Submillimeter Sized 2D Electrothermal Optical Fiber Scanner
Abstract
1. Introduction
2. Working Principle
3. Simulation for Optimization
3.1. Electrothermal Analysis
3.2. Mechanical Deflection Analysis
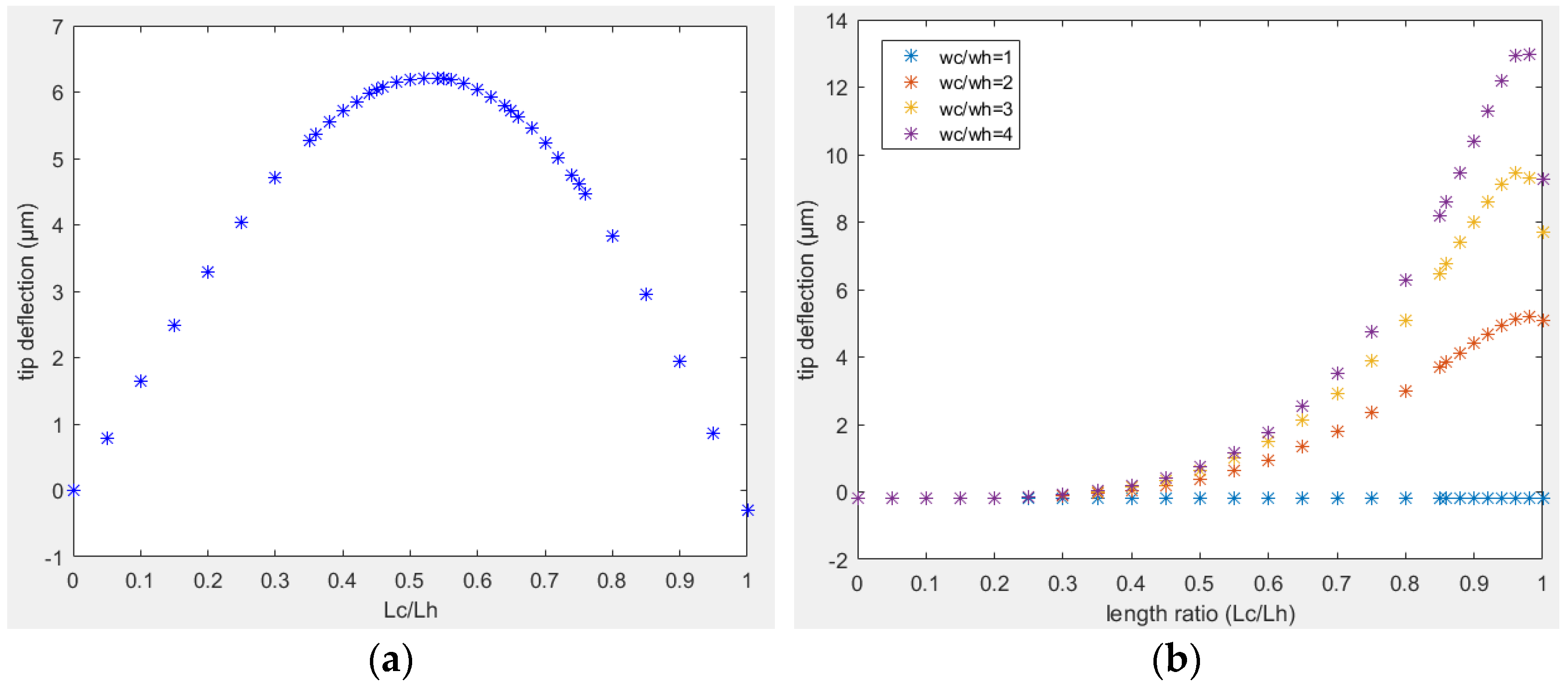
3.3. Optimization of Design A and Design B
3.4. Design C
3.5. Design D
4. Optimized Actuator-Cantilever Setup
4.1. Design E
4.2. Final Design
5. 2D Scan
6. Discussion
7. Conclusions
Author Contributions
Funding
Institutional Review Board Statement
Informed Consent Statement
Data Availability Statement
Acknowledgments
Conflicts of Interest
References
- Ditta, N.A.; Yaqub, M.; Nadeem, S.; Jamil, S.; Hassan, S.U.; Iqbal, S.; Javed, M.; Elkaeed, E.B.; Alshammari, F.H.; Alwadai, N.; et al. Electrochemical Studies of LbL Films with Dawson Type Heteropolyanion Glassy Carbon Electrode Sensor Modified for Methyl Parathion Detection. Front. Mater. 2022, 9, 877683. [Google Scholar] [CrossRef]
 - Ilie, A. Sensing Better Health: Complete Guide to Medical Sensors—Benefits and Applications. 14 June 2021. Available online: https://sps.honeywell.com/us/en/support/blog/siot/complete-guide-to-medical-sensors-benefits-and-applications (accessed on 22 December 2022).
 - Chong, C.-Y.; Kumar, S.P. Sensors Networks: Evolution, opportunities, and challenges. Proc. IEEE 2003, 91, 1247–1256. [Google Scholar] [CrossRef]
 - Coda, S.; Thillainayagam, A. State of the art in advanced endoscopic imaging for the detection and evaluation of dysplasia and early cancer of the gastrointestinal tract. Clin. Exp. Gastroenterol. 2014, 7, 133–150. [Google Scholar] [CrossRef] [PubMed]
 - Lee, C.M.; Engelbrecht, C.J.; Soper, T.D.; Helmchen, F.; Seibel, E.J. Scanning Fiber endoscopy with highly flexible, 1 mm catheterscopes for wide-field, full-color imaging. J. Biophotonics 2010, 3, 385–407. [Google Scholar] [CrossRef] [PubMed]
 - Seibel, E.J.; Smithwick, Q.Y.J.; Brown, C.M.; Reinhall, P.G. Single fiber flexible endoscope: General design for small size, high resolution, and wide field of view. In Proceedings of the Biomonitoring and Endoscopy Technologies, Amsterdam, The Netherlands, 5–6 July 2000; SPIE: Bellingham, WA, USA, 2001; Volume 4158, pp. 29–39. [Google Scholar]
 - Liu, X.; Cobb, M.J.; Chen, Y.; Kimmey, M.B.; Li, X. Rapid-scanning forward-imaging miniature endoscope for real-time optical coherence tomography. Opt. Lett. 2004, 29, 1763–1765. [Google Scholar] [CrossRef] [PubMed]
 - Park, H.-C.; Seo, Y.-H.; Jeong, K.-H. Lissajous fiber scanning for forward viewing optical endomicroscopy using asymmetric modulation. Opt. Express 2014, 22, 5818–5825. [Google Scholar] [CrossRef] [PubMed]
 - Liu, Z.; Fu, L.; Gao, F.; Zhang, X. Design and implementation of 2-D endoscopic optical fiber scanner. In Proceedings of the Seventh International Conference on Photonics and Imaging in Biology and Medicine, Wuhan, China, 24–27 November 2008; SPIE: Bellingham, WA, USA, 2009; Volume 7280. [Google Scholar]
 - Li, G.; Gao, H.; Zhou, A.; Liu, Z. Endoscope two dimensional scanning fiber probe and the driving method. In Proceedings of the 2011 International Conference on Optical Instruments and Technology: Optical Sensors and Applications, Beijing, China, 15 November 2011; SPIE: Bellingham, WA, USA, 2011; Volume 8199. [Google Scholar]
 - Aguirre, A.D.; Hertz, P.R.; Chen, Y.; Fujimoto, J.G.; Piyawattanametha, W.; Fan, L.; Wu, M. Two-axis MEMS Scanning Catheter for Ultrahigh Resolution Three-dimensional and En Face Imaging. Opt. Express 2007, 15, 2445–2453. [Google Scholar] [CrossRef]
 - Zara, J.M.; Yazdanfar, S.; Rao, K.D.; Izatt, J.A.; Smith, S.W. Electrostatic micromachine scanning mirror for optical coherence tomography. Opt. Lett. 2003, 28, 628–630. [Google Scholar] [CrossRef]
 - Kim, K.H.; Park, B.H.; Maguluri, G.N.; Lee, T.W.; Rogomentich, F.J.; Bancu, M.G.; Bouma, B.E.; de Boer, J.; Bernstein, J.J. Two-axis magnetically-driven MEMS scanning catheter for endoscopic high-speed optical coherence tomography. Opt. Express 2007, 15, 18130–18140. [Google Scholar] [CrossRef]
 - Yao, J.; Yang, Z.; Peng, T.; Sun, B.; Zhang, H.; Zhao, M.; Dai, B.; Liu, H.; Ding, G.; Sawada, R. A Single-Fiber Endoscope Scanner Probe Utilizing Two-Degrees-of-Freedom (2DOF) High-Order Resonance to Realize Larger Scanning Angle. IEEE Trans. Compon. Packag. Manuf. Technol. 2019, 9, 2332–2340. [Google Scholar] [CrossRef]
 - Seo, Y.-H.; Hwang, K.; Jeong, K.-H. 1.65 mm diameter forward-viewing confocal endomicroscopic catheter using a glip-chip bonded electrothermal MEMS fiber scanner. Opt. Express 2018, 26, 4780–4785. [Google Scholar] [CrossRef] [PubMed]
 - Tanguy, Q.; Bargiel, S.; Xie, H.; Passilly, N.; Barthès, M.; Gaiffe, O.; Rutkowski, J.; Lutz, P.; Gorecki, C. Design and Fabrication of a 2-Axis Electrothermal MEMS Micro-Scanner for Optical Coherence Tomography. Micromachines 2017, 8, 146. [Google Scholar] [CrossRef]
 - Kobayashi, T.; Matsunaga, T.; Haga, Y. Active Bending Electric Endoscope Using Shape Memory Alloy wires. In New Trends in Medical and Service Robots: Assistive, Surgical and Educational Robotics; Springer: Cham, Switzerland, 2016; pp. 131–139. [Google Scholar]
 - Li, L.; Chew, Z. Microactuators: Design and Technology. In Smart Sensors and MEMS; Elsevier Ltd.: Amsterdam, The Netherlands, 2018; pp. 313–354. [Google Scholar]
 - Kaur, M.; Brown, M.; Lane, P.M.; Menon, C. An Electro-Thermally Actuated Micro-Cantilever-Based Fiber Optic Scanner. IEEE Sens. J. 2020, 20, 9877–9885. [Google Scholar] [CrossRef]
 - Ahrabi, A.A.; Kaur, M.; Li, Y.; Lane, P.; Menon, C. An Electro-Thermal Actuation Method for Resonance Vibration of a Miniaturized Optical-Fiber Scanner for Future Scanning Fiber Endoscope Design. Actuators 2019, 8, 21. [Google Scholar] [CrossRef]
 - Kaur, M.; Lane, P.M.; Menon, C. Endoscopic Optical Imaging Technologies and Devices for Medical Purposes: State of the Art. Appl. Sci. 2020, 10, 6865. [Google Scholar] [CrossRef]
 - Kaur, M.; Hohert, G.; Lane, P.M.; Menon, C. Fabrication of a stepped optical fiber tip for miniaturized scanners. Opt. Fiber Technol. 2020, 61, 102436. [Google Scholar] [CrossRef]
 - Kaur, M.; Lane, P.M.; Menon, C. Scanning and Actuation Techniques for Cantilever-Based Fiber Optic Endoscopic Scanners—A Review. Sensors 2021, 21, 251. [Google Scholar] [CrossRef]
 - Haight, E.C.; King, W.W. Stability of Nonlinear Oscillations of an Elastic Rod. J. Acoust. Soc. Am. 1972, 52, 899–911. [Google Scholar] [CrossRef]
 - Hyer, M.W. Whirling of a base-excited cantilever beam. J. Acoust. Soc. Am. 1979, 65, 931–939. [Google Scholar] [CrossRef]
 - Wu, L.; Ding, Z.; Huang, G. Realization of 2D scanning pattern of a fiber cantilever by nonlinear coupling. In Proceedings of the Fifth International Conference on Photonics and Imaging in Biology and Medicine, Wuhan, China, 1–3 September 2006. [Google Scholar]
 - Pan, C.S.; Hsu, W. An electro-thermally and laterally driven polysilicon microactuator. J. Micromech. Microeng. 1997, 7, 7–13. [Google Scholar] [CrossRef]
 - Huang, Q.-A.; Lee, N.K.S. Analysis and design of polysilicon thermal flexure actuator. J. Micromech. Microeng. 1999, 9, 64–70. [Google Scholar] [CrossRef]
 - Chen, R.S.; Kung, C.; Lee, G.-B. Analysis of the optimal dimension on the electrothermal microactuator. J. Micromech. Microeng. 2002, 12, 291–296. [Google Scholar] [CrossRef]
 - Lo, C.; Lin, M.; Hwan, C. Modeling and analysis of electro-thermal microactuators. J. Chin. Inst. Eng. 2009, 32, 351–360. [Google Scholar] [CrossRef]
 - Lee, C.-C.; Hsu, W. Optimization of an electro-thermally and laterally driven microactuator. Microsyst. Technol. 2003, 9, 331–334. [Google Scholar] [CrossRef]
 - Karbasi, S.M.; Shamshirsaz, M.; Naraghi, M.; Maroufi, M. Optimal design analysis of electrothermally driven microactuators. Microsyst. Technol. 2010, 16, 1065–1071. [Google Scholar] [CrossRef]
 - Hickey, R.; Kujath, M.; Hubbard, T. Heat transfer analysis and optimization of two-beam microelectromechanical thermal actuators. J. Vac. Sci. Technol. A Vac. Surf. Films 2002, 20, 971–974. [Google Scholar] [CrossRef]
 - Huang, Q.-A.; Lee, N.K.S. Analytical modeling and optimization for a laterally-driven polysilicon thermal actuator. Microsyst. Technol. 1999, 5, 133–137. [Google Scholar] [CrossRef]
 - Elbuken, C.; Topaloglu, N.; Nieva, P.M.; Yavuz, M.; Huissoon, J.P. Modeling and analysis of a 2-DOF bidirectional electro-thermal. Microsyst. Technol. 2009, 15, 713–722. [Google Scholar] [CrossRef]
 - Li, L.; Uttamchandani, D. Dynamic response modelling and characterization of a vertical electrothermal actuator. J. Micromech. Microeng. 2009, 19, 075014. [Google Scholar] [CrossRef]
 - Yan, D.; Khajepour, A.; Mansour, R. Modeling of two-hot-arm horizontal thermal actuator. J. Micromech. Microeng. 2003, 13, 312–322. [Google Scholar] [CrossRef]
 


























| Design A [27] | Design B [28] | |
|---|---|---|
| Material properties | ||
| Young’s modulus | 150 × 109 Pa | 150 × 109 Pa | 
| Poisson’s ratio | 0.066 | 0.066 | 
| Thermal conductivity | 41 W/(m °C) | 30 W/(m °C) | 
| Thermal expansion coeff. | 2.7 × 10−6 °C | 2.7 × 10−6 °C | 
| Resistivity | 5 × 10−4 Ω m | 1.1 × 10−5 Ω m | 
| Geometric dimensions | ||
| Gap between beams | ≥5 μm | 3 μm | 
| Length of hot arm | 500–750 μm | 200 μm | 
| Length of the cold arm | 100–500 μm | 162 μm | 
| Width of beams | 1–3 μm | 14 μm (cold arm); 2.5 μm (hot arm) | 
| Thickness of beams | 2–3 μm | 1–4 μm | 
Disclaimer/Publisher’s Note: The statements, opinions and data contained in all publications are solely those of the individual author(s) and contributor(s) and not of MDPI and/or the editor(s). MDPI and/or the editor(s) disclaim responsibility for any injury to people or property resulting from any ideas, methods, instructions or products referred to in the content.  | 
© 2022 by the authors. Licensee MDPI, Basel, Switzerland. This article is an open access article distributed under the terms and conditions of the Creative Commons Attribution (CC BY) license (https://creativecommons.org/licenses/by/4.0/).
Share and Cite
Kaur, M.; Menon, C. Submillimeter Sized 2D Electrothermal Optical Fiber Scanner. Sensors 2023, 23, 404. https://doi.org/10.3390/s23010404
Kaur M, Menon C. Submillimeter Sized 2D Electrothermal Optical Fiber Scanner. Sensors. 2023; 23(1):404. https://doi.org/10.3390/s23010404
Chicago/Turabian StyleKaur, Mandeep, and Carlo Menon. 2023. "Submillimeter Sized 2D Electrothermal Optical Fiber Scanner" Sensors 23, no. 1: 404. https://doi.org/10.3390/s23010404
APA StyleKaur, M., & Menon, C. (2023). Submillimeter Sized 2D Electrothermal Optical Fiber Scanner. Sensors, 23(1), 404. https://doi.org/10.3390/s23010404
        