Multilevel Fine Fault Diagnosis Method for Motors Based on Feature Extraction of Fractional Fourier Transform
Abstract
:1. Introduction
2. Chirp Signal
3. The Proposed Method
3.1. Background and Definition of FRFT
3.2. The Method and Principle of Extracting Target Components by FRFT
3.3. Selection of Optimal Transformation Order of FRFT
- (1)
- Let the initial interval of the transformation order be (0,2);
- (2)
- Construct the objective function , and its expression is as follows:
- (3)
- Input signal amplitude , starting frequency , and frequency modulation frequency and set the estimation accuracy ;
- (4)
- For p = 0 to 2, and choose a larger step size to traverse the interval (0,2);
- (5)
- Calculate the value of the objective function and find the maximum value and its corresponding transformation order ;
- (6)
- Calculate the value of the objective function when the transform order of the signal p = 1;
- (7)
- If the step size at this time meets the requirements of the estimation accuracy , compare the values of with . If is greater than , then p = 1 is the optimal transformation order; if is greater than , the transformation order in step (5) is the optimal transformation order; otherwise, it goes to phase 2.
- (1)
- Let the transformation interval of transformation order p be ;
- (2)
- Then take the smaller step size and traverse on the transformation interval of step (1);
- (3)
- Calculate the value of the objective function and find the maximum value of the objective function in the interval and its corresponding transformation order ;
- (4)
- If the step size at this time meets the requirements of the estimation accuracy , compare the values of with . If is greater than , then the transformation order in step (3) is the optimal transformation order; if is greater than , then p = 1 is the optimal transformation order. Otherwise, it is transferred to the next phase according to the analogy of the previous two phases until the step size in the phase satisfies the requirement of estimation accuracy , and the optimal transformation order of the FRFT is obtained.
4. Fault Diagnosis Method Based on SVM
4.1. Determination of the Optimal Classification Hyperplane
4.2. Nonlinear Problems in the Original Sample Space
5. Experiments
5.1. Digital Simulation Test with Three Typical Signals
5.2. Actual Operating Data Test
5.3. Conclusions
6. Summary and Prospect
Author Contributions
Funding
Institutional Review Board Statement
Informed Consent Statement
Data Availability Statement
Conflicts of Interest
References
- Gan, M.; Wang, C. Construction of hierarchical diagnosis network based on deep learning and its application in the fault pattern recognition of rolling element bearings. Mech. Syst. Signal Processing 2016, 72, 92–104. [Google Scholar] [CrossRef]
- Dash, S.; Venkatasubramanian, V. Challenges in the industrial applications of fault diagnostic systems. Comput. Chem. Eng. 2000, 24, 785–791. [Google Scholar] [CrossRef]
- Wen, C.; Xu, X. Multi-Source Uncertain Information Fusion Theory and Application; Science Press: Beijing, China, 2012; pp. 1–6. [Google Scholar]
- Wen, C.; Lu, F. Summary of Fault Diagnosis Methods Based on Deep Learning. J. Electron. Inf. Technol. 2020, 42, 234–248. [Google Scholar]
- Widodo, A.; Yang, B.S. Support vector machine in machine condition monitoring and fault diagnosis. Mech. Syst. Signal Processing 2007, 21, 2560–2574. [Google Scholar] [CrossRef]
- Zhang, J.; Zhang, D.; Yang, M.; Xu, X.; Liu, W.; Wen, C. Fault Diagnosis for Rotating Machinery with Scarce Labeled Samples: A Deep CNN Method Based on Knowledge-Transferring from Shallow Models. In Proceedings of the International Conference on Control, Automation and Information Sciences (ICCAIS), IEEE, Hangzhou, China, 24–27 October 2018; pp. 482–487. [Google Scholar]
- Li, J.; Zhou, D.; Si, X.; Chen, M.; Xu, C. A review of micro-fault diagnosis methods. Control. Theory Appl. 2012, 29, 1517–1528. [Google Scholar]
- Wen, C.; Lu, F.; Bao, Z.; Liu, M. Summary of data-driven micro-fault diagnosis methods. Acta Autom. Sin. 2016, 42, 1286–1299. [Google Scholar]
- Namias, V. The fractional order Fourier transform and its application to quantum mechanics. IMA J. Appl. Math. 1980, 25, 241–265. [Google Scholar] [CrossRef]
- Mendlovic, D.; Ozaktas, H.M. Fractional Fourier transforms and their optical implementation I. J. Opt. Soc. Am. A-Option Image Sci. Vis. 1993, 10, 1875–1881. [Google Scholar] [CrossRef] [Green Version]
- Lin, L.F.; Wang, H.Q.; Lv, W.Y.; Zhong, S.C. A novel parameter-induced stochastic resonance phenomena in fractional Fourier domain. Mech. Syst. Signal Processing 2016, 76–77, 771–779. [Google Scholar] [CrossRef]
- Ozaktas, H.M.; Mendlovic, D. Fractional Fourier transforms and their optical implementation II. J. Opt. Soc. Am. A-Option Image Sci. Vis. 1993, 10, 2522–2531. [Google Scholar] [CrossRef] [Green Version]
- Qi, L.; Tao, R.; Zhou, S.; Wang, Y. Multi-component LFM signal detection and parameter estimation based on fractional Fourier transform. Chin. Sci. E 2003, 33, 749–759. [Google Scholar]
- Tao, R.; Qi, L.; Wang, Y. The Principle and Application of Fractional Fourier Transform; Tsinghua University Press: Beijing, China, 2009. [Google Scholar]
- Liu, F.; Xu, H.F.; Tao, R.; Wang, Y. Research on resolution between multi-component LFM signals in the fractional Fourier domain. Sci. Chin. Inf. Sci. 2012, 55, 1301–1312. [Google Scholar] [CrossRef]
- Deng, B.; Cui, S.; Wang, X. Error analysis of LFM signal parameter estimation based on Ozaktas algorithm. Telecommun. Technol. 2013, 53, 5. [Google Scholar]
- Mei, J.; Xiao, Y. Gearbox Early Fault Fine Diagnosis Technology-the Principle and Application of Fractional Fourier Transform; Higher Education Press: Beijing, China, 2016. [Google Scholar]
- Liu, J.; Chen, A.; Zhao, N. An intelligent fault diagnosis method for bogie bearings of metro vehicles based on weighted improved DS evidence theory. Energies 2018, 11, 232. [Google Scholar] [CrossRef] [Green Version]
- Rybak, G.S.; Strzecha, K. Short-Time Fourier Transform Based on Metaprogramming and the Stockham Optimization Method. Sensors 2021, 21, 4123. [Google Scholar] [CrossRef]
- Pang, B.; Tang, G.; Tian, T. Rolling bearing fault diagnosis based on SVDP-based kurtogram and Iterative autocorrelation of Teager energy operator. IEEE Access 2019, 7, 77222–77237. [Google Scholar] [CrossRef]
- Rodriguez-Hernandez, M.A. Reduced Cycle Spinning Method for the Undecimated Wavelet Transform. Sensors 2019, 19, 2777. [Google Scholar] [CrossRef] [Green Version]
- Singh, R.; Garg, H.; Guleria, V. Haar wavelet collocation method for Lane–Emden equations with Dirichlet, Neumann and Neumann–Robin boundary conditions. J. Comput. Appl. Math. 2019, 346, 150–161. [Google Scholar] [CrossRef]
- Adebayo, T.S.; Kirikkaleli, D. Impact of renewable energy consumption, globalization, and technological innovation on environmental degradation in Japan: Application of wavelet tools. Environ. Dev. Sustain. 2021, 23, 16057–16082. [Google Scholar] [CrossRef]
- Villanueva, J.; Bueno, M.; Simon, J.; Molinas, M.; Flores, J.; Mendez, P.E. Application of Hilbert-Huang transform in the analysis of satellite-communication signals. Rev. Iberoam. Autom. Inform. Ind. 2020, 17, 181–189. [Google Scholar] [CrossRef]
- Dehghani, M.; Ghiasi, M.; Niknam, T.; Kavousi-Fard, A.; Padmanaban, S. False data injection attack detection based on Hilbert-huang transform in AC smart islands. IEEE Access 2020, 8, 179002–179017. [Google Scholar] [CrossRef]
- Luque, J.; Anguita, D.; Pérez, F.; Denda, R. Spectral Analysis of Electricity Demand Using Hilbert–Huang Transform. Sensors 2020, 20, 2912. [Google Scholar] [CrossRef] [PubMed]
- Mousavi, A.A.; Zhang, C.; Masri, S.F.; Gholipour, G. Structural damage localization and quantification based on a CEEMDAN Hilbert transform neural network approach: A model steel truss bridge case study. Sensors 2020, 20, 1271. [Google Scholar] [CrossRef] [PubMed] [Green Version]
- Mandal, S.; Nair, M.A.; Kumar, V.S. Hilbert-Huang transform analysis of surface wavefield under tropical cyclone Hudhud. Appl. Ocean. Res. 2020, 101, 102269. [Google Scholar] [CrossRef]
- Goyal, D.; Choudhary, A.; Pabla, B.S.; Dhami, S.S. Support vector machines based non-contact fault diagnosis system for bearings. J. Intell. Manuf. 2019, 31, 1275–1289. [Google Scholar] [CrossRef]
- Ali, A.M.; Uzundurukan, E.; Kara, A. Assessment of features and classifiers for Bluetooth RF fingerprinting. IEEE Access 2019, 7, 50524–50535. [Google Scholar] [CrossRef]
- Voznesensky, A.; Kaplun, D. Adaptive signal processing algorithms based on EMD and ITD. IEEE Access 2019, 7, 171313–171321. [Google Scholar] [CrossRef]
- Heydari, M.H.; Avazzadeh, Z.; Haromi, M. A wavelet approach for solving multi-term variable-order time fractional diffusion-wave equation. Appl. Math. Comput. 2019, 341, 215–228. [Google Scholar] [CrossRef]
- Gelman, L.; Ottley, M. New processing techniques for transient signals with non-linear variation of the instantaneous frequency in time. Mech. Syst. Signal Processing 2006, 20, 1254–1262. [Google Scholar] [CrossRef]
- Guo, J.; Zou, H.; Yang, X.; Liu, G. Parameter estimation of multicomponent chirp signals via sparse representation. IEEE Trans. Aerosp. Electron. Syst. 2011, 47, 2261–2268. [Google Scholar] [CrossRef]
- Chen, S.; Peng, Z.; Yang, Y.; Dong, X.; Zhang, W. Intrinsic chirp component decomposition by using Fourier series representation. Signal Processing 2017, 137, 319–327. [Google Scholar] [CrossRef]
- Song, P.; He, Y.; Cui, W. Statistical property feature extraction based on FRFT for fault diagnosis of analog circuits. Analog. Integr. Circuits Signal Processing 2016, 87, 427–436. [Google Scholar] [CrossRef]
- Li, X.; Ma, Z.; Kang, D.; Li, X. Fault diagnosis for rolling bearing based on VMD-FRFT. Measurement 2020, 155, 107554. [Google Scholar] [CrossRef]
- Shen, Y.J.; Yang, S.P. A new blind-source-separation method and its application to fault diagnosis of rolling bearing. Int. J. Nonlinear Sci. Numer. Simul. 2006, 7, 245–250. [Google Scholar] [CrossRef]
- Xu, S.; Tao, S.; Zheng, W.; Chai, Y.; Ma, M.; Ding, L. Multiple Open-Circuit Fault Diagnosis for Back-to-Back Converter of PMSG Wind Generation System Based on Instantaneous Amplitude Estimation. IEEE Trans. Instrum. Meas. 2021, 70, 1–13. [Google Scholar] [CrossRef]
- Xu, S.; Feng, L.; Chai, Y.; He, Y. Analysis of A-stationary random signals in the linear canonical transform domain. Signal Processing 2018, 146, 126–132. [Google Scholar] [CrossRef]
- Wen, T.; Xie, G.; Cao, Y.; Cai, B. A DNN-Based Channel Model for Network Planning in Train Control Systems. IEEE Trans. Intell. Transp. Syst. 2021; early access. [Google Scholar] [CrossRef]
- Kong, Y.; Ma, X.; Wen, C. A New Method of Deep Convolutional Neural Network Image Classification Based on Knowledge Transfer in Small Label Sample Environment. Sensors 2022, 22, 898. [Google Scholar] [CrossRef]
- Ye, L.; Ma, X.; Wen, C. Rotating Machinery Fault Diagnosis Method by Combining Time-Frequency Domain Features and CNN Knowledge Transfer. Sensors 2021, 21, 8168. [Google Scholar] [CrossRef]
- Ma, X.; Wen, C.; Wen, T. An Asynchronous and Real-time Update Paradigm of Federated Learning for Fault Diagnosis. IEEE Trans. Ind. Inform. 2021, 17, 8531–8540. [Google Scholar] [CrossRef]
- Ma, X.; Wen, C. An Asynchronous Federated Learning Paradigm for Fault Diagnosis. Chin. J. Electron. 2021, 30, 10. [Google Scholar]
- Yang, X. Research on Non-Stationary Signal Analysis Method Based on FRFT. Master’s Thesis, University of Electronic Science and Technology of China, Chengdu, China, 2015. [Google Scholar]
- Zhang, L.; Zhou, W.; Jiao, L. Wavelet support vector machine. IEEE Trans. Syst. Man Cybern. Part B (Cybern.) 2004, 34, 34–39. [Google Scholar] [CrossRef] [PubMed] [Green Version]
- Shao, Y. Application Research of Fractional Fourier Transform Algorithm. Master’s Thesis, Harbin University of Science and Technology, Harbin, China, 2016. [Google Scholar]
- Tian, J. Research on Fault Diagnosis Method Based on Deep Learning. Master’s Thesis, Hangzhou Dianzi University, Hangzhou, China, 2020. [Google Scholar]
- Wen, C.; Cheng, X.; Xu, D.; Wen, C. Filter design based on characteristic functions for one class of multi-dimensional nonlinear non-Gaussian systems. Automatica 2017, 82, 171–180. [Google Scholar] [CrossRef]
- Xiaohui, S.; Chenglin, W.; Tao, W. Maximum Correntropy High-Order Extended Kalman Filter. Chin. J. Electron. 2022, 31, 190–198. [Google Scholar] [CrossRef]
- Wang, Q.; Sun, X.; Wen, C. Design Method for a Higher Order Extended Kalman Filter Based on Maximum Correlation Entropy and a Taylor Network System. Sensors 2021, 21, 5864. [Google Scholar] [CrossRef]
- Liu, X.; Wen, C.; Sun, X. Design Method of High-Order Kalman Filter for Strong Nonlinear System Based on Kronecker Product Transform. Sensors 2022, 22, 653. [Google Scholar] [CrossRef]









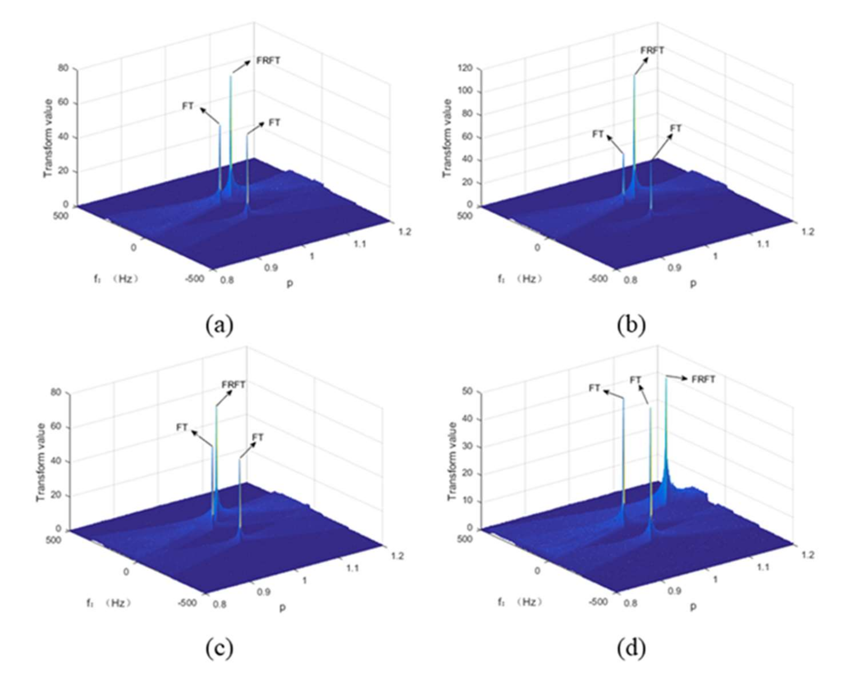
| Chirp Signal Parameters | Energy Concentration Position after FRFT (Peak Point) | ||||
|---|---|---|---|---|---|
| 1 | 100 | 5 | 1.0320 | 75.1522 | 124.80 |
| 1.5 | 100 | 5 | 1.0320 | 112.8217 | 124.80 |
| 1 | 150 | 5 | 1.0320 | 69.8297 | 174.70 |
| 1 | 100 | 20 | 1.1260 | 48.1132 | 196.10 |
| Test Model | Precision | Recall |
|---|---|---|
| Model 1 | 74% | 69% |
| Model 2 | 79% | 71.5% |
| Model 3 | 81% | 72.5% |
| Model 4 | 82% | 76.3% |
| Model 5 | 84% | 79.5% |
| Model 6 | 92% | 90.5% |
| Fault Data Type | Model 2 | Model 3 | Model 4 | Model 5 |
|---|---|---|---|---|
| RU1 | 81% | 97% | 100% | 100% |
| RU3 | 79% | 91% | 96% | 99% |
| RU5 | 71% | 71% | 76% | 80% |
| PPB | 79% | 83% | 72% | 97% |
| RU7 | 82% | 34% | 45% | 50% |
| PL | 85% | 59% | 69% | 51% |
| Fault Data Type | Model 1 | Model 2 | Model 5 | Model 6 |
|---|---|---|---|---|
| RU1 | 70% | 81% | 100% | 100% |
| RU3 | 72% | 79% | 99% | 99% |
| RU5 | 68% | 71% | 80% | 80% |
| PPB | 71% | 79% | 97% | 97% |
| RU7 | 69% | 82% | 50% | 82% |
| PL | 68% | 85% | 51% | 85% |
| Experimental Model | Classification Method | RU1 | RU3 | RU5 | PPB | RU7 | PL |
|---|---|---|---|---|---|---|---|
| Model 1 | PCA + SVM | 70% | 72% | 68% | 71% | 69% | 68% |
| Model 2 | FT + SVM | 81% | 79% | 71% | 79% | 82% | 85% |
| Model 3 | FRFT (p = 0.977) + SVM | 97% | 91% | 71% | 83% | 34% | 59% |
| Model 4 | FRFT (p = 1.133) + SVM | 100% | 96% | 76% | 72% | 45% | 69% |
| Model 5 | FRFT (p is optimal transformation order) + SVM | 100% | 99% | 80% | 97% | 50% | 51% |
| Model 6 | FRFT + FT + SVM | 100% | 99% | 80% | 97% | 82% | 85% |
Publisher’s Note: MDPI stays neutral with regard to jurisdictional claims in published maps and institutional affiliations. |
© 2022 by the authors. Licensee MDPI, Basel, Switzerland. This article is an open access article distributed under the terms and conditions of the Creative Commons Attribution (CC BY) license (https://creativecommons.org/licenses/by/4.0/).
Share and Cite
Wu, H.; Ma, X.; Wen, C. Multilevel Fine Fault Diagnosis Method for Motors Based on Feature Extraction of Fractional Fourier Transform. Sensors 2022, 22, 1310. https://doi.org/10.3390/s22041310
Wu H, Ma X, Wen C. Multilevel Fine Fault Diagnosis Method for Motors Based on Feature Extraction of Fractional Fourier Transform. Sensors. 2022; 22(4):1310. https://doi.org/10.3390/s22041310
Chicago/Turabian StyleWu, Hao, Xue Ma, and Chenglin Wen. 2022. "Multilevel Fine Fault Diagnosis Method for Motors Based on Feature Extraction of Fractional Fourier Transform" Sensors 22, no. 4: 1310. https://doi.org/10.3390/s22041310
APA StyleWu, H., Ma, X., & Wen, C. (2022). Multilevel Fine Fault Diagnosis Method for Motors Based on Feature Extraction of Fractional Fourier Transform. Sensors, 22(4), 1310. https://doi.org/10.3390/s22041310

