Toward Improvements in Pressure Measurements for Near Free-Field Blast Experiments
Abstract
1. Introduction
2. Materials and Methods
2.1. The Measurement Chain
- Side-on transducers record incident pressure change from the blast source in a free-air blast experiment. Their design, shaped on a pencil probe, minimize interference with the shock wave and the flow behind the shock front. The device’s body is thin, and the tapered probe tip is pointed upstream into the propagating blast wave. Hence, the blast wave should propagate parallel to the longitudinal axis of the pencil probe. This configuration is the one on which this paper focuses;
- Reflected-pressure transducers measure pressures reflected at normal or oblique angles of incidence from a rigid surface, for example, on a wall, where the shock wave reflects. This configuration will not be discussed in this paper.
- 137A, with a single ICP® sensing element with a resonant frequency of approximately 500 kHz, where the tip material can be changed (137A22 reference), presented in Figure 1a;
- 137B, consisting of two ICP® sensing elements, presenting a lower resonant frequency of approximately 400 kHz. This reference is presented in Figure 1c. The 137B27 and the 137B28 references have the same features, only the measurement range varies: respectively 35 bar for the B27 and 70 bar for the B28.
- a low-noise 10–32 coaxial Jack connector (for the 137B27 probe);
- a Bayonet Neill–Concelman (BNC) connector (for the 137A22 probe).
- Free-field experiments were conducted with a 137A22 pencil mounted with a “long” tip to adjust the length to the 137B27 commercial one, as shown in the photograph of Figure 1d. The sensing element is always at the same distance from the rear of the probe since this device part is not modified (in the case of the 137B27, it corresponds to the rear sensor);
- An experiment has also been conducted in the laboratory using a 137A22 pencil mounted with a “short” tip, as shown in the photograph of Figure 1b, to adjust the length of the 137A22 commercial pencil probe. The aim is to compare the transfer function of both optimized pencil probes with short or long tips.
- a low-noise coaxial cable, model 003, is used between the sensor and the conditioner. Connected to the sensor, its characteristic impedance is 50 Ω, and its linear capacitance is 99 pF/m;
- a standard KX15 cable is added between the low-noise coaxial cable and the conditioner/amplifier, only for free-field experiments, and is also used between the conditioner and the digitizer. Its characteristic impedance is 50 Ω, and its linear capacitance is 96 pF/m.
2.2. Free-Field Experimental Set-Up
2.3. The Laboratory Shock-Tube Set-Up for the Transfer Function Determination
- When the shock wave passes in the driven section, a sensor located on the tube wall, or on a pencil probe, sees a pressure step of amplitude P2–P1 sweeping its active surface. P2 is also referred to as the incident pressure;
- When the shock wave arrives at the end of the driven section, a sensor on it sees a pressure step of amplitude P5–P1. This measured pressure will remain stable at P5 until the arrival of the contact surface. P5 is also called the reflected pressure.
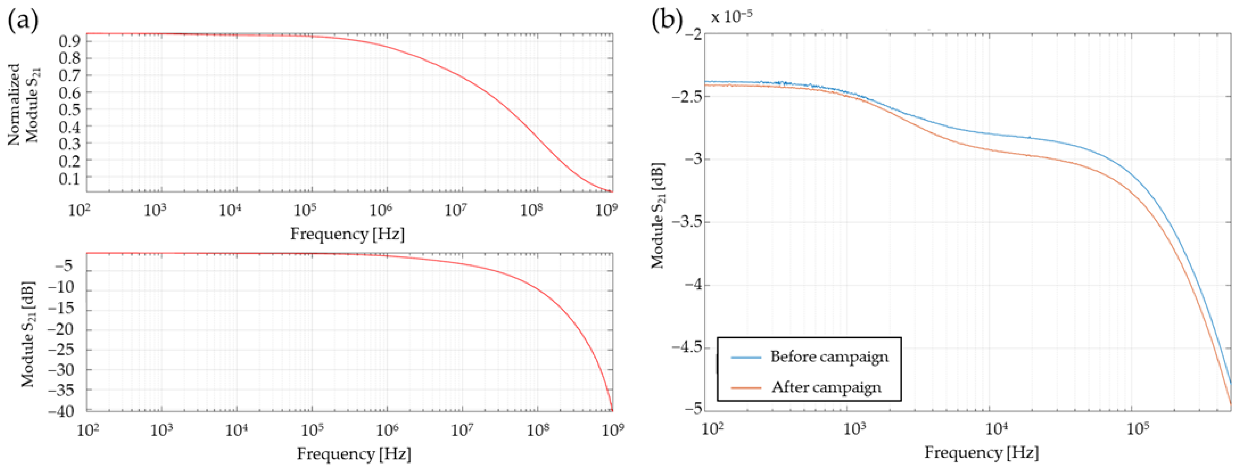
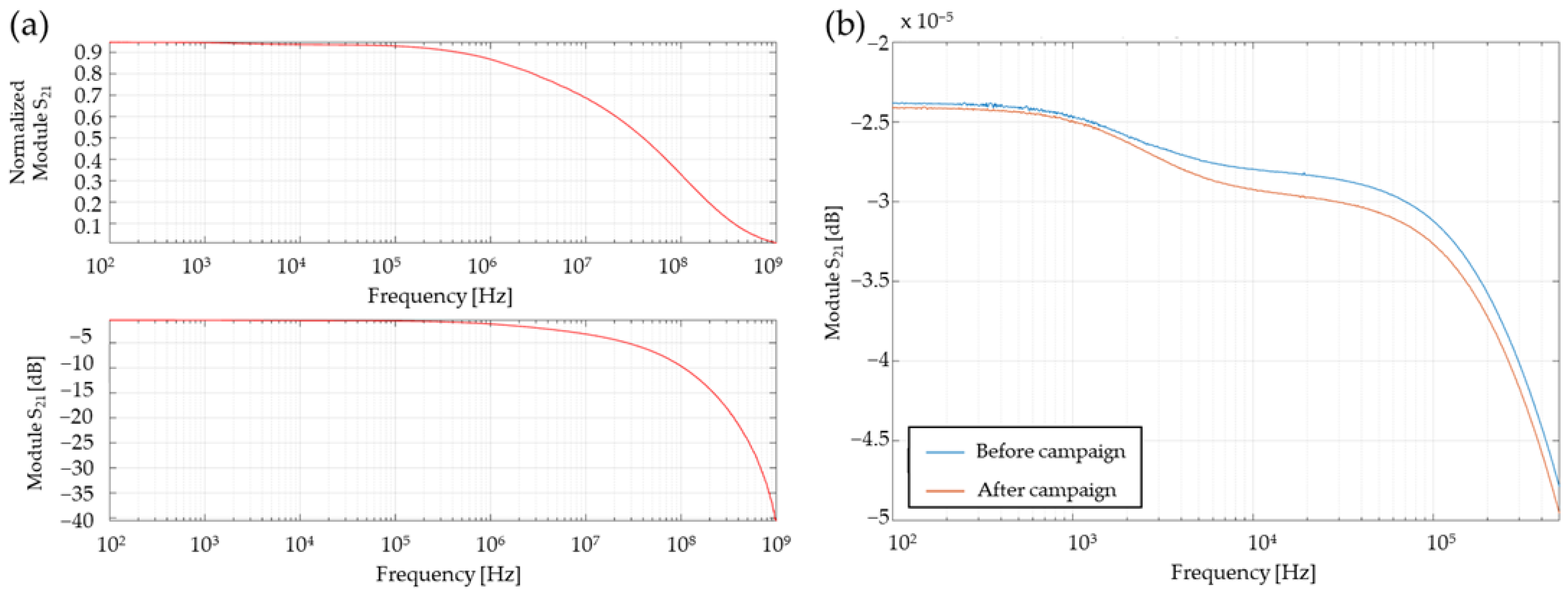
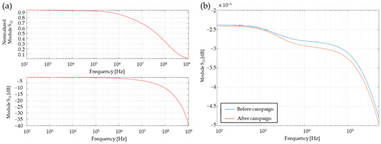
2.4. Transfer Function Determination
- Linearity: given a linear combination of inputs, the LTI system will produce the same linear combination of the corresponding outputs;
- Time-dependency: the LTI system will always give the same output (up to timing) to a certain input, irrespective of when the input was applied;
- Causality: the LTI system depends only on the present and past input values, not on future inputs.
- Select the zone of interest for the temporal signal of the measurement chain.
- Derivate the signal to obtain a finite signal and remove the offset, without deteriorating the information, as presented in Formula (3).
- Calculate the FFT of the signal.
- Select the zone of interest for the signal used as a reference sensor or that will be approximated as an ideal step (P2 for incident solicitation).
- Determine the region of interest of plateau high and low to average the value and create a Heaviside reference input (respecting the Shannon theorem).
- Determine the instant of the transition manually.
- Derivate the signal to remove the offset on the signal, without deteriorating the information, as presented in Formula (3).
- Calculate the FFT of the reference signal.
3. Results
3.1. Benefits of Using an Optimized Pencil Probe: Comparison with Commercial Sensors in Laboratory and Blast Experiments
- in Figure 12b, we observe parasites on the green measurement from the commercial probe visible at the step of the signal, before the arrival of the shock wave on the transducer (for times < 0.4 ms). It is not visible on the probe with the optimized plastic tip. The RMS values of the signals were calculated before the arrival of the shock wave and presented in Table 6: the disappearance of those parasites validates the role of the tapered plastic tip in the attenuation of the acoustic wave propagation.
- Figure 12c focuses on the pressure rise region (red dashed zone). A resonant frequency is more present in the pressure measurement of the commercial probe. The improvement of the two-material custom probe here is validated: it reduces the influence of the acoustic waves within the probe and limits the resonant peak of the transducer. In Table 7, we detail the attenuation ratio of the resonant frequency gain (at 440 kHz) for the four combinations of composition and high explosive weights: the resonant frequency reduction average is approximately 66%. Note that the arrival time detection of the shock wave is smaller (0.363 ms) for the commercial probe, than for the optimized one (0.378 ms): this difference of 15 µs is due to the distance from the charge between the two sensors (2 cm, as presented in Table 4), coherent with an estimated velocity of the shock wave of 1300 m/s.
3.2. Deconvolution Process
4. Discussion and Perspectives
5. Conclusions
Author Contributions
Funding
Institutional Review Board Statement
Informed Consent Statement
Data Availability Statement
Acknowledgments
Conflicts of Interest
References
- Walter, P.L. Air-blast and the science of dynamic pressure measurements. Sound Vib. 2004, 38, 10–17. [Google Scholar]
- Lukić, S.; Draganić, H.; Gazić, G.; Radić, I. Statistical analysis of blast wave decay coefficient and maximum pressure based on experimental results. In Proceedings of the RISK/SAFE 2022, Rome, Italy, 12–14 October 2022; pp. 65–78. [Google Scholar]
- Silver, P.L. Blast Overpressure Measurement for CFD Model Validation in the Development of Large Caliber Gun Systems; U.S. Army Aberdeen Test Center, Ballistics Instrumentation: Aberdeen, MD, USA, 2006. [Google Scholar]
- Showalter, B. Utilization of Pencil Probes in Blast Experiments for the Explosive Effects Branch; DEVCOM Army Research Laboratory: Adelphi, MD, USA, 2020. [Google Scholar]
- Dvořák, P.; Hejmal, Z.; Dubec, B.; Holub, J. Use of Pencil Probes for Blast Pressure Measurement. In Proceedings of the 2021 International Conference on Military Technologies (ICMT), Brno, Czech Republic, 8–11 June 2021; pp. 1–4. [Google Scholar]
- Skriudalen, S.; Skjold, A.; Hugsted, B.; Teland, J.A.; Huseby, M. Misalignment Effects Using Blast Pencil Probes; Norwegian Defense Research Establishment (FFI) report 2013/03017; Norwegian Defence Research Establishment: Kjeller, Norway, 2014. [Google Scholar]
- Draganić, H.; Varevac, D.; Lukić, S. An Overview of Methods for Blast Load Testing and Devices for Pressure Measurement. Adv. Civ. Eng. 2018, 2018, 3780482. [Google Scholar] [CrossRef]
- Kingery, C.N.; Bulmash, G. Airblast Parameters from TNT Spherical Air Burst and Hemispherical Surface Burst; US Army Armament and Development Center, Ballistic Research Laboratory: Adelphi, MD, USA, 1984. [Google Scholar]
- Shin, J.; Whittaker, A.S.; Cormie, D. Incident and Normally Reflected Overpressure and Impulse for Detonations of Spherical High Explosives in Free Air. J. Struct. Eng. 2015, 141, 04015057. [Google Scholar] [CrossRef]
- European Commission Joint Research Centre; Karlos, V.; Larcher, M.; Solomos, G. Analysis of Blast Parameters in the Near-Field for Spherical Free-Air Explosions; Joint Research Center Publications Office: Ispra, Italy, 2016. [Google Scholar]
- Bean, V.E. Dynamic Pressure Metrology. Metrologia 1994, 30, 737. [Google Scholar] [CrossRef]
- Downes, S.; Knott, A.; Robinson, I. Towards a shock tube method for the dynamic calibration of pressure sensors. Philos. Trans. R. Soc. Lond. A Math. Phys. Eng. Sci. 2014, 372, 20130299. [Google Scholar] [CrossRef]
- Persico, G.; Gaetani, P.; Guardone, A. Dynamic calibration of fast-response probes in low-pressure shock tubes. Meas. Sci. Technol. 2005, 16, 1751. [Google Scholar] [CrossRef]
- Zahnd, A.; Lorenzo, R.; Clausen, M.; Hulliger, B.; Seitz, A. Shock tube verification of the factory calibration of pencil probes. In Proceedings of the MABS 24, Halifax, NS, Canada, 19–23 September 2016. [Google Scholar]
- Piezotronics, P. Available online: https://www.pcb.com/ (accessed on 18 May 2023).
- Klaus, L.; Bruns, T.; Volkers, H. Calibration of bridge-, charge- and voltage amplifiers for dynamic measurement applications. Metrologia 2015, 52, 72. [Google Scholar] [CrossRef]
- ENDEVCO. Piezoresistive Pressure Transducters Insutruction Manual; ENDEVCO: Juan Capistrano, CA, USA, 1997. [Google Scholar]
- Guerke, G.H. Evaluation of blast pressure measurements. In Proceedings of the 12th International Symposium Military Aspects of Blast and Shock (MABS), Perpignan, France, 26–20 December 1990. [Google Scholar]
- Lavayssière, M.; Luc, J.; Lefrançois, A. Experimental Studies Around Shock Tube for Dynamic Calibrations of High-Frequency Pressure Transducers. In Proceedings of the 31st International Symposium on Shock Waves 1, Nagoya, Japan, 9–14 July 2017; pp. 319–327. [Google Scholar]
- Duff, R.E. Shock-Tube Performance at Low Initial Pressure. Phys. Fluids 1959, 2, 207–216. [Google Scholar] [CrossRef]
- Hjelmgren, J. Dynamic Measurement of Pressure: A Literature Survey; Foreign Technology Volume 200405; Swedish National Testing and Research Institute: Boras, Sweden, 2003. [Google Scholar]
- Sarraf, C.; Damion, J.-P. Dynamic pressure sensitivity determination with Mach number method. Meas. Sci. Technol. 2018, 29, 054006. [Google Scholar] [CrossRef]
- Kinney, G. Engineering Elements of Explosions; Naval Weapons Center: China Lake, CA, USA, 1968. [Google Scholar]
- Skotak, M.; Alay, E.; Chandra, N. On the Accurate Determination of Shock Wave Time-Pressure Profile in the Experimental Models of Blast-Induced Neurotrauma. Front. Neurol. 2018, 9, 52. [Google Scholar] [CrossRef] [PubMed]
- Eichstädt, S.; Elster, C.; Esward, T.J.; Hessling, J.P. Deconvolution filters for the analysis of dynamic measurement processes: A tutorial. Metrologia 2010, 47, 522. [Google Scholar] [CrossRef]
- Elster, C.; Link, A. Uncertainty evaluation for dynamic measurements modelled by a linear time-invariant system. Metrologia 2008, 45, 464. [Google Scholar] [CrossRef]
- Eichstadt, S.; Wilkens, V.; Dienstfrey, A.; Hale, P.; Hughes, B.; Jarvis, C. On challenges in the uncertainty evaluation for time-dependent measurements. Metrologia 2016, 53, S125. [Google Scholar] [CrossRef]
- Matthews, C.; Pennecchi, F.; Eichstädt, S.; Malengo, A.; Esward, T.; Smith, I.; Elster, C.; Knott, A.; Arrhén, F.; Lakka, A. Mathematical modelling to support traceable dynamic calibration of pressure sensors. Metrologia 2014, 51, 326–338. [Google Scholar] [CrossRef]
- Ismail, M.M.; Murray, S.G. Study of the Blast Wave Parameters from Small Scale Explosions. Propellants Explos. Pyrotech. 1993, 18, 11–17. [Google Scholar] [CrossRef]
- Rigby, S.; Tyas, A.; Fay, S.; Clarke, S.; Warren, J. Validation of semi-empirical blast pressure predictions for far field explosions—Is there inherent variability in blast wave parameters? In Proceedings of the 6th International Conference on Protection of Structures against Hazards, Tianjin, China, 16–17 October 2014. [Google Scholar]
- Baker, W.E. Explosions in Air; University of Texas Press: Austin, TX, USA, 1973; Volume 1. [Google Scholar]
- Chalnot, M.; Pons, P.; Aubert, H. Frequency Bandwidth of Pressure Sensors Dedicated to Blast Experiments. Sensors 2022, 22, 3790. [Google Scholar] [CrossRef]
- Eichstadt, S.; Makarava, N.; Elster, C. On the evaluation of uncertainties for state estimation with the Kalman filter. Meas. Sci. Technol. 2016, 27, 125009. [Google Scholar] [CrossRef]
- Amer, E.; Jönsson, G.; Arrhén, F. Towards traceable dynamic pressure calibration using a shock tube with an optical probe for accurate phase determination. Metrologia 2022, 59, 035001. [Google Scholar] [CrossRef]
- Yao, Z.; Li, Y.; Ding, Y.; Wang, C.; Yao, L.; Song, J. Improved shock tube method for dynamic calibration of the sensitivity characteristic of piezoresistive pressure sensors. Measurement 2022, 196, 111271. [Google Scholar] [CrossRef]
- Sarraf, C.; Damion, J.P. Method for Dynamic Calibration of Pressure Sensors in Gazeous Media; Research Gate: Berlin, Germany, 2021. [Google Scholar]
















| Reference | Serial Number | Pencil Probe | Tip | Distance Tip-Sensor [mm] | Resonant Frequency | |
|---|---|---|---|---|---|---|
| 1 sensing element | 137A22 | 4392 | Optimized | Plastic | 259 | ≥500 kHz |
| 137A22 | 4392 | Optimized | Plastic | 157 | ≥500 kHz | |
| 137A22 | 4721 | Commercial | Metal | 157 | ≥500 kHz | |
| 2 sensing elements | 137B27 | 15134-R | Commercial | Metal | 259 (from rear sensing element) | ≥400 kHz |
| 137B28 | 14736-R | Commercial | Metal | 259 (from rear element) | ≥400 kHz | |
| 137B28 | 14736-F | Commercial | Metal | 157 (from front sensing element) | ≥400 kHz |
| 137A22 4392 Long Tip | 137A22 4392 Short Tip | 137A22 4721 | 137B27 15134 | 137B28 14736 | ||
|---|---|---|---|---|---|---|
| Free-field experiments | Low-noise cable before conditioner [m] | 4 | 4 | 4 | 4 | 4 |
| KX15 cable before conditioner [m] | 15 | 15 | 15 | 15 | 15 | |
| KX15 cable after conditioner [m] | 54 | 54 | 54 | 54 | 54 | |
| Laboratory | Low-noise cable before conditioner [m] | 3 | 3 | 3 | 3 | - |
| KX15 cable after conditioner [m] | 20 | 20 | 20 | 20 | - |
| Reference | HMX/Binder Weight Ratio | Low Mass [kg] | High Mass [kg] |
|---|---|---|---|
| Composition 1 | 88%/12% | 1.639 | 2.459 |
| Composition 2 | 86%/14% | 1.643 | 2.466 |
| Reference | Pencil Probe Configuration | Serial Number | Distance from Charge Center [m] | Color in Graphs | Measurement Range [bar] |
|---|---|---|---|---|---|
| 137B28 Front | Commercial | 14736-F | 0.45 | Grey | 70 |
| 137B28 Rear | Commercial | 14736-R | 0.55 | Black | 70 |
| 137B27 Rear | Commercial | 15134-R | 1.01 | Green | 35 |
| 137A22 | Optimized | 4392 | 1.03 | Blue | 35 |
| 137A22 | Commercial | 4721 | 1.29 | Red | 35 |
| Reference | Z for Comp. 1 of 1.639 kg and Comp. 2 of 1.643 kg [m.kg−1/3] | Z for Comp. 1 of 2.459 kg and Comp. 2 of 2.466 kg [m.kg−1/3] |
|---|---|---|
| 137B28 Front | 0.38 | 0.33 |
| 137B28 Rear | 0.46 | 0.41 |
| 137B27 Rear | 0.86 | 0.75 |
| 137A22 optimized | 0.88 | 0.77 |
| 137A22 | 1.09 | 0.95 |
| Composition–Mass | Commercial Probe RMS [bar] | Optimized Probe RMS [bar] |
|---|---|---|
| 1–1.639 kg | 0.05 | 0.01 |
| 2–1.643 kg | 0.07 | 0.02 |
| 1–2.459 kg | 0.08 | 0.01 |
| 2–2.466 kg | 0.27 | 0.01 |
| HE Composition | HE Weight [kg] | Resonant Frequency Attenuation Factor at 440 kHz |
|---|---|---|
| 1 | 1.639 kg | 42.9% |
| 2 | 1.643 kg | 72.7% |
| 1 | 2.459 kg | 75.0% |
| 2 | 2.466 kg | 73.7% |
Disclaimer/Publisher’s Note: The statements, opinions and data contained in all publications are solely those of the individual author(s) and contributor(s) and not of MDPI and/or the editor(s). MDPI and/or the editor(s) disclaim responsibility for any injury to people or property resulting from any ideas, methods, instructions or products referred to in the content. |
© 2023 by the authors. Licensee MDPI, Basel, Switzerland. This article is an open access article distributed under the terms and conditions of the Creative Commons Attribution (CC BY) license (https://creativecommons.org/licenses/by/4.0/).
Share and Cite
Lavayssière, M.; Lefrançois, A.; Crabos, B.; Genetier, M.; Daudy, M.; Comte, S.; Dufourmentel, A.; Salsac, B.; Sol, F.; Verdier, P.; et al. Toward Improvements in Pressure Measurements for Near Free-Field Blast Experiments. Sensors 2023, 23, 5635. https://doi.org/10.3390/s23125635
Lavayssière M, Lefrançois A, Crabos B, Genetier M, Daudy M, Comte S, Dufourmentel A, Salsac B, Sol F, Verdier P, et al. Toward Improvements in Pressure Measurements for Near Free-Field Blast Experiments. Sensors. 2023; 23(12):5635. https://doi.org/10.3390/s23125635
Chicago/Turabian StyleLavayssière, Maylis, Alexandre Lefrançois, Bernard Crabos, Marc Genetier, Maxime Daudy, Sacha Comte, Alan Dufourmentel, Bruno Salsac, Frédéric Sol, Pascal Verdier, and et al. 2023. "Toward Improvements in Pressure Measurements for Near Free-Field Blast Experiments" Sensors 23, no. 12: 5635. https://doi.org/10.3390/s23125635
APA StyleLavayssière, M., Lefrançois, A., Crabos, B., Genetier, M., Daudy, M., Comte, S., Dufourmentel, A., Salsac, B., Sol, F., Verdier, P., & Pons, P. (2023). Toward Improvements in Pressure Measurements for Near Free-Field Blast Experiments. Sensors, 23(12), 5635. https://doi.org/10.3390/s23125635

