Design of a Chipless RFID Tag to Monitor the Performance of Organic Coatings on Architectural Cladding
Abstract
:1. Introduction
2. Methodology
2.1. Simulation
2.2. Production of the Antenna
2.3. Antenna Measurement
3. Results
3.1. Simulations
3.1.1. Initial Simulations
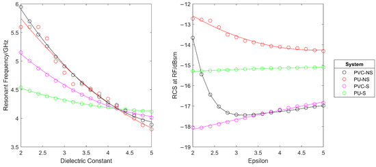
3.1.2. Simulated Changes in Dielectric Constant
3.1.3. Simulated Aging/Degradation
- The dielectric constant of the paint layer was increased by 0.025 to simulate water ingress. Previous work such as [30] has shown that water uptake by a coating leads to an increased dielectric constant of up to at least 8%.
- The diameter of small defect holes in the paint were increased by 0.01 mm to simulate defect growth. These were designed to be placed ‘randomly’ with no specific pattern to attempt to mimic as close as possible that which would occur in reality. The defects were placed centered on (−4, 0) (3, 3) (−3, −5) (−2, 7), with (0, 0) being the centre of the CMPA. This sort of defect is a known failure method in organic coatings as a result of mechanical shock and/or aging [40].
- The paint thickness was decreased by 0.001 mm to simulated UV degradation. A decrease in organic coating thickness is known to occur through chain scission as a result of organic coating exposure to UV, oxygen, and other atmospheric contaminants [41].
3.2. Experimental
3.2.1. Initial Test of the System
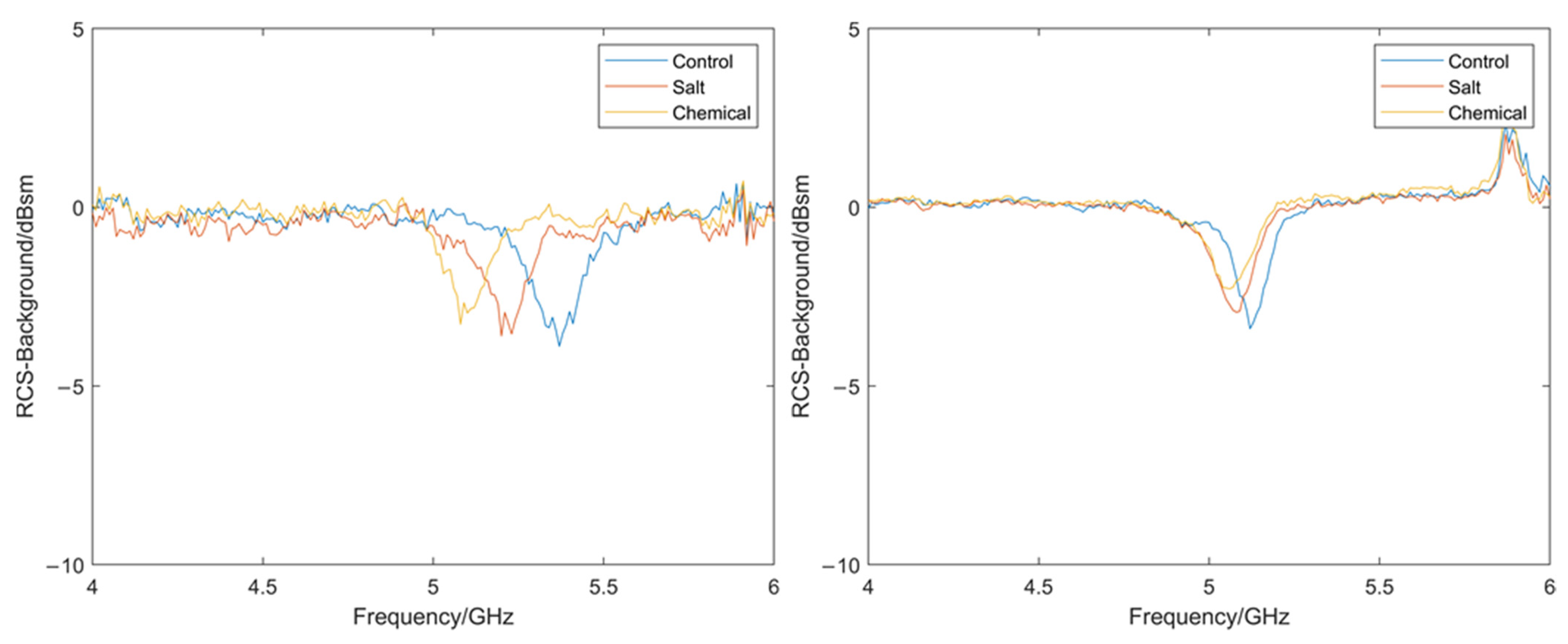
3.2.2. Detection of Artificial Weathering
4. Discussion
5. Conclusions
Author Contributions
Funding
Institutional Review Board Statement
Informed Consent Statement
Data Availability Statement
Acknowledgments
Conflicts of Interest
References
- Eurofer. European Steel in Figures 2020; Eurofer: Brussels, Belgium, 2021. [Google Scholar]
- Biezma, M.; Cristobal, R.J. Methodology to Study Cost of Corrosion. Int. J. Corros. Process. Corros. Control. 2005, 40, 344–352. [Google Scholar] [CrossRef]
- Koch, G.; Brongers, M.P.; Thompson, N.; Virmani, Y.; Payer, J. Corrosion Costs and Preventative Strategies in the United States; U.S. Department of Transport: Washington, DC, USA, 1998. [Google Scholar]
- Savill, T.; Jewell, E. Techniques for in situ monitoring the performance of organic coatings and their applicability to the pre-finished steel industry: A review. Sensors 2021, 21, 6334. [Google Scholar] [CrossRef] [PubMed]
- Singh, R. Corrosion and Corrosion Protection. In Pipeline Integrity Handbook, 2nd ed.; Elsevier: Amsterdam, The Netherlands, 2017; pp. 241–270. [Google Scholar]
- Enser, H.; Kulha, P.; Sell, J.K.; Schatzl-Linder, M.; Strauß, B.; Hilber, W.; Jakoby, B. Printed strain gauges embedded in organic coatings—Analysis of gauge factor and temperature dependence. Sens. Actuators A Phys. 2018, 276, 137–143. [Google Scholar] [CrossRef]
- Li, W.; Hintze, P.; Calle, L.M.; Buhrow, J.; Curran, J. Smart Coating for Corrosion Indication and Prevention: Recent Progress; Paper No: 09499; NACE: Houston, TX, USA, 2009; pp. 1–17. [Google Scholar]
- Diler, E.; Lédan, F.; LeBozec, N.; Thierry, D. Real-time monitoring of the degradation of metallic and organic coatings using electrical resistance sensors. Mater. Corros. 2017, 68, 1365–1376. [Google Scholar] [CrossRef]
- Cíhal, V.; Lasek, S.; Blahetová, M.; Kalabisová, E.; Krhutová, Z. Trends in the electrochemical polarization potentiodynamic reactivation method—EPR. Chem. Biochem. Eng. Q. 2007, 21, 47–54. [Google Scholar]
- Cai, G.; Wang, H.; Jiang, D.; Dong, Z. Impedance sensor for the early failure diagnosis of organic coatings. J. Coat. Technol. Res. 2018, 15, 1259–1272. [Google Scholar] [CrossRef]
- Hinton, A.J. Determination of Coating Adhesion Using Electrochemical Impedance Spectroscopy. Solartron. Anal. 2010, 2, 18–23. Available online: http://www.ameteksi.com/-/media/ameteksi/download_links/documentations/library/solartonanalytical/electrochemistry/technical%20note%20impedance%20spectroscopy%20for%20coatings.pdf?la=en (accessed on 11 March 2021).
- Simpson, T.C.; Moran, P.J.; Hampel, H.; Davis, G.D.; Shaw, B.A.; Arah, C.O.; Fritz, T.L.; Zankel, K. Electrochemical monitoring of organic coating degradation during atmospheric or vapor phase exposure. Corrosion 1990, 46, 331–336. [Google Scholar] [CrossRef]
- Davis, G.D.; Ross, R.A.; Dunn, R.C. Wireless, Battery-Powered Coating Health Monitor (CHM). In Proceedings of the CORROSION 2010, San Antonio, TX, USA, 14–18 March 2010; pp. 1–9. [Google Scholar]
- Shi, Y.; You, C. A sensor system designed for remote coating degradation detection. In Proceedings of the 2010 IEEE Sensors Applications Symposium (SAS), Limerick, Ireland, 23–25 February 2010; pp. 257–260. Available online: http://ieeexplore.ieee.org/document/5439388/ (accessed on 11 March 2021).
- Allahar, K.; Su, Q.; Bierwagen, G. Non-substrate EIS monitoring of organic coatings with embedded electrodes. Prog. Org. Coat. 2010, 67, 180–187. [Google Scholar] [CrossRef]
- Van Westing, E.P.M.; Ferrari, G.M.; de Wit, J.H.W. The determination of coating performance with impedance measurements—II. Water uptake of coatings. Corros Sci. 1994, 36, 957–977. Available online: https://linkinghub.elsevier.com/retrieve/pii/0010938X9490197X (accessed on 11 March 2021). [CrossRef]
- Kittel, J.; Celati, N.; Keddam, M.; Takenouti, H. New methods for the study of organic coatings by EIS. Prog. Org. Coat. 2001, 41, 93–98. Available online: http://linkinghub.elsevier.com/retrieve/pii/S0300944000001557 (accessed on 11 March 2021). [CrossRef]
- Buchheit, R.G. Corrosion resistant coatings and paints. In Handbook of Environmental Degradation of Materials, 3rd ed.; Elsevier Inc.: Amsterdam, The Netherlands, 2005; pp. 367–385. [Google Scholar]
- Bayer, G.T.; Zamanzadeh, M. Failure Analysis of Paints and Coatings. Pigment Resin Technol. 2014, 35, 1–37. [Google Scholar]
- Tator, K.B. Coating Deterioration. In Protective Organic Coatings; ASM International: Almere, The Netherlands, 2015; pp. 462–473. Available online: https://dl.asminternational.org/books/book/13/chapter/143061/coating-deterioration (accessed on 11 March 2021).
- Munger, C.G. Causes and Prevention of Paint Failure. In Good Painting Practice, Steel Structures Paint Manual; SSPC: Pittsburgh, PA, USA, 2014; pp. 1–21. [Google Scholar]
- Ryan, P.A.; Wolstenholme, R.P.; Howell, D.M. Durability of Cladding, A State of the Art Report; Institution of Civil Engineers: London, UK, 1994. [Google Scholar]
- Wiltshire, B.D.; Zarifi, T.; Zarifi, M.H. Passive Split Ring Resonator Tag Configuration for RFID-Based Wireless Permittivity Sensing. IEEE Sens. J. 2020, 20, 1904–1911. [Google Scholar] [CrossRef]
- Amin, E.M.; Karmakar, N.C.; Jensen, B.W. Fully printable chipless RFID multi-parameter sensor. Sens.Actuators A Phys. 2016, 248, 223–232. [Google Scholar] [CrossRef]
- Karmakar, N.C.; Amin, E.M.; Saha, J.K. Introduction. In Chipless RFID Sensors; Wiley: New York, NY, USA, 2016; pp. 1–245. [Google Scholar]
- Preradovic, S. Chipless RFID System for Barcode Replacement. 2009. Available online: https://bridges.monash.edu/articles/thesis/Chipless_RFID_system_for_barcode_replacement/4546315/1 (accessed on 11 March 2021).
- Marindra, A.M.J.; Tian, G.Y. Chipless RFID Sensor Tag for Metal Crack Detection and Characterization. IEEE Trans. Microw. Theory Tech. 2018, 66, 2452–2462. Available online: https://ieeexplore.ieee.org/document/8307772/ (accessed on 11 March 2021). [CrossRef]
- Balanis, C.A. Antenna Theory: Analysis and Design, 3rd ed.; John Wiley & Sons, Inc.: Hoboken, NJ, USA, 2005. [Google Scholar]
- Milligan, T.A. Modern Antenna Design; John Wiley & Sons, Inc.: Hoboken, NJ, USA, 2005; Available online: http://doi.wiley.com/10.1002/0471720615 (accessed on 11 March 2021).
- Khalifeh, R.; Lescop, B.; Gallée, F.; Rioual, S. Development of a radio frequency resonator for monitoring water diffusion in organic coatings. Sens. Actuators A Phys. 2016, 247, 30–36. [Google Scholar] [CrossRef]
- DassaultSystems. CST Studio Suite. Electromagnetic Field Simulation Software. 2022. Available online: https://www.3ds.com/products-services/simulia/products/cst-studio-suite/ (accessed on 7 April 2022).
- ANSYSInc. Ansys Granta EduPack Software. Cambridge, UK. 2020. Available online: www.ansys.com/materials (accessed on 11 March 2021).
- DassaultSystems. CST Material Library; CST Studio Suite: Providence, Rhode Island, 2021. [Google Scholar]
- KAB_ELECTRO_ACOUSTICS. Dielectric Constants. pp. 1–52. Available online: https://www.kabusa.com/Dilectric-Constants.pdf (accessed on 4 June 2020).
- Wroe, S.; Curtis-Thomas, C. Colorcoat HPS200 Ultra—Approval Inspection testing certification. BBA Tech. Approv. Constr. 2017, 1–7. [Google Scholar]
- MatWeb. Overview of materials for Thermoset Polyurethane. 2020. Available online: http://www.matweb.com/search/DataSheet.aspx?MatGUID=26606798bc9d4538a7c7eadf78ab082b (accessed on 4 June 2020).
- Wroe, S.; Cooper, G. Colorcoat Prisma-Approval inspection testing certification. BBA Tech. Approv. Constr. 2010, 1–8. [Google Scholar]
- CST_Microwave_Studio. Boundary Conditions—Boundaries. 2013. Available online: http://www.mweda.com/cst/cst2013/mergedprojects/CST_MICROWAVE_STUDIO/special_solvopt/special_solvopt_boundary_conditions_boundaries.htm (accessed on 3 June 2020).
- Pozar, D.M. Microstrip Antennas. Electromagnetics 1992, 12, 381–401. Available online: http://www.tandfonline.com/doi/abs/10.1080/02726349208908321 (accessed on 11 March 2021).
- De Leon, A.; Advincula, R.C. Conducting Polymers with Superhydrophobic Effects as Anticorrosion Coating. In Intelligent Coatings for Corrosion Control; Elsevier Inc.: Amsterdam, The Netherlands, 2015; pp. 409–430. [Google Scholar]
- Gerard Torney, N.; Harkin-Jones, E. Investigating the Recyclability of Polypropylene; Ulster University: Coleraine, UK, 2017; Available online: https://www.researchgate.net/publication/330797824 (accessed on 11 March 2021).
- Merck. IR Spectrum Table. Technical Data Sheet. 2022. Available online: https://www.sigmaaldrich.com/GB/en/technical-documents/technical-article/analytical-chemistry/photometry-and-reflectometry/ir-spectrum-table (accessed on 21 February 2022).




















| Component | Symbol | Dimension/mm |
|---|---|---|
| Antenna Radius | r | 10 |
| Antenna Thickness | t | 0.035 |
| Dielectric Thickness | pt | 0.211 (PVC) 0.040 (PU) |
| Zinc Thickness | zt | 0.04 |
| Metal Thickness | mt | 0.6 |
| Dielectric Constant (PVC & PU) | e | 3.5 |
| Sample Height/Width | m | 60 |
| Substrate Thickness | st | 0.00 (NS) 0.20 (S) |
| Substrate Height/Width | s | 0.00 (NS) 22.0 (S) |
| Component | Value/Properties | Reference |
|---|---|---|
| Steel Conductivity (σS) | 6.99 × 106 S/m | [32,33] |
| Zinc Conductivity (σz) | 1.69 × 107 S/m | [32,33] |
| Fr-4 Dielectric Constant (Ɛr) | 4.3 | [33] |
| Fr-4 Loss Tangent (δ) | 0.025 | [33] |
| System | Resonant Frequency/GHz | RCS at Resonant Frequency/dBsm | RCS Change/dBsm |
|---|---|---|---|
| PVC-NS | 4.556 | −17.41 | 3.48 |
| PU-NS | 4.672 | −13.87 | 0.03 |
| PVC-S | 4.380 | −17.43 | 3.33 |
| PU-S | 4.244 | −15.17 | 1.02 |
| System | Resonant Frequency/GHz | System h/mm | h Min/mm | h Max/mm |
|---|---|---|---|---|
| PVC-NS | 4.556 | 0.211 | 0.20 | 3.29 |
| PU-NS | 4.672 | 0.040 | 0.19 | 3.21 |
| PVC-S | 4.380 | 0.411 | 0.21 | 3.42 |
| PU-S | 4.244 | 0.240 | 0.21 | 3.53 |
| Aging Severity | Dielectric Constant | Defect Diameter/mm | Paint Thickness/mm |
|---|---|---|---|
| 1 | 3.500 | 0.00 | 0.211 (PVC) 0.040 (PU) |
| 2 | 3.525 | 0.01 | 0.210 (PVC) 0.039 (PU) |
| 3 | 3.550 | 0.02 | 0.209 (PVC) 0.038 (PU) |
| 4 | 3.575 | 0.03 | 0.208 (PVC) 0.037 (PU) |
| 5 | 3.600 | 0.04 | 0.207 (PVC) 0.036 (PU) |
| 6 | 3.625 | 0.05 | 0.206 (PVC) 0.035 (PU) |
| 7 | 3.650 | 0.06 | 0.205 (PVC) 0.034 (PU) |
| 8 | 3.675 | 0.07 | 0.204 (PVC) 0.033 (PU) |
Publisher’s Note: MDPI stays neutral with regard to jurisdictional claims in published maps and institutional affiliations. |
© 2022 by the authors. Licensee MDPI, Basel, Switzerland. This article is an open access article distributed under the terms and conditions of the Creative Commons Attribution (CC BY) license (https://creativecommons.org/licenses/by/4.0/).
Share and Cite
Savill, T.; Jewell, E. Design of a Chipless RFID Tag to Monitor the Performance of Organic Coatings on Architectural Cladding. Sensors 2022, 22, 3312. https://doi.org/10.3390/s22093312
Savill T, Jewell E. Design of a Chipless RFID Tag to Monitor the Performance of Organic Coatings on Architectural Cladding. Sensors. 2022; 22(9):3312. https://doi.org/10.3390/s22093312
Chicago/Turabian StyleSavill, Tim, and Eifion Jewell. 2022. "Design of a Chipless RFID Tag to Monitor the Performance of Organic Coatings on Architectural Cladding" Sensors 22, no. 9: 3312. https://doi.org/10.3390/s22093312
APA StyleSavill, T., & Jewell, E. (2022). Design of a Chipless RFID Tag to Monitor the Performance of Organic Coatings on Architectural Cladding. Sensors, 22(9), 3312. https://doi.org/10.3390/s22093312

