Assessment of a UWB Real Time Location System for Dairy Cows’ Monitoring
Abstract
1. Introduction
2. Materials and Methods
2.1. SEWIO UWB System and Experimental Setting
2.2. Study Plan
2.3. Statistical Analyses
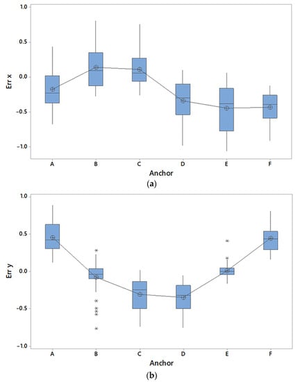
3. Results
3.1. First Experiment
3.2. Second Experiment
3.3. Third Experiment
4. Discussion
4.1. Performance of the SEWIO UWB RTLS
4.2. Applicability of the SEWIO UWB RTLS and Further Perspectives
5. Conclusions
Author Contributions
Funding
Institutional Review Board Statement
Informed Consent Statement
Data Availability Statement
Acknowledgments
Conflicts of Interest
References
- Tullo, E.; Fontana, I.; Gottardo, D.; Sloth, K.; Guarino, M. Technical note: Validation of a commercial system for the continuous and automated monitoring of dairy cow activity. J. Dairy Sci. 2016, 99, 7489–7494. [Google Scholar] [CrossRef]
- McDonagh, J.; Tzimiropoulos, G.; Slinger, K.R.; Huggett, Z.J.; Down, P.M.; Bell, M.J. Detecting Dairy Cow Behavior Using Vision Technology. Agriculture 2021, 11, 675. [Google Scholar] [CrossRef]
- Achour, B.; Belkadi, M.; Filali, I.; Laghrouche, M.; Lahdir, M. Image analysis for individual identification and feeding behaviour monitoring of dairy cows based on Convolutional Neural Networks (CNN). Biosyst. Eng. 2020, 198, 31–49. [Google Scholar] [CrossRef]
- Meen, G.; Schellekens, M.; Slegers, M.; Leenders, N.; Kooij, E.V.E.-V.D.; Noldus, L. Sound analysis in dairy cattle vocalisation as a potential welfare monitor. Comput. Electron. Agric. 2015, 118, 111–115. [Google Scholar] [CrossRef]
- Saar, M.; Edan, Y.; Godo, A.; Lepar, J.; Parmet, Y.; Halachmi, I. A machine vision system to predict individual cow feed intake of different feeds in a cowshed. Animal 2022, 16, 100432. [Google Scholar] [CrossRef]
- Lodkaew, T.; Pasupa, K.; Loo, C.K. CowXNet: An automated cow estrus detection system. Expert Syst. Appl. 2023, 211, 118550. [Google Scholar] [CrossRef]
- Riaboff, L.; Shalloo, L.; Smeaton, A.F.; Couvreur, S.; Madouasse, A.; Keane, M.T. Predicting livestock behaviour using accel-erometers: A systematic review of processing techniques for ruminant behaviour prediction from raw accelerometer data. Comput. Electron. Agric. 2022, 192, 106610. [Google Scholar] [CrossRef]
- Arcidiacono, C.; Porto, S.; Mancino, M.; Cascone, G. Development of a threshold-based classifier for real-time recognition of cow feeding and standing behavioural activities from accelerometer data. Comput. Electron. Agric. 2017, 134, 124–134. [Google Scholar] [CrossRef]
- Leso, L.; Becciolini, V.; Rossi, G.; Camiciottoli, S.; Barbari, M. Validation of a Commercial Collar-Based Sensor for Monitoring Eating and Ruminating Behaviour of Dairy Cows. Animals 2021, 11, 2852. [Google Scholar] [CrossRef] [PubMed]
- Brehme, U.; Stollberg, U.; Holz, R.; Schleusener, T. ALT pedometer—New sensor-aided measurement system for improvement in oestrus detection. Comput. Electron. Agric. 2008, 62, 73–80. [Google Scholar] [CrossRef]
- Chanvallon, A.; Coyral-Castel, S.; Gatien, J.; Lamy, J.-M.; Ribaud, D.; Allain, C.; Clément, P.; Salvetti, P. Comparison of three devices for the automated detection of estrus in dairy cows. Theriogenology 2014, 82, 734–741. [Google Scholar] [CrossRef] [PubMed]
- Jónsson, R.; Blanke, M.; Poulsen, N.K.; Caponetti, F.; Højsgaard, S. Oestrus detection in dairy cows from activity and lying data using on-line individual models. Comput. Electron. Agric. 2011, 76, 6–15. [Google Scholar] [CrossRef]
- Tøgersen, F.A.; Skjøth, F.; Munksgaard, L.; Højsgaard, S. Wireless indoor tracking network based on Kalman filters with an application to monitoring dairy cows. Comput. Electron. Agric. 2010, 72, 119–126. [Google Scholar] [CrossRef]
- Gygax, L.; Neisen, G.; Bollhalder, H. Accuracy and validation of a radar-based automatic local position measurement system for tracking dairy cows in free-stall barns. Comput. Electron. Agric. 2007, 56, 23–33. [Google Scholar] [CrossRef]
- Ipema, A.H.; Van De Ven, T.; Hogewerf, P.H.H. Validation and application of an indoor localization system for animals. In Proceedings of the Precision Livestock Farming 2013-Papers, 6th European Conference on Precision Livestock Farming, Leuven, Belgium, 10–12 September 2013; pp. 135–144. [Google Scholar]
- Homer, E.; Gao, Y.; Meng, X.; Dodson, A.; Webb, R.; Garnsworthy, P. Technical note: A novel approach to the detection of estrus in dairy cows using ultra-wideband technology. J. Dairy Sci. 2013, 96, 6529–6534. [Google Scholar] [CrossRef]
- Veissier, I.; Mialon, M.-M.; Sloth, K.H. Short communication: Early modification of the circadian organization of cow activity in relation to disease or estrus. J. Dairy Sci. 2017, 100, 3969–3974. [Google Scholar] [CrossRef]
- Pastell, M.; Frondelius, L. A hidden Markov model to estimate the time dairy cows spend in feeder based on indoor positioning data. Comput. Electron. Agric. 2018, 152, 182–185. [Google Scholar] [CrossRef]
- Wolfger, B.; Jones, B.; Orsel, K.; Bewley, J. Technical note: Evaluation of an ear-attached real-time location monitoring system. J. Dairy Sci. 2017, 100, 2219–2224. [Google Scholar] [CrossRef]
- Oberschätzl, R.; Haidn, B.; Peis, R.; Kulpi, F.; Völkl, C. Validation of automatically processed position data for evaluation of the behaviour of dairy cows. LANDTECHNIK 2015–Agricult. Eng. 2015, 70, 3–8. [Google Scholar]
- Ren, K.; Bernes, G.; Hetta, M.; Karlsson, J. Tracking and analysing social interactions in dairy cattle with real-time locating system and machine learning. J. Syst. Arch. 2021, 116, 102139. [Google Scholar] [CrossRef]
- Chopra, K.; Hodges, H.R.; Barker, Z.E.; Diosdado, J.A.V.; Amory, J.R.; Cameron, T.C.; Croft, D.P.; Bell, N.J.; Codling, E.A. Proximity Interactions in a Permanently Housed Dairy Herd: Network Structure, Consistency, and Individual Differences. Front. Veter. Sci. 2020, 7, 583715. [Google Scholar] [CrossRef] [PubMed]
- Jensen, M.B. The role of social behavior in cattle welfare. In Advances in Cattle Welfare; Tucker, C., Ed.; Woodhead Publishing: Duxford, UK, 2018; pp. 123–155. [Google Scholar]
- Leso, L.; Ozella, L.; Camiciottoli, S.; Becciolini, V.; Barbari, M. Validation of proximity sensors to monitor social proximity in dairy cows: A pilot study. In Proceedings of the 10th European Conference on Precision Livestock Farming, ECPLF 2022, Vienna, Austria, 29 August–2 September 2022. [Google Scholar]
- D’Urso, P.R.; Arcidiacono, C.; Cascone, G. Environmental and Animal-Related Parameters and the Emissions of Ammonia and Methane from an Open-Sided Free-Stall Barn in Hot Mediterranean Climate: A Preliminary Study. Agronomy 2021, 11, 1772. [Google Scholar] [CrossRef]
- D’Urso, P.R.; Arcidiacono, C.; Valenti, F.; Cascone, G. Assessing Influence Factors on Daily Ammonia and Greenhouse Gas Concentrations from an Open-Sided Cubicle Barn in Hot Mediterranean Climate. Animals 2021, 11, 1400. [Google Scholar] [CrossRef] [PubMed]
- Tsai, I.C.; Mayo, L.M.; Jones, B.W.; Stone, A.E.; Janse, S.A.; Bewley, J.M. Precision dairy monitoring technologies use in disease detection: Differences in behavioral and physiological variables measured with precision dairy monitoring technologies between cows with or without metritis, hyperketonemia, and hypocalcemia. Livest. Sci. 2021, 244, 104334. [Google Scholar] [CrossRef]
- Benaissa, S.; Tuyttens, F.; Plets, D.; Martens, L.; Vandaele, L.; Joseph, W.; Sonck, B. Improved cattle behaviour monitoring by combining Ultra-Wideband location and accelerometer data. Animal 2023, 17, 100730. [Google Scholar] [CrossRef] [PubMed]
- Cabezas, J.; Yubero, R.; Visitación, B.; Navarro-García, J.; Algar, M.J.; Cano, E.L.; Ortega, F. Analysis of Accelerometer and GPS Data for Cattle Behaviour Identification and Anomalous Events Detection. Entropy 2022, 24, 336. [Google Scholar] [CrossRef] [PubMed]
- Riaboff, L.; Couvreur, S.; Madouasse, A.; Roig-Pons, M.; Aubin, S.; Massabie, P.; Chauvin, A.; Bédère, N.; Plantier, G. Use of Predicted Behavior from Accelerometer Data Combined with GPS Data to Explore the Relationship between Dairy Cow Behavior and Pasture Characteristics. Sensors 2020, 20, 4741. [Google Scholar] [CrossRef]
- Hofstra, G.; Roelofs, J.; Rutter, S.M.; Kooij, E.v.E.-V.d.; de Vlieg, J. Mapping Welfare: Location Determining Techniques and Their Potential for Managing Cattle Welfare—A Review. Dairy 2022, 3, 776–788. [Google Scholar] [CrossRef]
- Hindermann, P.; Nüesch, S.; Früh, D.; Rüst, A.; Gygax, L. High precision real-time location estimates in a real-life barn environment using a commercial ultra wideband chip. Comput. Electron. Agric. 2020, 170, 105250. [Google Scholar] [CrossRef]
- Melzer, N.; Foris, B.; Langbein, J. Validation of a real-time location system for zone assignment and neighbor detection in dairy cow groups. Comput. Electron. Agric. 2021, 187, 106280. [Google Scholar] [CrossRef]
- Meunier, B.; Pradel, P.; Sloth, K.H.; Cirié, C.; Delval, E.; Mialon, M.M.; Veissier, I. Image analysis to refine measurements of dairy cow behaviour from a real-time location system. Biosyst. Eng. 2018, 173, 32–44. [Google Scholar] [CrossRef]
- Guarino, M.; Bewley, J.; Pastell, M. Smart Animal Agriculture: Application of Real-Time Sensors to Improve Animal Well-Being and Production. Annu. Rev. Anim. Biosci. 2019, 7, 403–425. [Google Scholar] [CrossRef]
- Porto, S.; Arcidiacono, C.; Giummarra, A.; Anguzza, U.; Cascone, G. Localisation and identification performances of a real-time location system based on ultra wide band technology for monitoring and tracking dairy cow behaviour in a semi-open free-stall barn. Comput. Electron. Agric. 2014, 108, 221–229. [Google Scholar] [CrossRef]
- RTLS Advanced Guide. Sewio Documentation. Available online: https://docs.sewio.net/docs/documentation-3244116.html (accessed on 27 May 2019).
- Frondelius, L.; Pastell, M.; Mononen, J. Validation of the TrackLab positioning system in a cow barn environment. In Proceedings of the 9th International Conference on Methods and Techniques in Behavioral Research, Wageningen, The Netherlands, 27–29 August 2014; pp. 27–29. [Google Scholar]
- Huhtala, A.; Suhonen, K.; Mäkelä, P.; Hakojärvi, M.; Ahokas, J. Evaluation of Instrumentation for Cow Positioning and Tracking Indoors. Biosyst. Eng. 2007, 96, 399–405. [Google Scholar] [CrossRef]
- D’Urso, P.R.; Arcidiacono, C.; Cascone, G. Spatial Variability of Ammonia Concentrations in an Open-Sided Dairy Barn. In Safety, Health and Welfare in Agriculture and Agro-Food Systems: Ragusa SHWA 2021; Springer International Publishing: Cham, Switzerland, 2022; pp. 76–84. [Google Scholar] [CrossRef]
- D’Urso, P.R.; Arcidiacono, C.; Cascone, G. The effect of microclimate conditions on ammonia emissions from an open-sided dairy barn during spring. Lect. Notes Civ. Eng. 2022, 252, 85–94. [Google Scholar] [CrossRef]






| Comparison | Tag Position | Ex | SD Ex | Ey | SD Ey | Accuracy | SD |
|---|---|---|---|---|---|---|---|
| Errors between tag located in the centre vs. perimeter of the barn | Central area | −0.23 a | 0.2 | 0.22 a | 0.15 | 0.31 b | 0.21 |
| Perimeter | 0.05 b | 0.59 | 0.06 b | 0.65 | 0.82 a | 0.39 | |
| Errors in different areas at the centre of the laboratory | A1 | −0.32 c | 0.16 | 0.24 a | 0.08 | 0.42 a | 0.13 |
| A2 | −0.23 b | 0.23 | 0.03 b | 0.11 | 0.27 b | 0.20 | |
| A3 | −0.15 a | 0.16 | −0.07 c | 0.08 | 0.20 c | 0.13 |
| Tag Position | Ex | SD Ex | Ey | SD Ey | Accuracy | SD |
|---|---|---|---|---|---|---|
| A | −0.17 b | 0.30 | 0.46 a | 0.20 | 0.58 a | 0.16 |
| B | 0.14 a | 0.31 | 0.03 b | 0.11 | 0.32 c | 0.24 |
| C | 0.11 a | 0.25 | −0.30 c | 0.21 | 0.38 bc | 0.25 |
| D | −0.34 bc | 0.28 | −0.34 c | 0.20 | 0.49 ab | 0.32 |
| E | −0.44 c | 0.32 | 0.01 b | 0.10 | 0.46 abc | 0.31 |
| F | −0.43 c | 0.22 | 0.44 a | 0.18 | 0.62 a | 0.27 |
| Paths | Tag Velocity | Ex | SD Ex | Ey | SD Ey | Accuracy | SD |
|---|---|---|---|---|---|---|---|
| Longitudinal paths | 0.2 m s−1 | −0.02 a | 0.36 | 0.23 a | 0.43 | 0.53 b | 0.28 |
| 1.0 m s−1 | −0.04 a | 0.38 | 0.28 a | 0.56 | 0.64 a | 0.34 | |
| Transversal paths | 0.2 m s−1 | −0.24 b | 0.54 | 0.11 a | 0.30 | 0.61 a | 0.29 |
| 1.0 m s−1 | −0.13 a | 0.46 | 0.02 b | 0.28 | 0.50 b | 0.25 |
Disclaimer/Publisher’s Note: The statements, opinions and data contained in all publications are solely those of the individual author(s) and contributor(s) and not of MDPI and/or the editor(s). MDPI and/or the editor(s) disclaim responsibility for any injury to people or property resulting from any ideas, methods, instructions or products referred to in the content. |
© 2023 by the authors. Licensee MDPI, Basel, Switzerland. This article is an open access article distributed under the terms and conditions of the Creative Commons Attribution (CC BY) license (https://creativecommons.org/licenses/by/4.0/).
Share and Cite
D’Urso, P.R.; Arcidiacono, C.; Pastell, M.; Cascone, G. Assessment of a UWB Real Time Location System for Dairy Cows’ Monitoring. Sensors 2023, 23, 4873. https://doi.org/10.3390/s23104873
D’Urso PR, Arcidiacono C, Pastell M, Cascone G. Assessment of a UWB Real Time Location System for Dairy Cows’ Monitoring. Sensors. 2023; 23(10):4873. https://doi.org/10.3390/s23104873
Chicago/Turabian StyleD’Urso, Provvidenza Rita, Claudia Arcidiacono, Matti Pastell, and Giovanni Cascone. 2023. "Assessment of a UWB Real Time Location System for Dairy Cows’ Monitoring" Sensors 23, no. 10: 4873. https://doi.org/10.3390/s23104873
APA StyleD’Urso, P. R., Arcidiacono, C., Pastell, M., & Cascone, G. (2023). Assessment of a UWB Real Time Location System for Dairy Cows’ Monitoring. Sensors, 23(10), 4873. https://doi.org/10.3390/s23104873

