Degradation of Sub-Micrometer Sensitive Polymer Layers of Acoustic Sensors Exposed to Chlorpyrifos Water-Solution
Abstract
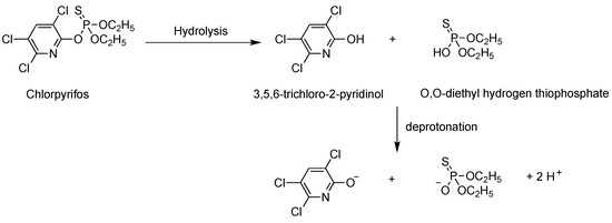
:1. Introduction
2. Materials and Methods
2.1. Design of Sensors and Active Sensitive Layers
2.1.1. Design of Sensors
2.1.2. Active Sensitive Layers
2.2. Deposition of Polymers
2.2.1. Polymers Films for SAW Devices
2.2.2. PBMA Films for FT-IR Analysis
2.2.3. PBMA Films for AFM Analysis
2.2.4. Thickness Measurements
2.2.5. Solution of Chlorpyrifos
3. Results
3.1. Investigation of Sensing Capabilities
3.2. Physico-Chemical Analysis of Sensitive Layers
3.3. FT-IR Spectra
4. Discussion
5. Conclusions
Supplementary Materials
Author Contributions
Funding
Data Availability Statement
Conflicts of Interest
References
- Sustainable Development Goals. Available online: https://www.un.org/sustainabledevelopment/water-action-decade/ (accessed on 23 December 2021).
- Tajik, S.; Beitollahi, H.; Njead, F.G.; Dourandish, Z.; Khalilzadeh, M.A.; Jang, H.W.; Venditti, R.A.; Varma, R.S.; Shokouhimehr, M. Recent developpments in polymer nanocomposite-based electrochemical sensors for detecting environmental pollutants. Ind. Eng. Chem. Res. 2021, 60, 1112–1136. [Google Scholar] [CrossRef]
- Chapman, J.; Truong, V.K.; Elbourne, A.; Gangadoo, S.; Cheeseman, S.; Rajapaksha, P.; Latham, K.; Crawford, R.J.; Cozzolino, D. Combining chemometrics and sensors: Toward new applications in monitoring and environmental analysis. Chem. Rev. 2020, 120, 6048–6069. [Google Scholar] [CrossRef] [PubMed]
- Adhikari, P.; Bender, F.; Josse, F.; Ricco, A.J. Polymer-plasticizer coatings for shear horizontal-surface acoustic wave sensors for long-term monitoring of BTEX analytes in liquid-phase. In Proceedings of the 2016 IEEE International Frequency Control Symposium (IFCS), New Orleans, LA, USA, 9–12 May 2016; pp. 1–2. [Google Scholar] [CrossRef]
- Adhikari, P.; Alderson, L.; Bender, F.; Ricco, A.J.; Josse, F. Investigation of polymer–plasticizer blends as SH-SAW sensor coatings for detection of benzene in water with high sensitivity and long-term stability. ACS Sens. 2017, 2, 157–164. [Google Scholar] [CrossRef] [Green Version]
- Rabus, D.; Friedt, J.-M.; Arapan, L.; Lamare, S.; Baqué, M.; Auduoin, G.; Chérioux, F. Subsurface H2S detection by a surface acoustic wave passive wireless sensor interrogated with a ground penetrating radar. ACS Sens. 2020, 5, 1075–1081. [Google Scholar] [CrossRef]
- Ballantine, D.S.; Wohltjen, H. Surface acoustic wave devices for chemical analysis. Anal. Chem. 1989, 61, 704A–715A. [Google Scholar] [CrossRef]
- Lange, K.; Rapp, B.E.; Rapp, M. Surface acoustic wave biosensors: A review. Anal. Bioanal. Chem. 2008, 391, 1509–1519. [Google Scholar] [CrossRef]
- Gizeli, E.; Lowe, C.R. Biomolecular Sensors; Taylor & Francis: New York, NY, USA, 2002. [Google Scholar] [CrossRef]
- Devkota, J.; Ohodnicki, P.R.; Greve, D.W. SAW sensors for chemical vapors and gases. Sensors 2017, 17, 801. [Google Scholar] [CrossRef] [PubMed] [Green Version]
- Go, D.B.; Atashbar, M.Z.; Ramshani, Z.; Chang, H.-C. Surface acoustic wave devices for chemical sensing and microfluidics: A review and perspective. Anal. Methods 2017, 9, 4112–4134. [Google Scholar] [CrossRef] [PubMed]
- Caliendo, C.; Verardi, P.; Verona, E.; D’Amico, A.; Di Natale, C.; Saggio, G.; Serafini, M.; Paolesse, R.; Huq, S.E. Advances in SAW-based gas sensors. Smart Mater. Struct. 1997, 6, 689–699. [Google Scholar] [CrossRef]
- McQuade, D.T.; Pullen, A.E.; Swager, T.M. Conjugated Polymer-Based Chemical Sensors. Chem. Rev. 2000, 100, 2537–2574. [Google Scholar] [CrossRef]
- Leibl, N.; Haupt, K.; Gonzato, C.; Duma, L. Molecularly Imprinted Polymers for Chemical Sensing: A Tutorial Review. Chemosensors 2021, 9, 123. [Google Scholar] [CrossRef]
- Liron, Z.; Kaushansky, N.; Frishman, G.; Kaplan, D.; Greenblatt, J. The polymer-coated SAW sensor as a gravimetric sensor. Anal. Chem. 1997, 69, 2848–2854. [Google Scholar] [CrossRef]
- Pan, Y.; Zhang, L.; Cao, B.; Xue, X.; Liu, W.; Zhang, C.; Wang, W. Effects of temperature and humidity on the performance of a PECH polymer coated SAW sensor. RSC Adv. 2020, 10, 18099–18106. [Google Scholar] [CrossRef]
- Sayago, I.; Fernandez, M.J.; Fontecha, J.L.; Horrillo, M.C.; Vera, C.; Obieta, I.; Bustero, I. Surface acoustic wave gas sensors based on polyisobutylene and carbon nanotube composites. Sens. Actuators B Chem. 2011, 156, 1–5. [Google Scholar] [CrossRef]
- Rahman, H.U.; Asghar, W.; Nazir, W.; Sandhu, M.A.; Ahmed, A.; Khalid, N. A comprehensive review on chlorpyrifos toxicity with special reference to endocrine disruption: Evidence of mechanism, exposures and mitigation strategies. Sci. Total Environ. 2021, 755, 142649. [Google Scholar] [CrossRef]
- Xu, F.-Q.; Wang, W.; Xue, X.-F.; Hu, H.-L.; Liu, X.-L.; Pan, Y. Development of a Wireless and Passive SAW-Based Chemical Sensor for Organophosphorous Compound Detection. Sensors 2015, 15, 30187–30198. [Google Scholar] [CrossRef] [PubMed] [Green Version]
- Skotadis, E.; Kanaris, A.; Aslandis, E.; Michalis, P.; Kalatzis, N.; Chatzipapadoloupos, F.; Marianos, N.; Tsoukalas, D. A sensing approach for automated and real-time pesticide detection in the scope of smart-farming. Comput. Electron. Agric. 2020, 178, 105759. [Google Scholar] [CrossRef]
- Mensah-Brown, A.K.; Wenzel, M.J.; Bender, F.; Josse, F. Analysis of the absorption kinetics for the detection of parathion using hybrid organic/inorganic coating on SH-SAW devices in aqueous solution. Sens. Actuators B Chem. 2014, 196, 504–510. [Google Scholar] [CrossRef]
- Tsortos, A.; Papadakis, G.; Mitsakakis, K.; Melzak, K.A.; Gizeli, E. Quantitative Determination of Size and Shape of Surface-Bound DNA Using an Acoustic Wave Sensor. Biophys. J. 2008, 94, 2706–2715. [Google Scholar] [CrossRef] [Green Version]
- Samarentsis, A.G.; Pantazis, A.K.; Tsortos, A.; Friedt, J.-M.; Gizeli, E. Hybrid Sensor Device for Simultaneous Surface Plasmon Resonance and Surface Acoustic Wave Measurements. Sensors 2020, 20, 6177. [Google Scholar] [CrossRef]
- Oh, H.; Fu, C.; Kim, K.; Lee, K. Wireless and Simultaneous Detections of Multiple Bio-Molecules in a Single Sensor Using Love Wave Biosensor. Sensors 2014, 14, 21660–21675. [Google Scholar] [CrossRef] [PubMed] [Green Version]
- Kasuya, M.; Sano, Y.; Kawashima, M.; Kurihara, K. Evaluation of Interfacial pH Using Surface Forces Apparatus Fluorescence Spectroscopy. Langmuir 2021, 37, 5073–5080. [Google Scholar] [CrossRef] [PubMed]









Publisher’s Note: MDPI stays neutral with regard to jurisdictional claims in published maps and institutional affiliations. |
© 2022 by the authors. Licensee MDPI, Basel, Switzerland. This article is an open access article distributed under the terms and conditions of the Creative Commons Attribution (CC BY) license (https://creativecommons.org/licenses/by/4.0/).
Share and Cite
Rabus, D.; Lotthammer, F.; Degret, J.; Arapan, L.; Palmino, F.; Friedt, J.-M.; Cherioux, F. Degradation of Sub-Micrometer Sensitive Polymer Layers of Acoustic Sensors Exposed to Chlorpyrifos Water-Solution. Sensors 2022, 22, 1203. https://doi.org/10.3390/s22031203
Rabus D, Lotthammer F, Degret J, Arapan L, Palmino F, Friedt J-M, Cherioux F. Degradation of Sub-Micrometer Sensitive Polymer Layers of Acoustic Sensors Exposed to Chlorpyrifos Water-Solution. Sensors. 2022; 22(3):1203. https://doi.org/10.3390/s22031203
Chicago/Turabian StyleRabus, David, Fanny Lotthammer, Joscelyn Degret, Lilia Arapan, Frank Palmino, Jean-Michel Friedt, and Frédéric Cherioux. 2022. "Degradation of Sub-Micrometer Sensitive Polymer Layers of Acoustic Sensors Exposed to Chlorpyrifos Water-Solution" Sensors 22, no. 3: 1203. https://doi.org/10.3390/s22031203
APA StyleRabus, D., Lotthammer, F., Degret, J., Arapan, L., Palmino, F., Friedt, J.-M., & Cherioux, F. (2022). Degradation of Sub-Micrometer Sensitive Polymer Layers of Acoustic Sensors Exposed to Chlorpyrifos Water-Solution. Sensors, 22(3), 1203. https://doi.org/10.3390/s22031203

