Estimating Thoracic Movement with High-Sampling Rate THz Technology
Abstract
1. Introduction
2. Materials and Methods
2.1. THz System
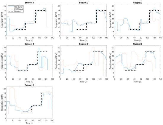
2.2. Measurement Protocol
- Breath hold for 20 s (or until uncomfortable);
- Controlled breathing at 9 breaths per minute for 30 s;
- Controlled breathing at 12 breaths per minute for 30 s;
- Controlled breathing at 18 breaths per minute for 30 s;
- Resume normal breathing.
2.3. THz Signal Processing
2.4. ECG Signal Processing
3. Results and Discussion
4. Conclusions
Author Contributions
Funding
Institutional Review Board Statement
Informed Consent Statement
Data Availability Statement
Acknowledgments
Conflicts of Interest
Abbreviations
| BPM | Breaths per minute |
| ECG | Electrocardiogram |
| EDR | ECG-derived respiration |
| GHz | Gigahertz |
| RMSE | Root mean square error |
| SD | Standard deviation |
| THz | Terahertz |
References
- Vector Network Analyzer Extension Modules (VNAX), Virginia Diodes, Inc. Available online: https://vadiodes.com/en/products/vector-network-analyzer-extension-modules (accessed on 30 May 2023).
- Nandi, U.; Scheer, M.; Lu, H.; Norman, J.C.; Gossard, A.C.; Preu, S. Bias-Dependent Carrier Dynamics and Terahertz Performance of ErAs: In(Al)GaAs Photoconductors. IEEE Trans. Terahertz Sci. Technol. 2022, 12, 353–362. [Google Scholar] [CrossRef]
- Deumer, M.; Breuer, S.; Kohlhaas, R.; Nellen, S.; Liebermeister, L.; Lauck, S.; Schell, M.; Globisch, B. Continuous wave terahertz receivers with 4.5 THz bandwidth and 112 dB dynamic range. Opt. Express 2021, 29, 41819–41826. [Google Scholar] [CrossRef]
- Lu, P.K.; Turan, D.; Jarrahi, M. High-sensitivity telecommunication-compatible photoconductive terahertz detection through carrier transit time reduction. Opt. Express 2020, 28, 26324–26335. [Google Scholar] [CrossRef] [PubMed]
- Ketelsen, H.; Mästle, R.; Liebermeister, L.; Kohlhaas, R.; Globisch, B. THz Time-Domain Ellipsometer for Material Characterization and Paint Quality Control with More Than 5 THz Bandwidth. Appl. Sci. 2022, 12, 3744. [Google Scholar] [CrossRef]
- Ellrich, F.; Bauer, M.; Schreiner, N.; Keil, A.; Pfeiffer, T.; Klier, J.; Weber, S.; Jonuscheit, J.; Friederich, F.; Molter, D. Terahertz Quality Inspection for Automotive and Aviation Industries. J. Infrared Millim. Terahertz Waves 2020, 41, 470–489. [Google Scholar] [CrossRef]
- Krimi, S.; Klier, J.; Jonuscheit, J.; von Freymann, G.; Urbansky, R.; Beigang, R. Highly accurate thickness measurement of multi-layered automotive paints using terahertz technology. Appl. Phys. Lett. 2016, 109, 021105. [Google Scholar] [CrossRef]
- Taday, P.F.; Pepper, M.; Arnone, D.D. Selected Applications of Terahertz Pulses in Medicine and Industry. Appl. Sci. 2022, 12, 6169. [Google Scholar] [CrossRef]
- Kawase, K.; Ogawa, Y.; Watanabe, Y.; Inoue, H. Non-destructive terahertz imaging of illicit drugs using spectral fingerprints. Opt. Express 2003, 11, 2549–2554. [Google Scholar] [CrossRef] [PubMed]
- Klier, J.; Kharik, D.; Zwetow, W.; Gundacker, D.; Weber, S.; Molter, D.; Ellrich, F.; Jonuscheit, J.; von Freymann, G. Four-channel terahertz time-domain spectroscopy system for industrial pipe inspection. In Proceedings of the 2018 43rd International Conference on Infrared, Millimeter, and Terahertz Waves (IRMMW-THz), Nagoya, Japan, 9–14 September 2018; IEEE: Piscataway, NJ, USA, 2018; pp. 1–2. [Google Scholar] [CrossRef]
- Wang, T.; Zhang, D.; Wang, L.; Zheng, Y.; Gu, T.; Dorizzi, B.; Zhou, X. Contactless Respiration Monitoring Using Ultrasound Signal With Off-the-Shelf Audio Devices. IEEE Internet Things J. 2019, 6, 2959–2973. [Google Scholar] [CrossRef]
- Brüser, C.; Hoog Antink, C.; Wartzek, T.; Walter, M.; Leonhardt, S. Ambient and unobtrusive cardiorespiratory monitoring techniques. IEEE Rev. Biomed. Eng. 2015, 8, 30–43. [Google Scholar] [CrossRef] [PubMed]
- Caro, C.; Bloice, J. Contactless apnœa detector based on radar. Lancet 1971, 298, 959–961. [Google Scholar] [CrossRef] [PubMed]
- Vinci, G.; Lindner, S.; Barbon, F.; Hofmann, M.; Fischer, G.; Kissinger, D.; Kölpin, A. 24 GHz six-port medical radar for contactless respiration detection and heartbeat monitoring. In Proceedings of the 2012 9th European Radar Conference, Amsterdam, The Netherlands, 31 October–2 November 2012; IEEE: Piscataway, NJ, USA, 2012; pp. 75–78. [Google Scholar]
- Ingar Romero, A.; Mukherjee, A.K.; Fernandez Olvera, A.; Méndez Aller, M.; Preu, S. Visualizing nanometric structures with sub-millimeter waves. Nat. Commun. 2021, 12, 7091. [Google Scholar] [CrossRef] [PubMed]
- Liebermeister, L.; Nellen, S.; Kohlhaas, R.B.; Lauck, S.; Deumer, M.; Breuer, S.; Schell, M.; Globisch, B. Optoelectronic frequency-modulated continuous-wave terahertz spectroscopy with 4 THz bandwidth. Nat. Commun. 2021, 12, 1071. [Google Scholar] [CrossRef] [PubMed]
- Goldhill, D.R.; McNarry, A.F. Physiological abnormalities in early warning scores are related to mortality in adult inpatients†. Br. J. Anaesth. 2004, 92, 882–884. [Google Scholar] [CrossRef] [PubMed]
- Hill, A.; Kelly, E.; Horswill, M.S.; Watson, M.O. The effects of awareness and count duration on adult respiratory rate measurements: An experimental study. J. Clin. Nurs. 2018, 27, 546–554. [Google Scholar] [CrossRef] [PubMed]
- Choi, J.H.; Kang, K.B.; Kim, K.T. Remote Respiration Monitoring of Moving Person Using Radio Signals. In Proceedings of the Computer Vision—ECCV 2022, Tel Aviv, Israel, 23–27 October 2022; Lecture Notes in Computer Science. Avidan, S., Brostow, G., Cissé, M., Farinella, G.M., Hassner, T., Eds.; Springer Nature: Cham, Switzerland, 2022; pp. 253–270. [Google Scholar] [CrossRef]
- Massaroni, C.; Nicolò, A.; Schena, E.; Sacchetti, M. Remote Respiratory Monitoring in the Time of COVID-19. Front. Physiol. 2020, 11, 635. [Google Scholar] [CrossRef] [PubMed]
- Molinaro, N.; Schena, E.; Silvestri, S.; Massaroni, C. Multi-ROI Spectral Approach for the Continuous Remote Cardio-Respiratory Monitoring from Mobile Device Built-In Cameras. Sensors 2022, 22, 2539. [Google Scholar] [CrossRef] [PubMed]
- de Chazal, P.; O’Hare, E.; Fox, N.; Heneghan, C. Assessment of sleep/wake patterns using a non-contact biomotion sensor. In Proceedings of the 2008 30th Annual International Conference of the IEEE Engineering in Medicine and Biology Society, Vancouver, BC, Canada, 20–24 August 2008; pp. 514–517, ISSN: 1558-4615. [Google Scholar] [CrossRef]
- Moody, G.B.; Mark, R.G.; Bump, M.A.; Weinstein, J.S.; Berman, A.D.; Mietus, J.E.; Goldberger, A.L. Clinical validation of the ECG-derived respiration (EDR) technique. Comput. Cardiol. 1986, 13, 507–510. [Google Scholar]
- Daubechies, I.; Lu, J.; Wu, H.T. Synchrosqueezed wavelet transforms: An empirical mode decomposition-like tool. Appl. Comput. Harmon. Anal. 2011, 30, 243–261. [Google Scholar] [CrossRef]
- Petkie, D.T.; Bryan, E.; Benton, C.; Phelps, C.; Yoakum, J.; Rogers, M.; Reed, A. Remote respiration and heart rate monitoring with millimeter-wave/terahertz radars. In Proceedings of the Millimetre Wave and Terahertz Sensors and Technology, Cardiff, UK, 17–18 September 2008; Volume 7117, pp. 129–134. [Google Scholar]
- Rong, Y.; Theofanopoulos, P.C.; Trichopoulos, G.C.; Bliss, D.W. A new principle of pulse detection based on terahertz wave plethysmography. Sci. Rep. 2022, 12, 6347. [Google Scholar] [CrossRef] [PubMed]






| Subject ID | 1 | 2 | 3 | 4 | 5 | 6 | 7 | Mean | sd |
|---|---|---|---|---|---|---|---|---|---|
| RMSE (BPM) | 0.99 | 1.68 | 0.90 | 2.67 | 1.51 | 0.99 | 1.10 | 1.40 | 0.63 |
Disclaimer/Publisher’s Note: The statements, opinions and data contained in all publications are solely those of the individual author(s) and contributor(s) and not of MDPI and/or the editor(s). MDPI and/or the editor(s) disclaim responsibility for any injury to people or property resulting from any ideas, methods, instructions or products referred to in the content. |
© 2023 by the authors. Licensee MDPI, Basel, Switzerland. This article is an open access article distributed under the terms and conditions of the Creative Commons Attribution (CC BY) license (https://creativecommons.org/licenses/by/4.0/).
Share and Cite
Hoog Antink, C.; Schulz, R.; Rohr, M.; Wenzel, K.; Liebermeister, L.; Kohlhaas, R.; Preu, S. Estimating Thoracic Movement with High-Sampling Rate THz Technology. Sensors 2023, 23, 5233. https://doi.org/10.3390/s23115233
Hoog Antink C, Schulz R, Rohr M, Wenzel K, Liebermeister L, Kohlhaas R, Preu S. Estimating Thoracic Movement with High-Sampling Rate THz Technology. Sensors. 2023; 23(11):5233. https://doi.org/10.3390/s23115233
Chicago/Turabian StyleHoog Antink, Christoph, Romina Schulz, Maurice Rohr, Konstantin Wenzel, Lars Liebermeister, Robert Kohlhaas, and Sascha Preu. 2023. "Estimating Thoracic Movement with High-Sampling Rate THz Technology" Sensors 23, no. 11: 5233. https://doi.org/10.3390/s23115233
APA StyleHoog Antink, C., Schulz, R., Rohr, M., Wenzel, K., Liebermeister, L., Kohlhaas, R., & Preu, S. (2023). Estimating Thoracic Movement with High-Sampling Rate THz Technology. Sensors, 23(11), 5233. https://doi.org/10.3390/s23115233

