Plant Growth Monitoring: Design, Fabrication, and Feasibility Assessment of Wearable Sensors Based on Fiber Bragg Gratings
Abstract
1. Introduction
2. Plant Wearables for Growth Monitoring: Design, Fabrication, and Metrological Characterization
2.1. Background and Working Principle of FBG Sensor
2.2. The Development of Wearables Based on FBG Technology for Plant Growth Monitoring
2.2.1. Design
2.2.2. Fabrication Process
- The development of a 3D computer model of the mold. We used a CAD software (Solidworks 2021) to design a mold with a negative impression for shaping the casting material and making the intended shapes.
- The preparation of the casting material. We mixed the two parts (part A and part B) of a liquid bicomponent silicone rubber (i.e., Dragon SkinTM 20, Smooth-On, Macungie, PA, USA) in an equal ratio by weight (1A:1B). Then, the mixture was degassed to remove the air bubbles.
- The casting of the material. We positioned the optical fiber inside the mold in a pre-tensioned state. Then, we delivered the silicone into the mold.
- The curing of the silicone. After 4 h, the silicone matrix was cured, and the sensor was extracted from the mold, peeling away any excess of silicone.
2.2.3. Metrological Characterization
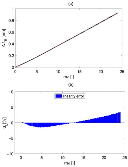
Response to Strain of the Plant Wearable Sensors
Response to Temperature of the Dumbbell- and Ring-Shaped Plant Wearable Sensors
Response to Relative Humidity of the Dumbbell- and Ring-Shaped Plant Wearable Sensors
3. Plant Wearables for Growth Monitoring: Test, Data Analysis and Results
3.1. Tests to Assess the Capability of Wearables Based on FBG Technology for Plant Growth Monitoring
3.1.1. Dumbbell-Shaped Plant Wearable Sensor Assessment
3.1.2. Ring-Shaped Plant Wearable Sensor Assessment
4. Discussions and Conclusions
Author Contributions
Funding
Data Availability Statement
Conflicts of Interest
References
- United Nations Department of Economics and Social Affairs. World Population Prospects 2019: Highlights|Multimedia Library—United Nations Department of Economic and Social Affairs; United Nations: New York, NY, USA, 2019; pp. 1–4. [Google Scholar]
- Khreis, H. Traffic, Air Pollution, and Health. In Advances in Transportation and Health: Tools, Technologies, Policies, and Developments; Elsevier: Amsterdam, The Netherlands, 2020; pp. 59–104. ISBN 9780128191361. [Google Scholar]
- Kanning, M.; Kühling, I.; Trautz, D.; Jarmer, T. High-Resolution UAV-Based Hyperspectral Imagery for LAI and Chlorophyll Estimations from Wheat for Yield Prediction. Remote Sens. 2018, 10, 2000. [Google Scholar] [CrossRef]
- Mozgeris, G.; Jonikavičius, D.; Jovarauskas, D.; Zinkevičius, R.; Petkevičius, S.; Steponavičius, D. Imaging from Manned Ultra-Light and Unmanned Aerial Vehicles for Estimating Properties of Spring Wheat. Precis. Agric. 2018, 19. [Google Scholar] [CrossRef]
- Pan, J.; Zhang, Z.; Jiang, C.; Zhang, L.; Tong, L. A Multifunctional Skin-like Wearable Optical Sensor Based on an Optical Micro-/Nanofibre. Nanoscale 2020, 12, 17538–17544. [Google Scholar] [CrossRef] [PubMed]
- Hong, Y.J.; Jeong, H.; Cho, K.W.; Lu, N.; Kim, D.H. Wearable and Implantable Devices for Cardiovascular Healthcare: From Monitoring to Therapy Based on Flexible and Stretchable Electronics. Adv. Funct. Mater. 2019, 29, 1808247. [Google Scholar] [CrossRef]
- Lo Presti, D.; Massaroni, C.; D’Abbraccio, J.; Massari, L.; Caponero, M.; Longo, U.G.; Formica, D.; Oddo, C.M.; Schena, E. Wearable System Based on Flexible Fbg for Respiratory and Cardiac Monitoring. IEEE Sens. J. 2019, 19, 7391–7398. [Google Scholar] [CrossRef]
- Lo Presti, D.; Bianchi, D.; Massaroni, C.; Gizzi, A.; Schena, E. A Soft and Skin-Interfaced Smart Patch Based on Fiber Optics for Cardiorespiratory Monitoring. Biosensors 2022, 12, 363. [Google Scholar] [CrossRef] [PubMed]
- Lo Presti, D.; Massaroni, C.; Jorge Leitao, C.S.; De Fatima Domingues, M.; Sypabekova, M.; Barrera, D.; Floris, I.; Massari, L.; Oddo, C.M.; Sales, S.; et al. Fiber Bragg Gratings for Medical Applications and Future Challenges: A Review. IEEE Access 2020, 8, 156863–156888. [Google Scholar] [CrossRef]
- Lee, G.; Wei, Q.; Zhu, Y. Emerging Wearable Sensors for Plant Health Monitoring. Adv. Funct. Mater. 2021, 31, 2106475. [Google Scholar] [CrossRef]
- Galatus, R.M.; Papara, R.; Buzura, L.; Roman, A.; Ursu, T. Wearable Multi-Sensor for Plant Monitoring, Based on Fluorescent Fibers. In Proceedings of the SPIE, Online, 1 April 2020; Volume 11361, p. 36. [Google Scholar] [CrossRef]
- Dufil, G.; Bernacka-Wojcik, I.; Armada-Moreira, A.; Stavrinidou, E. Plant Bioelectronics and Biohybrids: The Growing Contribution of Organic Electronic and Carbon-Based Materials. Chem. Rev. 2022, 122, 4847–4883. [Google Scholar] [CrossRef] [PubMed]
- Qu, C.C.; Sun, X.Y.; Sun, W.X.; Cao, L.X.; Wang, X.Q.; He, Z.Z. Flexible Wearables for Plants. Small 2021, 17, 2104482. [Google Scholar] [CrossRef] [PubMed]
- Lo Presti, D.; Di Tocco, J.; Massaroni, C.; Cimini, S.; De Gara, L.; Singh, S.; Raucci, A.; Manganiello, G.; Woo, S.L.; Schena, E.; et al. Current Understanding, Challenges and Perspective on Portable Systems Applied to Plant Monitoring and Precision Agriculture. Biosens. Bioelectron. 2023, 222, 115005. [Google Scholar] [CrossRef] [PubMed]
- Tang, W.; Yan, T.; Ping, J.; Wu, J.; Ying, Y. Rapid Fabrication of Flexible and Stretchable Strain Sensor by Chitosan-Based Water Ink for Plants Growth Monitoring. Adv. Mater. Technol. 2017, 2, 1700021. [Google Scholar] [CrossRef]
- Hsu, H.H.; Zhang, X.; Xu, K.; Wang, Y.; Wang, Q.; Luo, G.; Xing, M.; Zhong, W. Self-Powered and Plant-Wearable Hydrogel as LED Power Supply and Sensor for Promoting and Monitoring Plant Growth in Smart Farming. Chem. Eng. J. 2021, 422, 129499. [Google Scholar] [CrossRef]
- Zhao, Y.; Gao, S.; Zhu, J.; Li, J.; Xu, H.; Xu, K.; Cheng, H.; Huang, X. Multifunctional Stretchable Sensors for Continuous Monitoring of Long-Term Leaf Physiology and Microclimate. ACS Omega 2019, 4, 9522–9530. [Google Scholar] [CrossRef] [PubMed]
- Nassar, J.M.; Khan, S.M.; Villalva, D.R.; Nour, M.M.; Almuslem, A.S.; Hussain, M.M. Compliant Plant Wearables for Localized Microclimate and Plant Growth Monitoring. npj Flex. Electron 2018, 2, 24. [Google Scholar] [CrossRef]
- Hetzroni, A.; Miles, G.E.; Engel, B.A.; Hammer, P.A.; Latin, R.X. Machine Vision Monitoring of Plant Health. Adv. Sp. Res. 1994, 14, 203–212. [Google Scholar] [CrossRef] [PubMed]
- Zhang, Q.; Ying, Y.; Ping, J. Recent Advances in Plant Nanoscience. Adv. Sci. 2022, 9, 2103414. [Google Scholar] [CrossRef] [PubMed]
- Presti, D.L.; Cimini, S.; Massaroni, C.; D’amato, R.; Caponero, M.A.; De Gara, L.; Schena, E. Plant Wearable Sensors Based on FBG Technology for Growth and Microclimate Monitoring. Sensors 2021, 21, 6327. [Google Scholar] [CrossRef] [PubMed]
- Lo Presti, D.; Massaroni, C.; Schena, E. Optical Fiber Gratings for Humidity Measurements: A Review. IEEE Sens. J. 2018, 18, 9065–9074. [Google Scholar] [CrossRef]
- Lo Presti, D.; Di Tocco, J.; Massaroni, C.; Cimini, S.; Cinti, S.; D’amato, R.; Caponero, M.A.; De Gara, L.; Schena, E. Fiber Optic Plant Wearable Sensors for Growth and Microclimate Monitoring. In Proceedings of the 2022 IEEE International Workshop on Metrology for Industry 4.0 and IoT, MetroInd 4.0 and IoT, Trento, Italy, 7–9 June 2022; Institute of Electrical and Electronics Engineers Inc.: Piscataway, NJ, USA, 2022; pp. 371–376. [Google Scholar]
- Erdogan, T. Fiber Grating Spectra. J. Light. Technol. 1997, 15, 1277–1294. [Google Scholar] [CrossRef]










Disclaimer/Publisher’s Note: The statements, opinions and data contained in all publications are solely those of the individual author(s) and contributor(s) and not of MDPI and/or the editor(s). MDPI and/or the editor(s) disclaim responsibility for any injury to people or property resulting from any ideas, methods, instructions or products referred to in the content. |
© 2022 by the authors. Licensee MDPI, Basel, Switzerland. This article is an open access article distributed under the terms and conditions of the Creative Commons Attribution (CC BY) license (https://creativecommons.org/licenses/by/4.0/).
Share and Cite
Lo Presti, D.; Di Tocco, J.; Cimini, S.; Cinti, S.; Massaroni, C.; D’Amato, R.; Caponero, M.A.; De Gara, L.; Schena, E. Plant Growth Monitoring: Design, Fabrication, and Feasibility Assessment of Wearable Sensors Based on Fiber Bragg Gratings. Sensors 2023, 23, 361. https://doi.org/10.3390/s23010361
Lo Presti D, Di Tocco J, Cimini S, Cinti S, Massaroni C, D’Amato R, Caponero MA, De Gara L, Schena E. Plant Growth Monitoring: Design, Fabrication, and Feasibility Assessment of Wearable Sensors Based on Fiber Bragg Gratings. Sensors. 2023; 23(1):361. https://doi.org/10.3390/s23010361
Chicago/Turabian StyleLo Presti, Daniela, Joshua Di Tocco, Sara Cimini, Stefano Cinti, Carlo Massaroni, Rosaria D’Amato, Michele A. Caponero, Laura De Gara, and Emiliano Schena. 2023. "Plant Growth Monitoring: Design, Fabrication, and Feasibility Assessment of Wearable Sensors Based on Fiber Bragg Gratings" Sensors 23, no. 1: 361. https://doi.org/10.3390/s23010361
APA StyleLo Presti, D., Di Tocco, J., Cimini, S., Cinti, S., Massaroni, C., D’Amato, R., Caponero, M. A., De Gara, L., & Schena, E. (2023). Plant Growth Monitoring: Design, Fabrication, and Feasibility Assessment of Wearable Sensors Based on Fiber Bragg Gratings. Sensors, 23(1), 361. https://doi.org/10.3390/s23010361

