Rapid Estimation of Water Stress in Choy Sum (Brassica chinensis var. parachinensis) Using Integrative Approach
Abstract
:1. Introduction
2. Materials and Methods
2.1. Irrigation Treatments and Study Designs
2.2. Field Data Collection
2.2.1. Leaf Temperature and Air Temperature Measurement
2.2.2. Leaf Chlorophyll Content (LCC), Leaf Relative Water Content (LRWC) and Leaf Area Index (LAI) Measurement
2.2.3. Root Morphology Measurements
2.2.4. Image Acquisition and Estimation of the CWSIW
2.2.5. Acquisition and Processing of Spectral Data
2.3. Statistical Analysis
3. Result and Discussion
3.1. Variation in Volumetric Soil Water Content
3.2. Features of Spectral Reflectance in Cropping
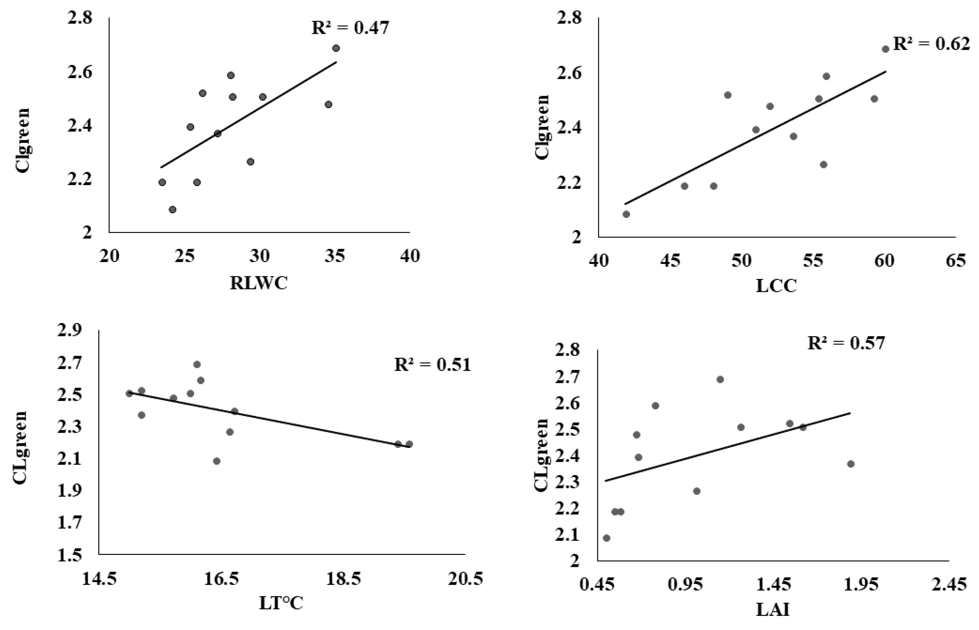
3.3. Correlation between Vegetative Indices and Leaf Temperature °C, Leaf Area Index, Relative Leaf Water Content, and Leaf Chlorophyll Content
3.4. Correlation between Water Stress Indicators and CWSIW
3.5. Correlation between CWSIW and VIs
3.6. Effect of Water Stress on Root Morphological Traits of Choy Sum
4. Conclusions
Author Contributions
Funding
Acknowledgments
Conflicts of Interest
References
- Zhang, H.; Xiong, Y.; Huang, G.; Xu, X.; Huang, Q. Effects of Water Stress on Processing Tomatoes Yield, Quality and Water Use Efficiency with Plastic Mulched Drip Irrigation in Sandy Soil of the Hetao Irrigation District. Agric. water Manag. 2017, 179, 205–214. [Google Scholar] [CrossRef]
- Alordzinu, K.E.; Li, J.; Lan, Y.; Appiah, S.A.; Al Aasmi, A.; Wang, H. Rapid Estimation of Crop Water Stress Index on Tomato Growth. Sensors 2021, 21, 5142. [Google Scholar] [CrossRef] [PubMed]
- Ihuoma, S.O.; Madramootoo, C.A. Sensitivity of Spectral Vegetation indices for Monitoring Water Stress in Tomato Plants. Comput. Electron. Agric. 2019, 163, 104860. [Google Scholar] [CrossRef]
- Sims, J.R.; Jackson, G.D. Rapid Analysis of Soil Nitrate with Chromotropic Acid. Soil Sci. Soc. Am. J. 1971, 35, 603–606. [Google Scholar] [CrossRef]
- Ustin, S.; Darling, D.; Kefauver, S.; Greenberg, J.; Cheng, Y.; Whiting, M. Remotely Sensed Estimates of Crop Water Demand. Int. Soc. Opt. Eng. 2004, 5544, 230–240. [Google Scholar] [CrossRef]
- Islam, J.; Kim, J.W.; Begum, M.; Sohel, A.T.; Lim, Y.-S. Physiological and Biochemical Changes in Sugar Beet Seedlings to Confer Stress Adaptability under Drought Condition. Plants 2020, 9, 1511. [Google Scholar] [CrossRef] [PubMed]
- Suárez, L.; Zarco-Tejada, P.J.; Sepulcre-Cantó, G.; Pérez-Priego, O.; Miller, J.R.; Jiménez-Muñoz, J.C.; Sobrino, J. Assessing Canopy PRI for Water Stress Detection with Diurnal Airborne Imagery. Remote Sens. Environ. 2008, 112, 560–575. [Google Scholar] [CrossRef]
- Parkash, V.; Singh, S. A Review on Potential Plant-Basedwater Stress Indicators for Vegetable Crops. Sustainbity 2020, 12, 3945. [Google Scholar] [CrossRef]
- Pék, Z.; Szuvandzsiev, P.; Daood, H.; Neményi, A.; Helyes, L. Effect of Irrigation on Yield Parameters and Antioxidant Profiles of Processing Cherry Tomato. Open Life Sci 2014, 9, 383–395. [Google Scholar] [CrossRef] [Green Version]
- Alordzinu, K.E.; Jiuhao, L.; Appiah, S.A.; Aasmi, A.A.L.; Blege, P.K.; Afful, E.A. Water Stress Affects the Physio-Morphological Development of Tomato Growth. African J. Agric. Res. 2021, 17, 733–742. [Google Scholar]
- Katsoulas, N.; Elvanidi, A.; Ferentinos, K.P.; Kacira, M.; Bartzanas, T.; Kittas, C. Crop Reflectance Monitoring as a Tool for Water Stress Detection in Greenhouses: A Review. Biosyst. Eng. 2016, 151, 374–398. [Google Scholar] [CrossRef]
- Yadav, S.; Sharma, K.D. Molecular and Morphophysiological Analysis of Drought Stress in Plants. In Plant Growth; Rigobelo, E.C., Ed.; IntechOpen: London, UK, 2016. [Google Scholar]
- Alordzinu, K.E.; Li, J.; Lan, Y.; Appiah, S.A.; Al Aasmi, A.; Wang, H.; Liao, J.; Sam-Amoah, L.K.; Qiao, S. Ground-Based Hyperspectral Remote Sensing for Estimating Water Stress in Tomato Growth in Sandy Loam and Silty Loam Soils. Sensors 2021, 21, 5705. [Google Scholar] [CrossRef] [PubMed]
- El-Shirbeny, M.A.; Abutaleb, K. Sentinel-1 Radar Data Assessment to Estimate Crop Water Stress. World J. Eng. Technol. 2017, 5, 47–55. [Google Scholar] [CrossRef] [Green Version]
- Poblete-Echeverría, C.; Espinace, D.; Sepúlveda-Reyes, D.; Zúñiga, M.; Sanchez, M. Analysis of Crop Water Stress Index (CWSI) for Estimating Stem Water Potential in Grapevines: Comparison between Natural Reference and Baseline Approaches. Acta Hortic. 2017, 1150, 189–194. [Google Scholar] [CrossRef]
- Espinoza, C.Z.; Khot, L.R.; Sankaran, S.; Jacoby, P.W. High Resolution Multispectral and Thermal Remote Sensing-Based Water Stress Assessment in Subsurface Irrigated Grapevines. Rem. Sens. 2017, 9, 961. [Google Scholar] [CrossRef] [Green Version]
- Jackson, R.D.; Idso, S.B.; Reginato, R.J.; Pinter, P.J. Canopy Temperature as a Crop Water Stress Indicator. Water Resour Res 1981, 17, 1133–1138. [Google Scholar] [CrossRef]
- Idso, S.B.; Jackson, R.D.; Pinter, P.J.; Hatfield, J.H. Normalizing the Stress Degree-Day Parameter for Environmental Variability. Agric Meteorol 1981, 24, 45–55. [Google Scholar] [CrossRef]
- Sishodia, R.P.; Ray, R.L.; Singh, S.K. Applications of Remote Sensing in Precision Agriculture: A Review. Remote Sens. 2020, 12, 3136. [Google Scholar] [CrossRef]
- Locke, A.M.; Ort, D.R. Leaf Hydraulic Conductance Declines in Coordination with Photosynthesis, Transpiration and Leaf Water Status as Soybean Leaves Age Regardless of Soil Moisture. J. Exp. Bot. 2014, 65, 6617–6627. [Google Scholar] [CrossRef] [Green Version]
- Ru, C.; Hu, X.; Wang, W.; Ran, H.; Song, T.; Guo, Y. Evaluation of the Crop Water Stress Index as an Indicator for the Diagnosis of Grapevine Water Deficiency in Greenhouses. Horticulturae 2020, 6, 86. [Google Scholar] [CrossRef]
- Sepaskhah, A.R.; Kashefipour, S.M. Relationships between Leaf Water Potential, CWSI, Yield and Fruit Quality of Sweet Lime under Drip Irrigation. Agric. Water Manag. 1994, 25, 13–21. [Google Scholar] [CrossRef]
- Paulus, D.; Zorzzi, I.C.; Rankrape, F. Soil Water Stress Ranges: Water Use Efficiency and Chinese Cabbage Production in Protected Cultivation. Hortic. Bras. 2019, 37, 309–314. [Google Scholar] [CrossRef]
- Ackah, E.; Kotei, R. Effect of Drought Length on the Performance of Cabbage (Brassica Oleracea Var Capitata) in the Forest-Savannah Transition Zone, Ghana. Plant Physiol. Reports 2021, 26, 74–83. [Google Scholar] [CrossRef]
- Osroosh, Y.; Peters, R.T.; Campbell, C.S.; Zhang, Q. Automatic Irrigation Scheduling of Apple Tress Using Therietical Crop Water Stress Index with and Innovative Dynamic Threshold. Comp. Electron, Agric 2015, 118, 193–203. [Google Scholar] [CrossRef]
- Wittamperuma, I.; Hafeez, M.; Pakparvar, M.; Louis, J. Remote-Sensing-Based Biophysical Models for Estimating LAI of Irrigated Crops in Murry Darling Basin. Int. Arch. Photogramm. Remote Sens. Spat. Inf. Sci. 2012, 34, 367–373. [Google Scholar]
- Cao, Z.; Wang, Q.; Zheng, C. Best Hyperspectral Indices for Tracing Leaf Water Status as Determined from Leaf Dehydration Experiments. Ecol. Indic. 2015, 54, 96–107. [Google Scholar] [CrossRef]
- Pirzad, A.; Shakiba, M.R.; Zehtab-Salmasi, S.; Mohammadi, S.A.; Darvishzadeh, R.; Samadi, A. Effect of Water Stress on Leaf Relative Water Content, Chlorophyll, Proline and Soluble Carbohydrates in Matricaria Chamomilla L. J. Med. Plants Res. 2011, 5, 2483–2488. [Google Scholar]
- Vile, D.; Garnier, E.; Shipley, B.; Laurent, G.; Navas, M.-L.; Roumet, C.; Lavorel, S.; Diaz, S.; Hodgson, J.G.; Lloret, F.; et al. Specific Leaf Area and Dry Matter Content Estimate Thickness in Laminar Leaves. Ann. Bot. 2005, 96, 1129–1136. [Google Scholar] [CrossRef]
- Cavalca, L.; Zanchi, R.; Corsini, A.; Colombo, M.; Romagnoli, C.; Canzi, E.; Andreoni, V. Arsenic-Resistant Bacteria Associated with Roots of the Wild Cirsium Arvense (L.) Plant from an Arsenic Polluted Soil, and Screening of Potential Plant Growth-Promoting Characteristics. Syst. Appl. Microbiol. 2010, 33, 154–164. [Google Scholar] [CrossRef]
- Tennant, D. A Test of a Modified Line Intersect Method of Estimating Root Length. J Ecol. 1975, 63, 995–1001. [Google Scholar] [CrossRef]
- Pang, W.; Crow, W.T.; Luc, J.E.; Mcsorley, R.; Kruse, J.K. Comparison of Water Displacement and WinRHIZO Software for Plant Root Parameter Assessment. Plant Dis. 2011, 95, 1308–1310. [Google Scholar] [CrossRef] [PubMed] [Green Version]
- Barber, S.A. Soil Nutrient Bioavailability: A Mechanistic Approach; John Wiley & Sons: Hoboken, NJ, USA, 1995. [Google Scholar]
- Al-Yahyai, R.; Schaffer, B.; Davies, F.S.; Muñoz-Carpena, R. Characterization of Soil-Water Retention of a Very Gravelly Loam Soil Varied with Determination Method. Soil Sci. 2006, 171, 85–93. [Google Scholar] [CrossRef] [Green Version]
- Gamon, J.A.; Penuelas, J.; Field, C.B. A Narrow-Waveband Spectral Index That Tracks Diurnal Changes in Photosynthetic Efficiency. Remote Sens. Environ. 1992, 41, 35–44. [Google Scholar] [CrossRef]
- Shukla, A.; Panchal, H.; Mishra, M.; Patel, P.R.; Srivastava, H.S.; Patel, P.; Shukla, A.K. Soil Moisture Estimation Using Gravimetric Technique and FDR Probe Technique: A Comparative Analysis. Am. Int. J. Res. Form. Appl. Nat. Sci. 2014, 89–92. [Google Scholar]
- Tanriverdi, C.; Atilgan, A.; Degirmenci, H.; Akyuz1, A. Comparasion of Crop Water Stress Index (CWSI) and Water Deficit Index (WDI) by using Remote Sensing (RS). Infrastruct. Ecol. Rural AREAS 2017, 879–894. [Google Scholar] [CrossRef]
- Guenette, K.G.; Hernandez-Ramirez, G. Can Faba Bean Physiological Responses Stem from Contrasting Traffic Management Regimes? Agronomy 2018, 8, 200. [Google Scholar] [CrossRef] [Green Version]
- Perera, R.S.; Cullen, B.R.; Eckard, R.J. Using Leaf Temperature to Improve Simulation of Heat and Drought Stresses in a Biophysical Model. Plants 2020, 9, 8. [Google Scholar] [CrossRef] [Green Version]
- Takács, S.; Pék, Z.; Csányi, D.; Daood, H.G.; Szuvandzsiev, P.; Palotás, G.; Helyes, L. Influence of Water Stress Levels on the Yield and Lycopene Content of Tomato. Water 2020, 12, 2165. [Google Scholar] [CrossRef]
- Nahar, K.; Ullah, S. Morphological and Physiological Characters of Tomato (Lycopersicon Esculentum Mill) Cultivars Under Water Stress. Bangladesh J. Agric. Res. 2012, 37, 355–360. [Google Scholar] [CrossRef] [Green Version]
- Carter, G. Primary and Secondary Effects of Water Content of the Spectral Reflectance of Leaves. Am. J. Bot. 1991, 78, 916–924. [Google Scholar] [CrossRef]
- Lahoz, I.; Pérez-de-Castro, A.; Valcárcel, M.; Macua, J.I.; Beltránd, J.; Rosellóc, S.; Cebolla-Cornejo, J. Effect of Water Deficit on the Agronomical Performance and Quality of Processing Tomato. Sci. Hortic 2016, 200, 55–65. [Google Scholar] [CrossRef] [Green Version]
- Gamon, J.A.; Huemmrich, K.F.; Wong, C.Y.S.; Ensminger, I.; Garrity, S.; Hollinger, D.Y.; Noormets, A.; Peñuelas, J. A Remotely Sensed Pigment Index Reveals Photosynthetic Phenology in Evergreen Conifers. Proc. Natl. Acad. Sci. USA 2016, 113, 13087–13092. [Google Scholar] [CrossRef] [PubMed] [Green Version]
- Rossini, M.; Fava, F.; Cogliati, S.; Meroni, M.; Marchesi, A.; Panigada, C. Assessing Canopy PRI from Airborne Imagery to Map Water Stress in Maize. ISPRS J. Photogramm. Remote Sens. 2013, 86, 168–177. [Google Scholar] [CrossRef]
- Zarco-Tejada, P.J.; González-Dugo, V.; Williams, L.E.; Suárez, L.; Berni, J.A.J.; Goldhamer, D.; Fereres, E. A PRI-Based Water Stress Index Combining Structural and Chlorophyll Effects: Assessment Using Diurnal Narrow-Band Airborne Imagery and the CWSI Thermal Index. Remote Sens. Environ. 2013, 138, 38–50. [Google Scholar] [CrossRef]
- Streher, A.S.; Torres, R.D.S.; Cerdeira-Morellato, L.P.; Freire-Silva, T.S. Accuracy and Limitations for Spectroscopic Prediction of Leaf Traits in Seasonally Dry Tropical Environments. Remote Sens. Environ. 2020, 244, 111828. [Google Scholar] [CrossRef]
- Jackson, R. Canopy Temperature and Crop Water Stress; Academic Press: New York, NY, USA, 1982; Volume 1. [Google Scholar]
- Gerhards, M.; Schlerf, M.; Rascher, U.; Udelhoven, T.; Juszczak, R.; Alberti, G.; Miglietta, F.; Inoue, Y. Analysis of Airborne Optical and Thermal Imagery for Detection of Water Stress Symptoms. Remote Sens. 2018, 10, 1139. [Google Scholar] [CrossRef] [Green Version]
- Idso, S.B. Non-Water-Stressed Baselines: A Key to Measuring and Interpreting Plant Water Stress. Agric. Meteorol. 1982, 27, 59–70. [Google Scholar] [CrossRef]
- Zhang, J.; Wang, J.; Chen, J.; Song, H.; Li, S.; Zhao, Y.; Tao, J.; Liu, J. Soil Moisture Determines Horizontal and Vertical Root Extension in the Perennial Grass Lolium Perenne L. Growing in Karst Soil. Front. Plant Sci. 2019, 10, 629. [Google Scholar] [CrossRef]
- Chun, H.C.; Jung, K.Y.; Choi, Y.D.; Lee, S.H.; Kang, H.W. Growth and Yield Characterization of Soybean (Glycine max L.) and Adzuki Bean (Vigna angularis L.) Cultivated from Paddy Fields with Different Topographic Features. J. Soil Sci. Fertil. 2018, 51, 536–546. [Google Scholar]
- Cai, G.; Vanderborght, J.; Covreur, V.; Mboh, C.M.; Vereecken, H. Parameterization of Root Water Uptake Models Considering Dynamic Root Distributions and Water Uptake Compensation. Vadose Zo. J. 2017, 17, 1–21. [Google Scholar] [CrossRef] [Green Version]
- Zeng, C.-Z.; Bie, Z.-L.; Yuan, B.-Z. Determination of Optimum Irrigation Water for Drip Irrigated Muskmelon (Cucumis melo L.) in Plastic Greenhouse. Agric. Water Manag. 2009, 96, 595–602. [Google Scholar] [CrossRef]
- Paungfoo-Lonhienne, C.; Redding, M.; Pratt, C.; Wang, W. Plant Growth Promoting Rhizobacteria Increase the Efficiency of Fertilisers While Reducing Nitrogen Loss. J. Environ. Manage. 2019, 233, 337–341. [Google Scholar] [CrossRef]
- Schachtman, D.P.; Goodger, J.Q. Chemical Root to Shoot Signaling under Drought. Trends Plant Sci. 2008, 13, 281–287. [Google Scholar] [CrossRef]
- Guo, Y.; Zhang, M.; Liu, Z.; Zhao, C.; Lu, H.; Zheng, L.; Li, Y.C. Applying and Optimizing Water-Soluble, Slow-Release Nitrogen Fertilizers for Water-Saving Agriculture. ACS omega 2020, 5, 11342–11351. [Google Scholar] [CrossRef] [PubMed]
- Chung, C.C.; Lin, C.P.; Wang, K.; Lin, C.; Sheng-Ngui, Y.J. Improved TDR Method for Quality Control of Soil-Nailing Works. Journalof Geotech. Geoenvironmental Eng. 2016, 142. [Google Scholar] [CrossRef]
- Xie, X.; Machikowa, T.; Wonprasaid, S. Fertigation Based on a Nutrient Balance Model for Cassava Production in Two Different Textured Soils. Plant Prod. Sci. 2020, 23, 407–416. [Google Scholar] [CrossRef] [Green Version]
- Wang, Y.; Janz, B.; Engedal, T.; Neergaard, A. de Effect of Irrigation Regimes and Nitrogen Rates on Water Use Efficiency and Nitrogen Uptake in Maize. Agric. Water Manag. 2017, 179, 271–276. [Google Scholar] [CrossRef] [Green Version]
- Mishra, A.; Uphoff, N. Morphological and Physiological Responses of Rice Roots and Shoots to Varying Water Regimes and Soil Microbial Densities. Arch. Agron. Soil Sci. 2013, 59, 705–731. [Google Scholar] [CrossRef]











| Growth Stages | RH (%) | Ra (w/m2) | Ta (°C) | VPD (kpa) |
|---|---|---|---|---|
| Initial growth stage | 62.3 | 300.31 | 25.4 | 0.33 |
| Vegetative stage | 67.6 | 297.98 | 23.4 | 0.39 |
| Flowering stage | 57.1 | 276.1 | 22.7 | 0.37 |
| Soil Properties | Values |
|---|---|
| Soil Texture | Sandy loam soil |
| pH | 5.54 ± 0.11 |
| Organic Matter (g/kg) | 15.8 ± 1.0 |
| Total N (g/kg) | 1.26 ± 0.02 |
| Total P(g/kg) | 0.88 ± 0.21 |
| Total K(g/kg) | 9.48 ± 0.03 |
| Alkalized N(mg/kg) | 451 ± 1.8 |
| Available P (mg/kg) | 185 ± 2.53 |
| Available K (mg/kg) | 439 ± 43.4 |
| Sand (%) | 47.6 ± 0.06 |
| Clay (%) | 17.3 ± 1.54 |
| Silt (%) | 35.1 ± 0.3 |
| Bulk density (g/cm3) | 1.34 ± 0.21 |
| Field capacity (%) | 0.21 ± 0.03 |
| Wilting point (%) | 0.09 ± 0.02 |
| Saturation point (%) | 0.49 ± 0.14 |
| Index | Formulae | References |
|---|---|---|
| Normalized difference vegetation index (NDVI) | [34] | |
| Renormalized difference vegetative index (RDVI) | [35] | |
| Green Chlorophyll index (CLgreen) | [36] | |
| Normalized difference water index (NDWI) | [37] | |
| Normalized photochemical reflective index (PRInorm) | [38] | |
| Photochemical reflective index (PRI) | [35] |
| Vegetative Indices | CWSIW |
|---|---|
| PRInorm | 0.71 *** |
| NDVI | 0.80 *** |
| NDWI | 0.87 *** |
| CLgreen | 0.62 *** |
| Treatments | ARL (cm) | RLD (g/cm3) | RWD (mg/cm3) | RD (mm) | TSA (m2) | RFW (g) | RDW (g) | SRL (m/g) |
|---|---|---|---|---|---|---|---|---|
| 60–70% FC (SWS) | 3921 ± 32.1 d | 1.38 ± 0.72 c | 0.06 ± 0.02 d | 0.14 ± 0.04 d | 0.03 ± 0.91 c | 1.67 ± 0.16 c | 0.17 ± 0.08 d | 273.09 ± 31.34 c |
| 70–80% FC (MWS) | 6505 ± 57.3 c | 2.28 ± 0.34 b | 0.08 ± 0.06 c | 0.22 ± 0.02 c | 0.06 ± 0.23 b | 2.35 ± 0.49 b | 0.23 ± 0.03 c | 285.26 ± 42.33 b |
| 80–90% FC (LWS) | 6830 ± 73.6 b | 2.40 ± 0.43 b | 0.09 ± 0.05 b | 0.24 ± 0.01 b | 0.06 ± 1.43 b | 2.27 ± 0.25 b | 0.26 ± 0.01 b | 265.71 ± 48.26 d |
| 90–100% FC (NWS) | 7870 ± 96.8 a | 4.75 ± 0.97 a | 0.10 ± 0.03 a | 0.31 ± 0.07 a | 0.08 ± 3.95 a | 2.42 ± 0.63 a | 0.28 ± 0.02 a | 334.91 ± 67.43 a |
Publisher’s Note: MDPI stays neutral with regard to jurisdictional claims in published maps and institutional affiliations. |
© 2022 by the authors. Licensee MDPI, Basel, Switzerland. This article is an open access article distributed under the terms and conditions of the Creative Commons Attribution (CC BY) license (https://creativecommons.org/licenses/by/4.0/).
Share and Cite
AL Aasmi, A.; Alordzinu, K.E.; Li, J.; Lan, Y.; Appiah, S.A.; Qiao, S. Rapid Estimation of Water Stress in Choy Sum (Brassica chinensis var. parachinensis) Using Integrative Approach. Sensors 2022, 22, 1695. https://doi.org/10.3390/s22051695
AL Aasmi A, Alordzinu KE, Li J, Lan Y, Appiah SA, Qiao S. Rapid Estimation of Water Stress in Choy Sum (Brassica chinensis var. parachinensis) Using Integrative Approach. Sensors. 2022; 22(5):1695. https://doi.org/10.3390/s22051695
Chicago/Turabian StyleAL Aasmi, Alaa, Kelvin Edom Alordzinu, Jiuhao Li, Yubin Lan, Sadick Amoakohene Appiah, and Songyang Qiao. 2022. "Rapid Estimation of Water Stress in Choy Sum (Brassica chinensis var. parachinensis) Using Integrative Approach" Sensors 22, no. 5: 1695. https://doi.org/10.3390/s22051695
APA StyleAL Aasmi, A., Alordzinu, K. E., Li, J., Lan, Y., Appiah, S. A., & Qiao, S. (2022). Rapid Estimation of Water Stress in Choy Sum (Brassica chinensis var. parachinensis) Using Integrative Approach. Sensors, 22(5), 1695. https://doi.org/10.3390/s22051695

