Absorbing Material of Button Antenna with Directional Radiation of High Gain for P2V Communication
Abstract
1. Introduction
2. Configuration
3. The Design and Analysis of Absorption Surface of the Button Antenna
4. The Radiation Direction of Button Antenna Is Improved by the CRO Metamaterial
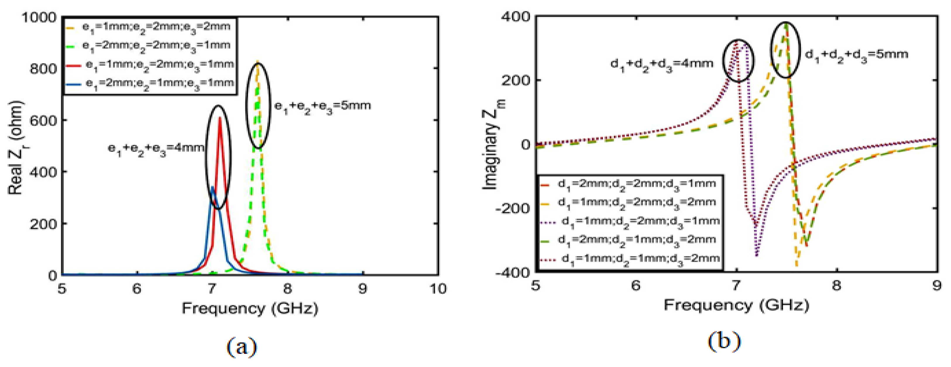
4.1. The Relationship between Q and D Is Analyzed According to the Equivalent Circuit Theory of Patch Antenna
4.2. The Quality Factor Q of CRO Antenna Is Analyzed by an Equivalent Circuit
5. Analysis of Gain of the CRW Structure of Button Antenna by Quality Factor Q
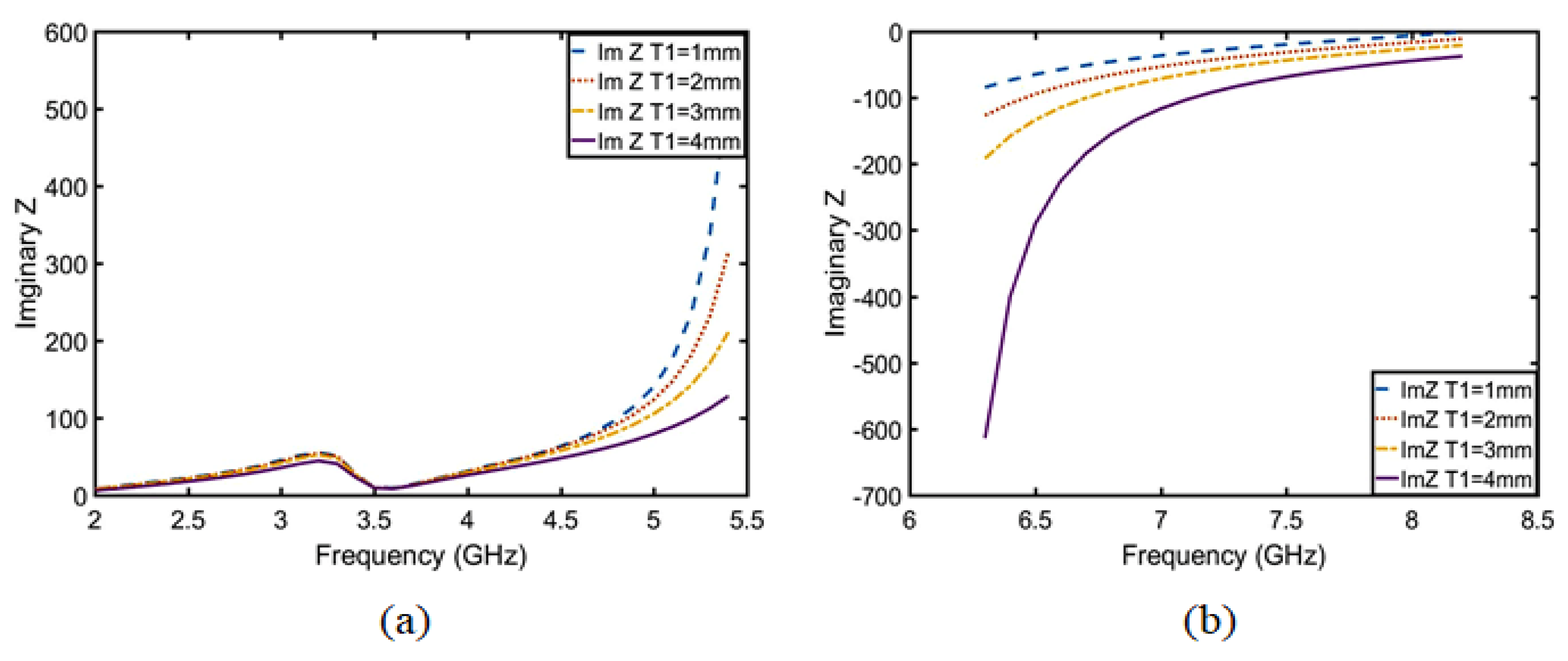
5.1. Analysis of Real and Imaginary Parts of Impedance with the Addition of T1
- (1)
- (2)
- (3)
5.2. Final Result Analysis
6. Measured and Simulated Results
6.1. Specific Absorption Rate (SAR) and Absorptivity Property Analysis
6.2. Analysis of S-Parameters, Efficiency, and Radiation Pattern on the Body, Free Space and Textile
7. Conclusions
Author Contributions
Funding
Institutional Review Board Statement
Informed Consent Statement
Data Availability Statement
Conflicts of Interest
References
- Wu, Q.; Zhao, Y.; Fan, Q. Time-Dependent Performance Modeling for Platooning Communications at Intersection. IEEE Internet Things J. 2022, 9, 18500–18513. [Google Scholar] [CrossRef]
- Wu, Q.; Zheng, J. Performance Modeling and Analysis of IEEE 802.11 DCF Based Fair Channel Access for Vehicle-to-Roadside Communication in a Non-Saturated State. Wirel. Netw. 2014, 21, 1–11. [Google Scholar] [CrossRef]
- Wang, K.; Yu, F.R.; Wang, L.; Li, J.; Zhao, N.; Guan, Q.; Li, B.; Wu, Q. Interference Alignment With Adaptive Power Allocation in Full-Duplex-Enabled Small Cell Networks. IEEE Trans. Veh. Technol. 2019, 68, 3010–3015. [Google Scholar] [CrossRef]
- Wu, Q.; Shi, S.; Wan, Z.; Fan, Q.; Fan, P.; Zhang, C. Towards V2I Age-aware Fairness Access: A DQN Based Intelligent Vehicular Node Training and Test Method. Chin. J. Electron. 2022, 46, 90–93. [Google Scholar]
- Wu, Q.; Zhao, Y.; Fan, Q.; Fan, P.; Wang, J.; Zhang, C. Mobility-Aware Cooperative Caching in Vehicular Edge Computing Based on Asynchronous Federatedand Deep Reinforcement Learning. IEEE J. Sel. Top. Signal Process. 2022, 17, 66–81. [Google Scholar] [CrossRef]
- Wu, Q.; Wang, X.; Fan, Q.; Fan, P.; Zhang, C.; Li, Z. High Stable and Accurate Vehicle Selection Scheme based on Federated Edge Learning in Vehicular Networks. China Commun. 2023, 20, 1–17. [Google Scholar] [CrossRef]
- Wu, Q.; Ge, H.; Fan, P.; Wang, J.; Fan, Q.; Li, Z. Time-Dependent Performance Analysis of the 802.11 p-Based Platooning Communications Under Disturbance. IEEE Trans. Veh. Technol. 2020, 69, 15760–15773. [Google Scholar] [CrossRef]
- Wu, Q.; Liu, H.; Zhang, C.; Fan, Q.; Li, Z.; Wang, K. Trajectory Protection Schemes Based on a Gravity Mobility Model in IoT. Electronics 2019, 8, 148. [Google Scholar] [CrossRef]
- Wu, Q.; Xia, S.; Fan, P.; Fan, Q.; Li, Z. Velocity-Adaptive V2I Fair-Access Scheme Based on IEEE 802.11 DCF for Platooning Vehicles. Sensors 2018, 18, 4198. [Google Scholar] [CrossRef]
- Wu, Q.; Zheng, J. Performance Modeling of IEEE 802.11 DCF Based Fair Channel Access for Vehicular-to-Roadside Communication in a Non-Saturated State. In Proceedings of the 2014 IEEE International Conference on Communications March, Sydney, NSW, Australia, 10–14 June 2014; pp. 10–14. [Google Scholar]
- Wu, Q.; Zheng, J. Performance Modeling and Analysis of the ADHOC MAC Protocol for Vehicular Networks. Wirel. Netw. 2016, 22, 799–812. [Google Scholar] [CrossRef]
- Wu, Q.; Zheng, J. Performance modeling and analysis of the ADHOC MAC protocol for VANETs. In Proceedings of the 2015 IEEE International Conference on Communications (ICC), London, UK, 8–12 June 2015; pp. 3646–3652. [Google Scholar]
- Long, D.; Wu, Q.; Fan, Q.; Fan, P.; Li, Z.; Fan, J. A Power Allocation Scheme for MIMO-NOMA and D2D Vehicular Edge Computing Based on Decentralized DRL. Sensors 2023, 23, 3449. [Google Scholar] [CrossRef]
- Jing, F.; Wu, Q.; Hao, J.F. Optimal deployment of wireless mesh sensor networks based on Delaunay triangulations. In Proceedings of the 2010 International Conference on Information, Networking and Automation (ICINA), Kunming, China, 18–19 October 2010; pp. 23–28. [Google Scholar]
- Fan, J.; Yin, S.T.; Wu, Q.; Gao, F. Study on Refined Deployment of Wireless Mesh Sensor Network. In Proceedings of the 2010 6th International Conference on Wireless Communications Networking and Mobile Computing (WiCOM), Chengdu, China, 23–25 September 2010; pp. 1–5. [Google Scholar]
- Duraj, D.; Rzymowski, M.; Nyka, K.; Kulas, L. Espar antenna for v2x applications in 802.11 p frequency band. In Proceedings of the 2019 13th European Conference on Antennas and Propagation (EuCAP), Krakow, Poland, 31 March–5 April 2019; pp. 1–4. [Google Scholar]
- Maliatsos, K.; Marantis, L.; Bithas, P.S.; Kanatas, A.G. Hybrid multi-antenna techniques for v2x communications prototyping and experimentation. Multidiscip. Digit. Publ. Inst. 2020, 1, 80–95. [Google Scholar] [CrossRef]
- Foysal, M.F.; Mahmud, S.; Baki, A. A novel high gain array antenna design for autonomous vehicles of 6g wireless systems. In Proceedings of the 2021 International Conference on Green Energy, Computing and Sustainable Technology (GECOST), Miri, Malaysia, 7–9 July 2021; pp. 1–5. [Google Scholar]
- Xiaomu, H.; Yan, S.; Vandenbosch, G.A.E. Wearable Button Antenna for Dual-Band WLAN Applications with Combined on and off-Body Radiation Patterns. IEEE Trans. Antennas Propag. 2017, 65, 1384–1387. [Google Scholar] [CrossRef]
- Yin, X.; Chen, S.J.; Fumeaux, C. Wearable Dual-Band Dual-Polarization Button Antenna for WBAN Applications. IEEE Antennas Wirel. Propag. Lett. 2020, 19, 2240–2244. [Google Scholar] [CrossRef]
- Sambandam, P.; Kanagasabai, M.; Natarajan, R.; Alsath, M.G.N.; Palaniswamy, S. Miniaturized Button-Like WBAN Antenna for Off-Body Communication. IEEE Trans. Antennas Propag. 2020, 68, 5228–5235. [Google Scholar] [CrossRef]
- Hu, X.; Yan, S.; Zhang, J.; Volski, V.; Vandenbosch, G.A.E. Omni-Directional Circularly Polarized Button Antenna for 5 GHz WBAN Applications. IEEE Trans. Antennas Propag. 2022, 69, 5054–5059. [Google Scholar] [CrossRef]
- Saeidi, T.; Karamzadeh, S. A miniaturized multi-frequency wide-band leaky wave button antenna for ISM/5G communications and WBAN applications. Radio Sci. 2023, 58, 1–18. [Google Scholar] [CrossRef]
- Le, T.T.; Kim, Y.-D.; Yun, T.-Y. Wearable Pattern-Diversity Dual-Polarized Button Antenna for Versatile On-/Off-Body Communications. IEEE Access 2022, 10, 98700–98711. [Google Scholar] [CrossRef]
- Dang, Q.H.; Chen, S.J.; Zhu, B.; Fumeaux, C. Shorting Strategies for Wearable Textile Antennas: A review of four shorting methods. IEEE Antennas Propag. Mag. 2022, 64, 84–98. [Google Scholar] [CrossRef]
- Ali, S.M.; Sovuthy, C.; Noghanian, S.; Abbasi, Q.H.; Asenova, T.; Derleth, P.; Casson, A.; Arslan, T.; Hussain, A. Low-profile Button Sensor Antenna Design for Wireless Medical Body Area Networks. In Proceedings of the Annual International Conference of the IEEE Engineering in Medicine & Biology Society (EMBC), Glasgow, UK, 11–15 July 2022; pp. 4618–4621. [Google Scholar]
- Dang, Q.H.; Chen, S.J.; Fumeaux, C. Modular Wearable Textile Antenna with Pattern-Interchangeability using Snap-on Buttons. In Proceedings of the International Symposium on Antennas and Propagation (ISAP), Sydney, Australia, 31 October–3 November 2022; pp. 7–8. [Google Scholar]
- Mersani, A.; Ribero, J.-M.; Osman, L. Small Button Antenna for Wearable applications. In Proceedings of the International Conference on Microelectronics (ICM), Casablanca, Morocco, 4–7 December 2022; pp. 78–81. [Google Scholar]
- Hu, X.; Yan, S.; Vandenbosch, G.A.E. Compact Circularly Polarized Wearable Button Antenna with Broadside Pattern for U-NII Worldwide Band Applications. IEEE Trans. Antennas Propag. 2018, 67, 1341–1345. [Google Scholar] [CrossRef]
- Coelho, C.A.T.; da Silva, M.W.B.; Magri, V.P.R.; de Matos, L.J. Application of thin dual-band electromagnetic absorbers to reduce the radar cross section of a microstrip patch antenna. In Proceedings of the 2020 IEEE MTT-S Latin America Microwave Conference (LAMC 2020), Cali, Colombia, 26–28 May 2021; pp. 1–4. [Google Scholar]
- Chen, Z.; Shen, Z. Dual-Polarized Angle-Selective Surface Based on Three-Layer Frequency Selective Surfaces. In Proceedings of the 2022 IEEE International Symposium on Antennas and Propagation and USNC-URSI Radio Science Meeting (AP-S/URSI), Denver, CO, USA, 10–15 July 2022; pp. 910–911. [Google Scholar]
- Deshmukh, R.; Marathe, D.; Kulat, K.D. Microstrip Patch Antenna Gain Enhancement using Near-zero Index Metamaterial Superstrate (NZIM Lens). In Proceedings of the 2019 10th International Conference on Computing, Communication and Networking Technologies, Kanpur, India, 6–8 July 2019; pp. 124–127. [Google Scholar]
- Garg, P.; Jain, P. Isolation Improvement of MIMO Antenna Using a Novel Flower Shaped Metamaterial Absorber at 5.5 GHz WiMAX Band. IEEE Trans. Circuits Syst. II Express Briefs 2020, 4, 675–679. [Google Scholar] [CrossRef]
- Xu, S.; Wang, Y.; Zhou, Q.; Cheng, L.; Cao, P.; Dou, J. A four-band wide-angle metamaterial absorber at microwave frequency. In Proceedings of the 2017 Sixth Asia-Pacific Conference on Antennas and Propagation (APCAP), Xi’an, China, 16–19 October 2017; pp. 1–3. [Google Scholar]
- Luo, J.; Lai, Y. Photonic-doped Zero-index Media as Coherent Perfect Absorbers. In Proceedings of the 2018 Cross Strait Quad-Regional Radio Science and Wireless Technology Conference (CSQRWC), Xuzhou, China, 21–24 July 2018; pp. 1–2. [Google Scholar]
- Luo, J.; Lu, W.; Hang, Z.; Chen, H.; Hou, B.; Lai, Y.; Chan, C.T. Arbitrary Control of Electromagnetic Flux in Inhomogeneous Anisotropic Media with Near-Zero Index. Phys. Rev. Lett. 2014, 112, 073903. [Google Scholar] [CrossRef] [PubMed]
- Virushabadoss, N.; Henderson, R. Quality Factor of an Electrically Small Planar Slot Antenna with Different Matching Networks. In Proceedings of the 2019 IEEE Texas Symposium on Wireless and Microwave Circuits and Systems (WMCS), Waco, TX, USA, 28–29 March 2019; pp. 1–4. [Google Scholar]
- Kaya, T.; Nesimoglu, T. Broadband Impedance Transformation by Defected Dielectric on Microstrip Lines. In Proceedings of the 2018 18th Mediterranean Microwave Symposium (MMS), Istanbul, Turkey, 31 October–2 November 2018; pp. 175–178. [Google Scholar]
- Musa, S.M.; Sadiku, M.N.O.; Momoh, O.D. Finite element method for calculating capacitance and inductance of symmetrical coupled microstrip lines. In Proceedings of the 2012 Proceedings of IEEE Southeastcon, Orlando, FL, USA, 15–18 March 2012; pp. 1–4. [Google Scholar]
- Vestenický, P. Analysis of Parasitic and Loss Elements Influence on RFID Loop Antenna Quality Factor. In Proceedings of the 2020 Cybernetics & Informatics (K&I), Velke Karlovice, Czech Republic, 29 January–1 February 2020; pp. 1–4. [Google Scholar]
- Fu, S.; Zhao, X.; Li, C.; Wang, Z. Dual-band and omnidirectional miniaturized planar composite dipole antenna for WLAN applications. Int. J. Microw. Comput.-Aided Eng. 2021, 31, 22863. [Google Scholar] [CrossRef]
- Fu, S.; Xiong, A.; Chen, W.; Fang, S. A compact planar Moxon-Yagi composite antenna with end-fire radiation for dual-band applications. Microw. Opt. Technol. Lett. 2022, 62, 2328–2334. [Google Scholar] [CrossRef]
- Fu, S.; Kong, Q.; Fang, S.; Wang, Z. Broadband Circularly Polarized Microstrip Antenna with Coplanar Parasitic Ring Slot Patch for L-Band Satellite System Application. IEEE Antennas Wirel. Propag. Lett. 2014, 13, 943–946. [Google Scholar]
- Fu, S.; Kong, Q.; Li, C. New design of helical antenna array for L-band land mobile satellite communications. In Proceedings of the 2014 3rd Asia-Pacific Conference on Antennas and Propagation, Harbin, China, 26–29 July 2014; pp. 37–39. [Google Scholar]
- Fu, S.; Kong, Q.; Fang, S.J.; Wang, Z. Optimized design of helical antenna with parasitic patch for L-band satellite communications. Prog. Electromagn. Res. Lett. 2014, 44, 9–13. [Google Scholar] [CrossRef]






















| Parameter | Value (mm) | Parameter | Value (mm) |
|---|---|---|---|
| 5 | 8 | ||
| 7 | 8 | ||
| 9 | 6 | ||
| 11 | 2.3 | ||
| 5 | 1.6 | ||
| 5 | 4 | ||
| 3 | 7 | ||
| 5 | 9 |
| Reference | × × h mm3 | BW (%) | Radiation Pattern | Gain (dBi) | SAR (W/kg) | Efficiency (%) |
|---|---|---|---|---|---|---|
| [20] | 0.32 × 0.30 × 1 | 31 | O | 2.1 | - | 78 |
| [21] | 0.27 × 0.27 | 2.1 | D | 2.5 | 1.6 | 82 |
| [22] | 0.32 × 0.30 × 1.8 | 5 | D | 3.3 | 0.5 | 75 |
| [23] | 0.34 × 0.34 × 6.5 | 5 | O | 2 | - | 84 |
| [24] | 0.36 × 0.36 × 4.0 | 15 | D | 2 | 1.0 | 90 |
| [25] | 0.45 × 0.45 × 1.2 | 5.3 | D | 4.2 | 0.74 | 78 |
| [26] | 2.5 × 2.5 × 0.2 | 3 | D | 3.9 | - | 77 |
| [27] | 1.5 × 1.5 × 1.2 | 4 | D | 3.0 | - | 75 |
| [28] | 1.2 × 1.5 × 0.5 | 5 | O | 2.8 | - | 70 |
| [29] | 2.1 × 2.1 × 0.5 | 8 | D | 1.16 | 1.12 | 78 |
| This work | 0.24 × 0.24 × 5 | 4 | D | 5.5 | 0.18 | 92 |
Disclaimer/Publisher’s Note: The statements, opinions and data contained in all publications are solely those of the individual author(s) and contributor(s) and not of MDPI and/or the editor(s). MDPI and/or the editor(s) disclaim responsibility for any injury to people or property resulting from any ideas, methods, instructions or products referred to in the content. |
© 2023 by the authors. Licensee MDPI, Basel, Switzerland. This article is an open access article distributed under the terms and conditions of the Creative Commons Attribution (CC BY) license (https://creativecommons.org/licenses/by/4.0/).
Share and Cite
Fu, Y.; Shen, T.; Dou, J.; Chen, Z. Absorbing Material of Button Antenna with Directional Radiation of High Gain for P2V Communication. Sensors 2023, 23, 5195. https://doi.org/10.3390/s23115195
Fu Y, Shen T, Dou J, Chen Z. Absorbing Material of Button Antenna with Directional Radiation of High Gain for P2V Communication. Sensors. 2023; 23(11):5195. https://doi.org/10.3390/s23115195
Chicago/Turabian StyleFu, Yuanxu, Tao Shen, Jiangling Dou, and Zhe Chen. 2023. "Absorbing Material of Button Antenna with Directional Radiation of High Gain for P2V Communication" Sensors 23, no. 11: 5195. https://doi.org/10.3390/s23115195
APA StyleFu, Y., Shen, T., Dou, J., & Chen, Z. (2023). Absorbing Material of Button Antenna with Directional Radiation of High Gain for P2V Communication. Sensors, 23(11), 5195. https://doi.org/10.3390/s23115195

