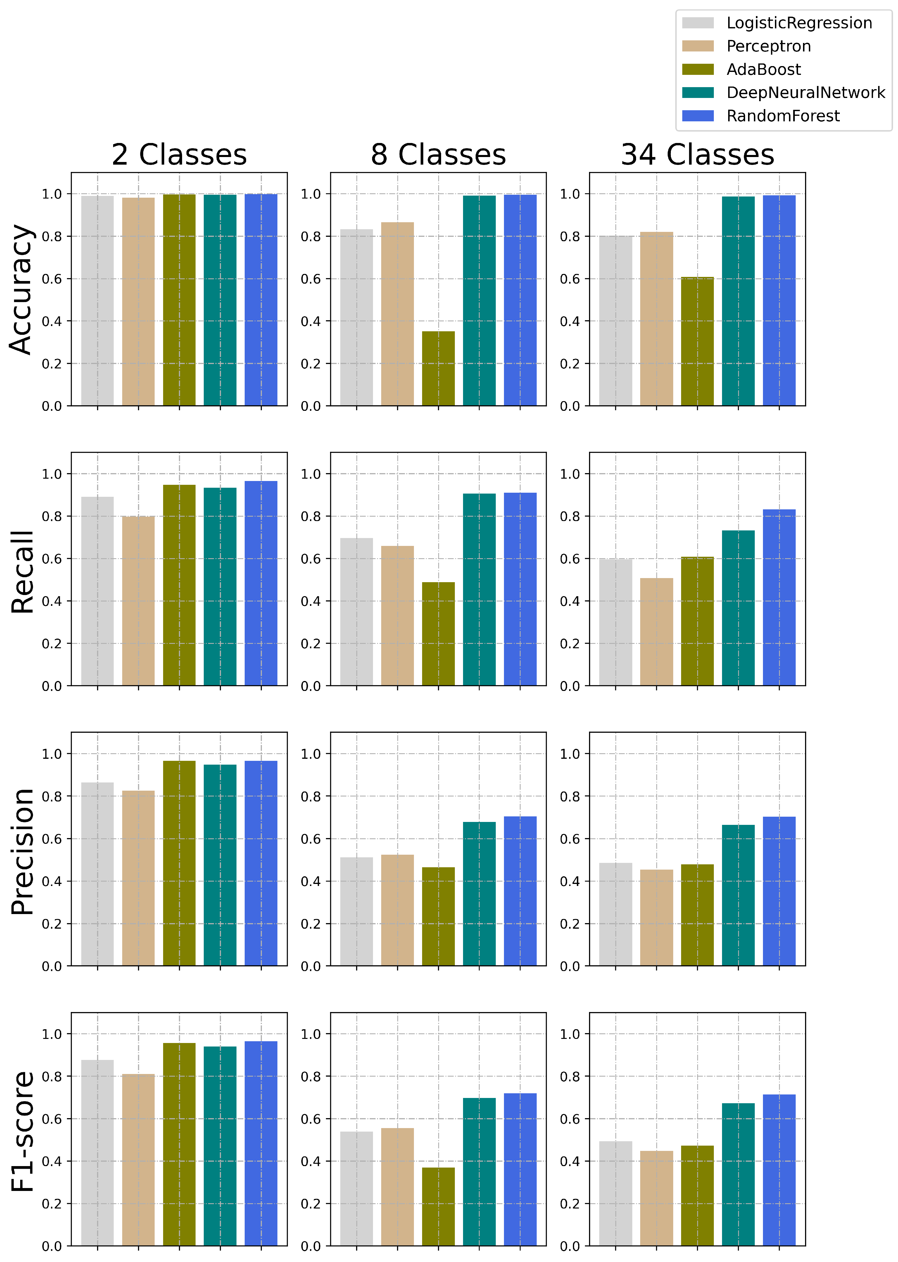
| Metric | Logistic Regression | Perceptron | Adaboost | Random Forest (RF) | Deep Neural Network (DNN) | |
|---|---|---|---|---|---|---|
| 34 classes | Accuracy | 0.80231507 | 0.8195961 | 0.607888 | 0.99164365 | 0.986118011 |
| Recall | 0.59520185 | 0.507506 | 0.607675 | 0.831586401 | 0.731868794 | |
| Precision | 0.486752461 | 0.454634 | 0.479621 | 0.704492066 | 0.665295126 | |
| F1-score | 0.49388408 | 0.4472933 | 0.473498 | 0.714021981 | 0.672346883 | |
| 8 classes | Accuracy | 0.831674188 | 0.8663152 | 0.351357 | 0.994368173 | 0.991147043 |
| Recall | 0.696055597 | 0.6591315 | 0.487789 | 0.91001105 | 0.906642708 | |
| Precision | 0.512409686 | 0.5239188 | 0.464924 | 0.705407564 | 0.679434746 | |
| F1-score | 0.539424048 | 0.5551339 | 0.368663 | 0.71928904 | 0.69726491 | |
| 2 classes | Accuracy | 0.989023188 | 0.9817525 | 0.995899 | 0.99680798 | 0.994422814 |
| Recall | 0.890400624 | 0.7970288 | 0.947303 | 0.965163906 | 0.933277496 | |
| Precision | 0.863157959 | 0.825432 | 0.965631 | 0.965395244 | 0.947579486 | |
| F1-score | 0.876258983 | 0.8105374 | 0.956273 | 0.965279544 | 0.940305998 |
| Benign | Brute Force | DDoS | DoS | Mirai | Recon | Spoofing | Web | |
|---|---|---|---|---|---|---|---|---|
| Benign | 230,229 | 1 | 7 | 2 | 0 | 9270 | 3812 | 1 |
| Brute Force | 1054 | 438 | 3 | 0 | 0 | 1216 | 271 | 1 |
| DDoS | 23 | 0 | 7,523,853 | 1012 | 545 | 653 | 65 | 0 |
| DoS | 15 | 0 | 4933 | 1,787,065 | 60 | 61 | 33 | 0 |
| Mirai | 10 | 0 | 258 | 41 | 583,283 | 64 | 21 | 0 |
| Recon | 18,517 | 2 | 968 | 30 | 1 | 55,656 | 3455 | 1 |
| Spoofing | 30,485 | 0 | 17 | 0 | 15 | 10,021 | 67,257 | 3 |
| Web | 1976 | 0 | 1 | 0 | 0 | 2028 | 1221 | 207 |
| Benign | Brute Force | DDoS | DoS | Mirai | Recon | Spoofing | Web | |
|---|---|---|---|---|---|---|---|---|
| Benign | 234,929 | 4 | 24 | 2 | 4 | 3192 | 5159 | 8 |
| Brute Force | 1342 | 169 | 1 | 0 | 0 | 844 | 626 | 1 |
| DDoS | 15 | 0 | 7,525,049 | 557 | 18 | 339 | 173 | 0 |
| DoS | 7 | 0 | 1088 | 1,790,979 | 34 | 12 | 47 | 0 |
| Mirai | 5 | 0 | 603 | 18 | 582,921 | 100 | 30 | 0 |
| Recon | 11,565 | 6 | 1418 | 11 | 16 | 60,006 | 5591 | 17 |
| Spoofing | 14,618 | 1 | 18 | 6 | 11 | 4743 | 88,371 | 30 |
| Web | 1140 | 1 | 3 | 1 | 1 | 1265 | 2792 | 230 |
| Attack | IoTHIDS | N-BaIoT | Kitsune | IoTNIDS | IoT-SH | BoT-IoT | MedBIoT | IoT-23 (2020) | IoTIDS | MQTT | MQTT-IoT-IDS | X-IIoTID | WUSTL-IIoT | Edge-IIoTSet | CICIoT2023 | |
|---|---|---|---|---|---|---|---|---|---|---|---|---|---|---|---|---|
| ACK Fragmentation | - | - | - | - | - | - | - | - | - | - | - | - | - | - | ✓ | |
| UDP Flood | - | ✓ | - | ✓ | - | ✓ | - | - | - | - | - | - | - | ✓ | ✓ | |
| SlowLoris | - | - | - | - | - | - | - | - | - | - | - | - | - | - | ✓ | |
| ICMP Flood | - | - | - | - | - | - | - | - | - | - | - | - | - | ✓ | ✓ | |
| RSTFIN Flood | - | - | - | - | - | - | - | - | - | - | - | - | - | - | ✓ | |
| PSHACK Flood | - | - | - | - | - | - | - | - | - | - | - | - | - | - | ✓ | |
| HTTP Flood | - | ✓ | - | ✓ | - | ✓ | - | - | - | - | - | - | - | ✓ | ✓ | |
| DDoS | UDP Fragmentation | - | - | - | - | - | - | - | - | - | - | - | - | - | - | ✓ |
| ICMP Fragmentation | - | - | - | - | - | - | - | - | - | - | - | - | - | - | ✓ | |
| TCP Flood | - | ✓ | - | - | - | - | - | - | - | - | - | - | - | ✓ | ✓ | |
| SYN Flood | - | ✓ | - | - | - | - | - | - | - | - | - | - | - | ✓ | ✓ | |
| SynonymousIP Flood | - | - | - | - | - | - | - | - | - | - | - | - | - | - | ✓ | |
| TCP Flood | - | ✓ | ✓ | ✓ | - | - | - | - | - | - | - | - | ✓ | |||
| DoS | HTTP Flood | - | ✓ | - | - | - | ✓ | - | - | ✓ | - | - | - | - | - | ✓ |
| SYN Flood | - | ✓ | ✓ | ✓ | - | - | - | - | ✓ | - | - | - | - | - | ✓ | |
| UDP Flood | - | ✓ | - | - | ✓ | ✓ | - | - | ✓ | - | - | - | - | - | ✓ | |
| Ping Sweep | - | - | - | - | - | - | - | - | - | - | - | - | - | - | ✓ | |
| OS Scan | - | - | ✓ | ✓ | ✓ | ✓ | - | - | ✓ | - | ✓ | ✓ | - | ✓ | ✓ | |
| Recon | Vulnerability Scan | - | ✓ | - | - | - | - | - | - | - | - | ✓ | ✓ | - | ✓ | ✓ |
| Port Scan | - | ✓ | - | ✓ | ✓ | ✓ | - | - | ✓ | - | ✓ | ✓ | - | ✓ | ✓ | |
| Host Discovery | - | - | - | ✓ | - | - | - | - | - | - | - | ✓ | - | - | ✓ | |
| Sql Injection | - | - | - | - | - | - | - | - | - | - | - | - | ✓ | ✓ | ||
| Command Injection | - | - | - | - | - | - | - | - | - | - | - | - | - | - | ✓ | |
| Backdoor Malware | - | - | - | - | - | - | - | - | - | - | - | ✓ | - | ✓ | ✓ | |
| Web-Based | Uploading Attack | - | - | - | - | - | - | - | - | - | - | - | - | - | ✓ | ✓ |
| XSS | - | - | - | - | - | - | - | - | - | - | - | - | ✓ | ✓ | ||
| Browser Hijacking | - | - | - | - | - | - | - | - | - | - | - | - | - | - | ✓ | |
| Brute Force | Dictionary Brute Force | - | - | - | ✓ | - | - | - | - | - | ✓ | ✓ | ✓ | - | ✓ | ✓ |
| Spoofing | Arp Spoofing | - | - | ✓ | ✓ | ✓ | ✓ | - | - | ✓ | ✓ | ✓ | ||||
| DNS Spoofing | - | - | - | - | ✓ | - | - | - | - | - | - | - | - | ✓ | ✓ | |
| GREIP Flood | ✓ | ✓ | ✓ | ✓ | - | - | ✓ | ✓ | ✓ | - | - | - | ✓ | |||
| Mirai | Greeth Flood | ✓ | ✓ | ✓ | ✓ | - | - | ✓ | ✓ | ✓ | - | - | - | - | - | ✓ |
| UDPPlain | ✓ | ✓ | ✓ | ✓ | - | - | ✓ | ✓ | ✓ | - | - | - | - | - | ✓ |
| Extensive Topology (>100 Devices) | Execution of 33 Attacks Divided into 7 Classes | Machine Learning and Deep Learning Evaluation | |
|---|---|---|---|
| IoTHIDS | |||
| N-BaIoT | ✓ | ||
| Kitsune | ✓ | ||
| IoTNIDS | ✓ | ||
| IoT-SH | ✓ | ||
| BoT-IoT | ✓ | ||
| MedBIoT | ✓ | ||
| IoT-23 (2020) | ✓ | ||
| IoTIDS | ✓ | ||
| MQTT | ✓ | ||
| MQTT-IoT-IDS | ✓ | ||
| X-IIoTID | ✓ | ||
| WUSTL-IIoT | ✓ | ||
| Edge-IIoTSet | ✓ | ||
| CICIoT2023 | ✓ | ✓ | ✓ |
Disclaimer/Publisher’s Note: The statements, opinions and data contained in all publications are solely those of the individual author(s) and contributor(s) and not of MDPI and/or the editor(s). MDPI and/or the editor(s) disclaim responsibility for any injury to people or property resulting from any ideas, methods, instructions or products referred to in the content. |
© 2023 by the authors. Licensee MDPI, Basel, Switzerland. This article is an open access article distributed under the terms and conditions of the Creative Commons Attribution (CC BY) license (https://creativecommons.org/licenses/by/4.0/).
Share and Cite
Neto, E.C.P.; Dadkhah, S.; Ferreira, R.; Zohourian, A.; Lu, R.; Ghorbani, A.A. CICIoT2023: A Real-Time Dataset and Benchmark for Large-Scale Attacks in IoT Environment. Sensors 2023, 23, 5941. https://doi.org/10.3390/s23135941
Neto ECP, Dadkhah S, Ferreira R, Zohourian A, Lu R, Ghorbani AA. CICIoT2023: A Real-Time Dataset and Benchmark for Large-Scale Attacks in IoT Environment. Sensors. 2023; 23(13):5941. https://doi.org/10.3390/s23135941
Chicago/Turabian StyleNeto, Euclides Carlos Pinto, Sajjad Dadkhah, Raphael Ferreira, Alireza Zohourian, Rongxing Lu, and Ali A. Ghorbani. 2023. "CICIoT2023: A Real-Time Dataset and Benchmark for Large-Scale Attacks in IoT Environment" Sensors 23, no. 13: 5941. https://doi.org/10.3390/s23135941
APA StyleNeto, E. C. P., Dadkhah, S., Ferreira, R., Zohourian, A., Lu, R., & Ghorbani, A. A. (2023). CICIoT2023: A Real-Time Dataset and Benchmark for Large-Scale Attacks in IoT Environment. Sensors, 23(13), 5941. https://doi.org/10.3390/s23135941

