Plasmonic Sensors beyond the Phase Matching Condition: A Simplified Approach
Abstract
1. Introduction
2. Materials and Methods
2.1. Lossless HPWG Sensor
2.2. Lossy HPWG Sensor
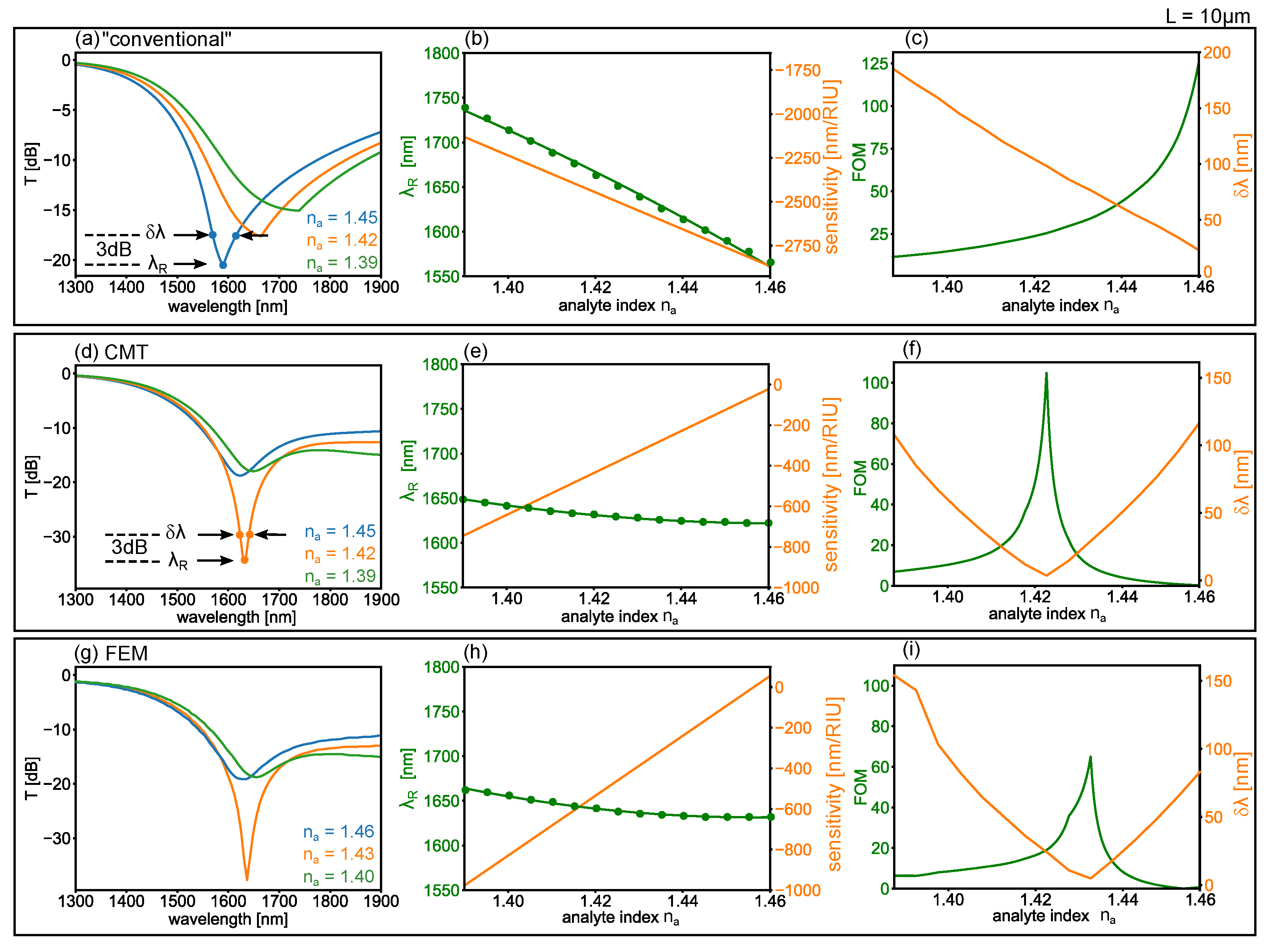
3. Results
4. Discussion
4.1. Operate at the Phase Matching Wavelength
4.2. Calculate the Nominal Sensitivity
4.3. Operate above the Exceptional Point
4.4. Identify the Nominal Device Length
4.5. Calculate the FOM
4.5.1. “Conventional” Mode Approach
4.5.2. Coupled Mode Theory Approach
4.6. Towards Optical Fibre Plasmonic Sensors
- The present dielectric waveguide is formed by a high-index, sub-wavelength silicon core and a silica cladding: its higher propagation constant provides access to the short-range SPP, which is supported at all wavelengths shown and does not cut off. In contrast, fibre plasmonic sensors typically use a wavelength-scale lower-index silica (SiO2) core, wherein the effective index of the dielectric mode is close to the refractive index of silica (). This mode typically phase-matches to the weakly confined long-range surface plasmon (LR-SPP) [56] for an analyte refractive index close to , and typically cuts off close to regions where the supermodes anti-cross [48]. High-order plasmonic modes in metallic nanowires also cut off across the visible and infrared spectrum [57,58]. The present formalism can only only be applied in regions of the parameter space where the uncoupled bound states are supported, i.e., below modal cutoff.
- The present plasmonic sensor is a two-mode system, because each uncoupled waveguide is single mode. Fibre plasmonic sensors, on the other hand, typically have core sizes of several wavelengths in diameter, and can be highly multi-mode. In multi-mode dielectric fibres, the dimensions of the matrix in Equation (6) must therefore be increased to account for the additional modes and coupling coefficients [59].
- Finally, we wish to point out that, in order to achieve sharp resonances and high FOMs in multi-mode sensors, a single-mode waveguide/fibre at input- and output- is required, which filters out higher-order modes, because these have the effect of washing out sharp resonant dips and lowering the FOM [25,48].
5. Conclusions
Author Contributions
Funding
Institutional Review Board Statement
Informed Consent Statement
Data Availability Statement
Acknowledgments
Conflicts of Interest
References
- Guo, X. Surface plasmon resonance based biosensor technique: A review. J. Biophotonics 2012, 5, 483–501. [Google Scholar] [CrossRef] [PubMed]
- Chung, T.; Lee, S.Y.; Song, E.Y.; Chun, H.; Lee, B. Plasmonic nanostructures for nano-scale bio-sensing. Sensors 2011, 11, 10907–10929. [Google Scholar] [CrossRef] [PubMed]
- Coskun, A.F.; Cetin, A.E.; Galarreta, B.C.; Alvarez, D.A.; Altug, H.; Ozcan, A. Lensfree optofluidic plasmonic sensor for real-time and label-free monitoring of molecular binding events over a wide field-of-view. Sci. Rep. 2014, 4, 6789. [Google Scholar] [CrossRef] [PubMed]
- Beuwer, M.A.; Prins, M.W.; Zijlstra, P. Stochastic protein interactions monitored by hundreds of single-molecule plasmonic biosensors. Nano Lett. 2015, 15, 3507–3511. [Google Scholar] [CrossRef]
- Im, H.; Shao, H.; Park, Y.I.; Peterson, V.M.; Castro, C.M.; Weissleder, R.; Lee, H. Label-free detection and molecular profiling of exosomes with a nano-plasmonic sensor. Nat. Biotechnol. 2014, 32, 490–495. [Google Scholar] [CrossRef]
- Gandhi, M.A.; Chu, S.; Senthilnathan, K.; Babu, P.R.; Nakkeeran, K.; Li, Q. Recent advances in plasmonic sensor-based fibre optic probes for biological applications. Appl. Sci. 2019, 9, 949. [Google Scholar] [CrossRef]
- Danlard, I.; Akowuah, E.K. Assaying with PCF-based SPR refractive index biosensors: From recent configurations to outstanding detection limits. Opt. Fibre Technol. 2020, 54, 102083. [Google Scholar] [CrossRef]
- Kretschmann, E.; Raether, H. Radiative decay of non radiative surface plasmons excited by light. Z. Für Naturforschung A 1968, 23, 2135–2136. [Google Scholar] [CrossRef]
- Otto, A. Excitation of nonradiative surface plasma waves in silver by the method of frustrated total reflection. Z. Für Phys. A Hadron. Nucl. 1968, 216, 398–410. [Google Scholar] [CrossRef]
- Berini, P. Bulk and surface sensitivities of surface plasmon waveguides. New J. Phys. 2008, 10, 105010. [Google Scholar] [CrossRef]
- Hoa, X.D.; Kirk, A.; Tabrizian, M. Towards integrated and sensitive surface plasmon resonance biosensors: A review of recent progress. Biosens. Bioelectron. 2007, 23, 151–160. [Google Scholar] [CrossRef] [PubMed]
- Dostalek, J.; Čtyrokỳ, J.; Homola, J.; Brynda, E.; Skalskỳ, M.; Nekvindova, P.; Špirková, J.; Škvor, J.; Schröfel, J. Surface plasmon resonance biosensor based on integrated optical waveguide. Sens. Actuators B Chem. 2001, 76, 8–12. [Google Scholar] [CrossRef]
- Chamanzar, M.; Xia, Z.; Yegnanarayanan, S.; Adibi, A. Hybrid integrated plasmonic-photonic waveguides for on-chip localized surface plasmon resonance (LSPR) sensing and spectroscopy. Opt. Express 2013, 21, 32086–32098. [Google Scholar] [CrossRef] [PubMed]
- Peyskens, F.; Dhakal, A.; Van Dorpe, P.; Le Thomas, N.; Baets, R. Surface enhanced Raman spectroscopy using a single mode nanophotonic-plasmonic platform. ACS Photonics 2016, 3, 102–108. [Google Scholar] [CrossRef]
- Slavık, R.; Homola, J.; Brynda, E. A miniature fibre optic surface plasmon resonance sensor for fast detection of staphylococcal enterotoxin B. Biosens. Bioelectron. 2002, 17, 591–595. [Google Scholar] [CrossRef]
- Wieduwilt, T.; Tuniz, A.; Linzen, S.; Goerke, S.; Dellith, J.; Hübner, U.; Schmidt, M.A. Ultrathin niobium nanofilms on fibre optical tapers–a new route towards low-loss hybrid plasmonic modes. Sci. Rep. 2015, 5, 17060. [Google Scholar] [CrossRef]
- Vaiano, P.; Carotenuto, B.; Pisco, M.; Ricciardi, A.; Quero, G.; Consales, M.; Crescitelli, A.; Esposito, E.; Cusano, A. Lab on Fibre Technology for biological sensing applications. Laser Photonics Rev. 2016, 10, 922–961. [Google Scholar] [CrossRef]
- Tuniz, A.; Schmidt, M.A. Interfacing optical fibres with plasmonic nanoconcentrators. Nanophotonics 2018, 7, 1279–1298. [Google Scholar] [CrossRef]
- Caucheteur, C.; Guo, T.; Albert, J. Review of plasmonic fibre optic biochemical sensors: Improving the limit of detection. Anal. Bioanal. Chem. 2015, 407, 3883–3897. [Google Scholar] [CrossRef]
- Klantsataya, E.; Jia, P.; Ebendorff-Heidepriem, H.; Monro, T.M.; François, A. Plasmonic fibre optic refractometric sensors: From conventional architectures to recent design trends. Sensors 2017, 17, 12. [Google Scholar] [CrossRef]
- Xu, Y.; Bai, P.; Zhou, X.; Akimov, Y.; Png, C.E.; Ang, L.K.; Knoll, W.; Wu, L. Optical refractive index sensors with plasmonic and photonic structures: Promising and inconvenient truth. Adv. Opt. Mater. 2019, 7, 1801433. [Google Scholar] [CrossRef]
- Wu, D.K.; Lee, K.J.; Pureur, V.; Kuhlmey, B.T. Performance of refractive index sensors based on directional couplers in photonic crystal fibres. J. Light. Technol. 2013, 31, 3500–3510. [Google Scholar] [CrossRef]
- White, I.M.; Fan, X. On the performance quantification of resonant refractive index sensors. Opt. Express 2008, 16, 1020–1028. [Google Scholar] [CrossRef] [PubMed]
- Wu, D.K.; Kuhlmey, B.T.; Eggleton, B.J. Ultrasensitive photonic crystal fibre refractive index sensor. Opt. Lett. 2009, 34, 322–324. [Google Scholar] [CrossRef] [PubMed]
- Tuniz, A.; Schmidt, M.A.; Kuhlmey, B.T. Influence of non-Hermitian mode topology on refractive index sensing with plasmonic waveguides. Photonics Res. 2022, 10, 719–730. [Google Scholar] [CrossRef]
- Sharma, A.K.; Jha, R.; Gupta, B. Fibre-optic sensors based on surface plasmon resonance: A comprehensive review. IEEE Sens. J. 2007, 7, 1118–1129. [Google Scholar] [CrossRef]
- Sarid, D.; Challener, W.A. Modern Introduction to Surface Plasmons: Theory, Mathematica Modeling, and Applications; Cambridge University Press: Cambridge, UK, 2010. [Google Scholar]
- Degiron, A.; Cho, S.Y.; Tyler, T.; Jokerst, N.M.; Smith, D.R. Directional coupling between dielectric and long-range plasmon waveguides. New J. Phys. 2009, 11, 015002. [Google Scholar] [CrossRef]
- Tuniz, A.; Schmidt, M.A. Broadband efficient directional coupling to short-range plasmons: Towards hybrid fibre nanotips. Opt. Express 2016, 24, 7507–7524. [Google Scholar] [CrossRef]
- Lee, H.; Schmidt, M.; Uebel, P.; Tyagi, H.; Joly, N.; Scharrer, M.; Russell, P.S.J. Optofluidic refractive-index sensor in step-index fibre with parallel hollow micro-channel. Opt. Express 2011, 19, 8200–8207. [Google Scholar] [CrossRef]
- Lee, K.J.; Liu, X.; Vuillemin, N.; Lwin, R.; Leon-Saval, S.G.; Argyros, A.; Kuhlmey, B.T. Refractive index sensor based on a polymer fibre directional coupler for low index sensing. Opt. Express 2014, 22, 17497–17507. [Google Scholar] [CrossRef]
- Rakić, A.D.; Djurišić, A.B.; Elazar, J.M.; Majewski, M.L. Optical properties of metallic films for vertical-cavity optoelectronic devices. Appl. Opt. 1998, 37, 5271–5283. [Google Scholar] [CrossRef] [PubMed]
- Malitson, I.H. Interspecimen comparison of the refractive index of fused silica. J. Opt. Soc. Am. B 1965, 55, 1205–1209. [Google Scholar] [CrossRef]
- Akowuah, E.K.; Gorman, T.; Haxha, S. Design and optimization of a novel surface plasmon resonance biosensor based on Otto configuration. Opt. Express 2009, 17, 23511–23521. [Google Scholar] [CrossRef] [PubMed]
- Grimm, P.; Razinskas, G.; Huang, J.S.; Hecht, B. Driving plasmonic nanoantennas at perfect impedance matching using generalized coherent perfect absorption. Nanophotonics 2021, 10, 1879–1887. [Google Scholar] [CrossRef]
- Čtyroky, J.; Homola, J.; Skalsky, M. Modelling of surface plasmon resonance waveguide sensor by complex mode expansion and propagation method. Opt. Quantum Electron. 1997, 29, 301–311. [Google Scholar] [CrossRef]
- Čtyrokỳ, J.; Homola, J.; Lambeck, P.; Musa, S.; Hoekstra, H.; Harris, R.; Wilkinson, J.; Usievich, B.; Lyndin, N. Theory and modelling of optical waveguide sensors utilising surface plasmon resonance. Sens. Actuators B Chem. 1999, 54, 66–73. [Google Scholar] [CrossRef]
- Fan, B.; Liu, F.; Li, Y.; Huang, Y.; Miura, Y.; Ohnishi, D. Refractive index sensor based on hybrid coupler with short-range surface plasmon polariton and dielectric waveguide. Appl. Phys. Lett. 2012, 100, 111108. [Google Scholar] [CrossRef]
- Kumar, M.; Kumar, A.; Tripathi, S.M. Optical waveguide biosensor based on modal interference between surface plasmon modes. Sens. Actuators B Chem. 2015, 211, 456–461. [Google Scholar] [CrossRef]
- Taras, A.K.; Tuniz, A.; Bajwa, M.A.; Ng, V.; Dawes, J.M.; Poulton, C.G.; de Sterke, C.M. Shortcuts to adiabaticity in waveguide couplers–theory and implementation. Adv. Phys. X 2021, 6, 1894978. [Google Scholar] [CrossRef]
- Vassallo, C. About coupled-mode theories for dielectric waveguides. J. Light. Technol. 1988, 6, 294–303. [Google Scholar] [CrossRef]
- Hardy, A.; Streifer, W. Coupled mode theory of parallel waveguides. J. Light. Technol. 1985, 3, 1135–1146. [Google Scholar] [CrossRef]
- Chuang, S.L. A coupled mode formulation by reciprocity and a variational principle. J. Light. Technol. 1987, 5, 5–15. [Google Scholar] [CrossRef]
- Snyder, A.W.; Love, J.D. Optical Waveguide Theory; Chapman and Hall: London, UK, 1983; Chapter 29. [Google Scholar]
- Marcuse, D. Directional couplers made of nonidentical asymmetric slabs. Part I: Synchronous couplers. J. Light. Technol. 1987, 5, 113–118. [Google Scholar] [CrossRef]
- Ng, V.; Tuniz, A.; Dawes, J.M.; de Sterke, C.M. Insights from a systematic study of crosstalk in adiabatic couplers. OSA Contin. 2019, 2, 629–639. [Google Scholar] [CrossRef]
- Burke, J.; Stegeman, G.; Tamir, T. Surface-polariton-like waves guided by thin, lossy metal films. Phys. Rev. B 1986, 33, 5186. [Google Scholar] [CrossRef]
- Tuniz, A.; Wieduwilt, T.; Schmidt, M.A. Tuning the Effective PT Phase of Plasmonic Eigenmodes. Phys. Rev. Lett. 2019, 123, 213903. [Google Scholar] [CrossRef]
- Wave Optics Module User’s Guide; COMSOL Multiphysics v. 5.3; COMSOL AB: Stockholm, Sweden, 2017; pp. 47–48.
- Miri, M.A.; Alu, A. Exceptional points in optics and photonics. Science 2019, 363, eaar7709. [Google Scholar] [CrossRef]
- Fan, Z.; Li, S.; Liu, Q.; An, G.; Chen, H.; Li, J.; Chao, D.; Li, H.; Zi, J.; Tian, W. High sensitivity of refractive index sensor based on analyte-filled photonic crystal fibre with surface plasmon resonance. IEEE Photonics J. 2015, 7, 1–9. [Google Scholar] [CrossRef]
- Nayak, J.K.; Jha, R. Numerical simulation on the performance analysis of a graphene-coated optical fibre plasmonic sensor at anti-crossing. Appl. Opt. 2017, 56, 3510–3517. [Google Scholar] [CrossRef]
- Zhou, C.; Zhang, Y.; Xia, L.; Liu, D. Photonic crystal fibre sensor based on hybrid mechanisms: Plasmonic and directional resonance coupling. Opt. Commun. 2012, 285, 2466–2471. [Google Scholar] [CrossRef]
- Pathak, A.; Ghosh, S.; Gangwar, R.; Rahman, B.; Singh, V. Metal nanowire assisted hollow core fibre sensor for an efficient detection of small refractive index change of measurand liquid. Plasmonics 2019, 14, 1823–1830. [Google Scholar] [CrossRef]
- Khanikar, T.; Singh, V.K. V groove fibre plasmonic sensor with facile resonance tunability. Optik 2021, 243, 167480. [Google Scholar] [CrossRef]
- Berini, P. Long-range surface plasmon polaritons. Adv. Opt. Photonics 2009, 1, 484–588. [Google Scholar] [CrossRef]
- Schmidt, M.; Russell, P.S.J. Long-range spiralling surface plasmon modes on metallic nanowires. Opt. Express 2008, 16, 13617–13623. [Google Scholar] [CrossRef] [PubMed]
- Tyagi, H.; Lee, H.; Uebel, P.; Schmidt, M.; Joly, N.; Scharrer, M.; Russell, P.S.J. Plasmon resonances on gold nanowires directly drawn in a step-index fibre. Opt. Lett. 2010, 35, 2573–2575. [Google Scholar] [CrossRef]
- Hardy, A.; Streifer, W.; Osiński, M. Coupled-mode equations for multimode waveguide systems in isotropic or anisotropic media. Opt. Lett. 1986, 11, 742–744. [Google Scholar] [CrossRef]
- Yang, X.; Lu, Y.; Wang, M.; Yao, J. A photonic crystal fibre glucose sensor filled with silver nanowires. Opt. Commun. 2016, 359, 279–284. [Google Scholar] [CrossRef]
- Mishra, S.K.; Zou, B.; Chiang, K.S. Surface-plasmon-resonance refractive-index sensor with Cu-coated polymer waveguide. IEEE Photonics Technol. Lett. 2016, 28, 1835–1838. [Google Scholar] [CrossRef]
- An, G.; Li, S.; Yan, X.; Zhang, X.; Yuan, Z.; Wang, H.; Zhang, Y.; Hao, X.; Shao, Y.; Han, Z. Extra-broad photonic crystal fibre refractive index sensor based on surface plasmon resonance. Plasmonics 2017, 12, 465–471. [Google Scholar] [CrossRef]
- Liu, C.; Yang, L.; Lu, X.; Liu, Q.; Wang, F.; Lv, J.; Sun, T.; Mu, H.; Chu, P.K. Mid-infrared surface plasmon resonance sensor based on photonic crystal fibres. Opt. Express 2017, 25, 14227–14237. [Google Scholar] [CrossRef]
- Chen, X.; Xia, L.; Li, C. Surface plasmon resonance sensor based on a novel D-shaped photonic crystal fibre for low refractive index detection. IEEE Photonics J. 2018, 10, 1–9. [Google Scholar]
- Haque, E.; Hossain, M.A.; Namihira, Y.; Ahmed, F. Microchannel-based plasmonic refractive index sensor for low refractive index detection. Appl. Opt. 2019, 58, 1547–1554. [Google Scholar] [CrossRef] [PubMed]
- Islam, M.S.; Cordeiro, C.M.; Sultana, J.; Aoni, R.A.; Feng, S.; Ahmed, R.; Dorraki, M.; Dinovitser, A.; Ng, B.W.H.; Abbott, D. A Hi-Bi ultra-sensitive surface plasmon resonance fibre sensor. IEEE Access 2019, 7, 79085–79094. [Google Scholar] [CrossRef]
- Al Mahfuz, M.; Hossain, M.A.; Haque, E.; Hai, N.H.; Namihira, Y.; Ahmed, F. Dual-core photonic crystal fibre-based plasmonic RI sensor in the visible to near-IR operating band. IEEE Sens. J. 2020, 20, 7692–7700. [Google Scholar] [CrossRef]
- Gomez-Cardona, N.; Reyes-Vera, E.; Torres, P. High sensitivity refractive index sensor based on the excitation of long-range surface plasmon polaritons in H-shaped optical fibre. Sensors 2020, 20, 2111. [Google Scholar] [CrossRef] [PubMed]
- Mahfuz, M.A.; Hossain, M.A.; Haque, E.; Hai, N.H.; Namihira, Y.; Ahmed, F. A bimetallic-coated, low propagation loss, photonic crystal fibre based plasmonic refractive index sensor. Sensors 2019, 19, 3794. [Google Scholar] [CrossRef]
- Liu, Q.; Sun, J.; Sun, Y.; Ren, Z.; Liu, C.; Lv, J.; Wang, F.; Wang, L.; Liu, W.; Sun, T.; et al. Surface plasmon resonance sensor based on photonic crystal fibre with indium tin oxide film. Opt. Mater. 2020, 102, 109800. [Google Scholar] [CrossRef]
- Islam, M.S.; Islam, M.R.; Sultana, J.; Dinovitser, A.; Ng, B.W.H.; Abbott, D. Exposed-core localized surface plasmon resonance biosensor. JOSA B 2019, 36, 2306–2311. [Google Scholar] [CrossRef]
- Guo, Y.; Li, J.; Wang, X.; Zhang, S.; Liu, Y.; Wang, J.; Wang, S.; Meng, X.; Hao, R.; Li, S. Highly sensitive sensor based on D-shaped microstructure fibre with hollow core. Opt. Laser Technol. 2020, 123, 105922. [Google Scholar] [CrossRef]
- Cunha, N.H.; Da Silva, J.P. High Sensitivity Surface Plasmon Resonance Sensor Based on a Ge-Doped Defect and D-Shaped Microstructured Optical Fibre. Sensors 2022, 22, 3220. [Google Scholar] [CrossRef]








Publisher’s Note: MDPI stays neutral with regard to jurisdictional claims in published maps and institutional affiliations. |
© 2022 by the authors. Licensee MDPI, Basel, Switzerland. This article is an open access article distributed under the terms and conditions of the Creative Commons Attribution (CC BY) license (https://creativecommons.org/licenses/by/4.0/).
Share and Cite
Tuniz, A.; Song, A.Y.; Della Valle, G.; de Sterke, C.M. Plasmonic Sensors beyond the Phase Matching Condition: A Simplified Approach. Sensors 2022, 22, 9994. https://doi.org/10.3390/s22249994
Tuniz A, Song AY, Della Valle G, de Sterke CM. Plasmonic Sensors beyond the Phase Matching Condition: A Simplified Approach. Sensors. 2022; 22(24):9994. https://doi.org/10.3390/s22249994
Chicago/Turabian StyleTuniz, Alessandro, Alex Y. Song, Giuseppe Della Valle, and C. Martijn de Sterke. 2022. "Plasmonic Sensors beyond the Phase Matching Condition: A Simplified Approach" Sensors 22, no. 24: 9994. https://doi.org/10.3390/s22249994
APA StyleTuniz, A., Song, A. Y., Della Valle, G., & de Sterke, C. M. (2022). Plasmonic Sensors beyond the Phase Matching Condition: A Simplified Approach. Sensors, 22(24), 9994. https://doi.org/10.3390/s22249994

