Remote Non-Invasive Fabry-Pérot Cavity Spectroscopy for Label-Free Sensing
Abstract
1. Introduction
2. The Reflection Rates of Fabry-Pérot Cavities
2.1. The Electromagnetic Field in Air and in a Dielectric Medium
2.2. The Reflection and Transmission Rates of a Single Mirror
2.3. Fabry-Pérot Cavities
3. The Overall Reflection Rates of Different Mirror Arrays
3.1. The Overall Reflection Rates of Three-Mirror Systems
3.2. The Effect of a Randomly Positioned Third Mirror
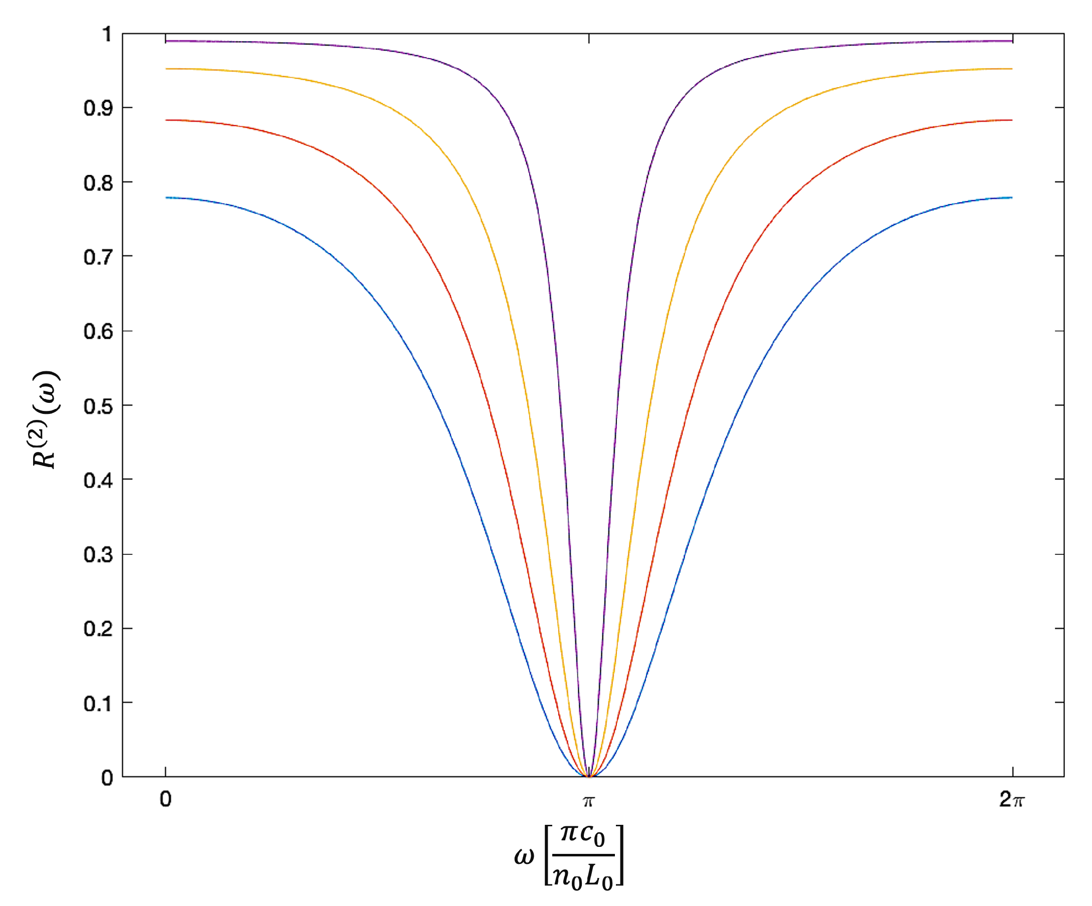
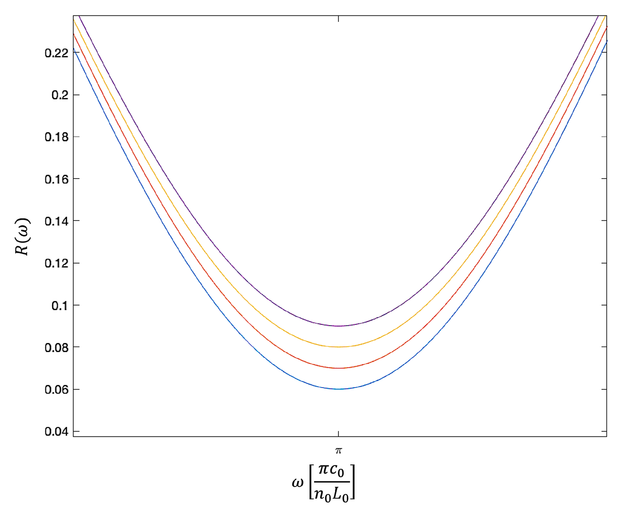
3.3. The Effect of a Relatively Large Number of Tiny, Randomly-Positioned Mirrors
4. Remote Fabry-Pérot Cavity Spectroscopy
- The target molecules closely resemble tiny, semitransparent mirrors, which reflect at least some of the incoming light back into the Fabry-Pérot cavity without changing its frequency. This applies to a very good approximation, if the frequency of the laser falls within their resonance fluorescence spectrum. As we have observed above, it does not matter whether the reflected light accumulates a random phase in the reflection process. It anyway accumulates a random phase due to the randomness of the position of every molecule within the sample.
- Moreover, the environment surrounding the target molecules should be mostly transparent to the incoming light. If the environment reflects some of the incoming light even in the absence of the target molecules, the sensor needs to be more sensitive and needs to be more carefully calibrated before measurements can be performed.
- The target molecules are randomly distributed within the finite volume V, as it applies, for example, naturally when they are dissolved in a liquid.
4.1. Optical Signatures of the Presence of Target Molecules
4.2. The Dependence of Reflection Rates on Molecule Concentrations
5. Conclusions
- Optical access to the sample that contains the molecules is required.
- The laser frequency and therefore also the resonance frequency of the incoming light should lie within the resonance frequency spectrum of the molecules, such that they absorb and re-emit light at that frequency with a relatively high rate.
- The concentrations of the molecules should be neither too low nor too high to obtain a significant response without saturating the device.
- The positions of the target molecules should be sufficiently random in order to remove any dependence of the sensor reflection rate on the exact distances between the Fabry-Pérot cavity and the molecules.
Author Contributions
Funding
Institutional Review Board Statement
Informed Consent Statement
Data Availability Statement
Conflicts of Interest
References
- Malhotra, B.D.; Ali, M.A. Nanomaterials in Biosensors: Fundamentals and Applications, 1st ed.; Elsevier: Amsterdam, The Netherlands, 2017. [Google Scholar]
- Luan, E.; Shoman, H.; Ratner, D.M.; Cheung, K.C.; Chrostowski, L. Silicon Photonic Biosensors Using Label-Free Detection. Sensors 2018, 18, 3519. [Google Scholar] [CrossRef] [PubMed]
- Yoon, J.; Shin, M.; Lee, T.; Choi, J.W. Highly sensitive biosensors based on biomolecules and functional nanomaterials depending on the types of nanomaterials: A perspective review. Materials 2020, 13, 299. [Google Scholar] [CrossRef] [PubMed]
- Chen, C.; Wang, J. Optical biosensors: An exhaustive and comprehensive review. Analyst 2020, 145, 1605–1628. [Google Scholar] [CrossRef]
- Koyappayil, A.; Lee, M.-H. Ultrasensitive Materials for Electrochemical Biosensor Labels. Sensors 2021, 21, 89. [Google Scholar] [CrossRef] [PubMed]
- Parandin, F.; Heidari, F.; Rahimi, Z.; Olyaee, S. Two-Dimensional photonic crystal Biosensors: A review. Opt. Laser Technol. 2021, 144, 107397. [Google Scholar] [CrossRef]
- Islam, M.R.; Ali, M.M.; Lai, M.-H.; Lim, K.-S.; Ahmad, H. Chronology of Fabry-Pérot interferometer fiber-optic sensors and their applications: A review. Sensors 2014, 14, 7451. [Google Scholar] [CrossRef]
- Rho, D.; Breaux, C.; Kim, S. Label-Free Optical Resonator-Based Biosensors. Sensors 2020, 20, 5901. [Google Scholar] [CrossRef]
- Thorpe, M.J.; Moll, K.D.; Jones, R.J.; Safdi, B.; Ye, J. Broadband cavity ringdown spectroscopy for sensitive and rapid molecular detection. Science 2006, 311, 1595. [Google Scholar] [CrossRef]
- Choi, H.Y.; Park, K.S.; Park, S.J.; Paek, U.-C.; Lee, B.H.; Choi, E.S. Miniature fiber-optic high temperature sensor based on a hybrid structured Fabry-Perot interferometer. Opt. Lett. 2008, 33, 2455. [Google Scholar]
- Cygan, A.; Fleisher, A.J.; Ciurylo, R.; Gillis, K.A.; Hodges, J.T.; Lisak, D. Cavity buildup dispersion spectroscopy. Commun. Phys. 2021, 4, 14. [Google Scholar] [CrossRef]
- Lin, V.S.-Y.; Motesharei, K.; Dancil, K.-P.S.; Sailor, M.J.; Ghadiri, M.R. A porous silicon-based optical interferometric biosensor. Science 1997, 278, 840. [Google Scholar] [CrossRef] [PubMed]
- Dancil, K.-P.S.; Greiner, D.P.; Sailor, M.J. A porous silicon optical biosensor: Detection of reversible binding of IgG to a protein A-modified surface. J. Am. Chem. Soc. 1999, 121, 7925. [Google Scholar] [CrossRef]
- Tierney, S.; Volden, S.; Stokke, B.T. Glucose sensors based on a responsive gel incorporated as a Fabry-Pérot cavity on a fiber-optic readout platform. Biosens. Bioelectron. 2009, 24, 2034. [Google Scholar] [CrossRef]
- Khan, M.R.R.; Watekar, A.V.; Kang, S.-W. Fiber-optic biosensor to detect pH and glucose. IEEE Sens. J. 2017, 18, 1528. [Google Scholar] [CrossRef]
- Smietana, M.; Bock, W.J.; Mikulic, P.; Ng, A.; Chinnappan, R.; Zourob, M. Detection of bacteria using bacteriophages as recognition elements immobilized on long-period fiber gratings. Opt. Express 2011, 19, 797. [Google Scholar] [CrossRef] [PubMed]
- Chen, L.H.; Chan, C.C.; Menon, R.; Balamurali, P.; Wong, W.C.; Ang, X.M.; Hu, P.B.; Shaillender, M.; Neu, B.; Zu, P.; et al. Fabry-Perot fiber-optic immunosensor based on suspended layer-by-layer (chitosan/polystyrene sulfonate) membrane. Sens. Actuator B Chem. 2013, 188, 185. [Google Scholar] [CrossRef]
- Cano-Velazquez, M.S.; Lopez-Marin, L.M.; Hernández-Cordero, J. Fiber optic interferometric immunosensor based on polydimethilsiloxane (PDMS) and bioactive lipids. Biomed. Opt. Express 2020, 11, 1316. [Google Scholar] [CrossRef]
- Ready, J.F. Industrial Applications of Lasers, 2nd ed.; Chapter 22; Academic Press: London, UK, 1997. [Google Scholar]
- Pedrotti, L.S.; Pedrotti, L.M.; Pedrotti, F.L. Introduction to Optics, 3rd ed.; Cambridge University Press: Cambridge, MA, USA, 2017. [Google Scholar]
- Pickup, J.C.; Hussain, F.; Evans, N.D.; Rolinski, O.J.; Birch, D.J. Fluorescence-based glucose sensors. Biosens. Bioelectron. 2005, 12, 2555. [Google Scholar] [CrossRef]
- Oh, S.K.; Yoo, S.J.; Jeong, D.H.; Lee, J.M. Real-time estimation of glucose concentration in algae cultivation system using Raman spectroscopy. Bioresour. Technol. 2013, 142, 131. [Google Scholar] [CrossRef]
- Zhang, Y.; Shibru, H.; Cooper, K.L.; Wang, A. Miniature fiber-optic multicavity Fabry-Perot interferometric biosensor. Opt. Lett. 2005, 9, 1021. [Google Scholar] [CrossRef]
- Wang, Z.; Shen, F.; Song, L.; Wang, X.; Wang, A. Multiplexed fiber Fabry-Perot interferometer sensors based on ultrashort Bragg gratings. IEEE Photon. Technol. Lett. 2007, 19, 622. [Google Scholar] [CrossRef]
- Hunger, D.; Steinmetz, T.; Colombe, Y.; Deutsch, C.; Hänsch, T.W.; Reichel, J. A fiber Fabry-Perot cavity with high finesse. New J. Phys. 2010, 12, 065038. [Google Scholar]
- Gallego, J.; Ghosh, S.; Alavi, S.K.; Alt, W.; Martinez-Dorantes, M.; Meschede, D.; Ratschbacher, L. High-finesse fiber Fabry-Perot cavities: Stabilization and mode matching analysis. Appl. Phys. B 2016, 122, 47. [Google Scholar]
- Gulati, G.K.; Takahashi, H.; Podoliak, N.; Horak, P.; Keller, M. Fiber cavities with integrated mode matching optics. Sci. Rep. 2017, 7, 5556. [Google Scholar] [CrossRef] [PubMed]
- Van de Stadt, H.; Muller, J.H. Multimirror Fabry-Perot interferometers. J. Opt. Soc. Am. A 1985, 2, 1363. [Google Scholar]
- Hogeveen, S.J.; Van de Stadt, H. Fabry-Pérot interferometers with three mirrors. Appl. Opt. 1986, 25, 4181. [Google Scholar] [CrossRef]
- Hodgson, D.; Southall, J.; Purdy, R.; Beige, A. Local photons. Front. Photon. 2022, 3, 978855. [Google Scholar] [CrossRef]
- Dawson, B.; Furtak-Wells, N.; Mann, T.; Jose, G.; Beige, A. The quantum optics of asymmetric mirrors with coherent light absorption. Front. Photon. 2021, 2, 700737. [Google Scholar]
- Monzon, J.J.; Sanchez-Soto, L.L. Absorbing beam splitter in a Michelson interferometer. Appl. Opt. 1995, 34, 7834. [Google Scholar] [CrossRef]
- Barnett, S.M.; Jeffers, J.; Gatti, A.; Loudon, R. Quantum optics of lossy beam splitters. Phys. Rev. A 1998, 57, 2134. [Google Scholar]
- Uppu, R.; Wolterink, T.A.W.; Tentrup, T.B.H.; Pinkse, P.W.H. Quantum optics of lossy asymmetric beam splitters. Opt. Express 2016, 24, 16440. [Google Scholar] [CrossRef] [PubMed]
- Coldren, L.A.; Corzine, S.W.; Mashanovitch, M.L. Diode Lasers and Photonic Integrated Circuits: 218, 2nd ed.; Wiley Series in Microwave and Optical Engineering; John Wiley & Sons: Hoboken, NJ, USA, 2012. [Google Scholar]











Disclaimer/Publisher’s Note: The statements, opinions and data contained in all publications are solely those of the individual author(s) and contributor(s) and not of MDPI and/or the editor(s). MDPI and/or the editor(s) disclaim responsibility for any injury to people or property resulting from any ideas, methods, instructions or products referred to in the content. |
© 2022 by the authors. Licensee MDPI, Basel, Switzerland. This article is an open access article distributed under the terms and conditions of the Creative Commons Attribution (CC BY) license (https://creativecommons.org/licenses/by/4.0/).
Share and Cite
Al Ghamdi, A.; Dawson, B.; Jose, G.; Beige, A. Remote Non-Invasive Fabry-Pérot Cavity Spectroscopy for Label-Free Sensing. Sensors 2023, 23, 385. https://doi.org/10.3390/s23010385
Al Ghamdi A, Dawson B, Jose G, Beige A. Remote Non-Invasive Fabry-Pérot Cavity Spectroscopy for Label-Free Sensing. Sensors. 2023; 23(1):385. https://doi.org/10.3390/s23010385
Chicago/Turabian StyleAl Ghamdi, Abeer, Benjamin Dawson, Gin Jose, and Almut Beige. 2023. "Remote Non-Invasive Fabry-Pérot Cavity Spectroscopy for Label-Free Sensing" Sensors 23, no. 1: 385. https://doi.org/10.3390/s23010385
APA StyleAl Ghamdi, A., Dawson, B., Jose, G., & Beige, A. (2023). Remote Non-Invasive Fabry-Pérot Cavity Spectroscopy for Label-Free Sensing. Sensors, 23(1), 385. https://doi.org/10.3390/s23010385

