Phases of Match-Play in Professional Australian Football: Positional Demands and Match-Related Fatigue
Abstract
1. Introduction
2. Materials and Methods
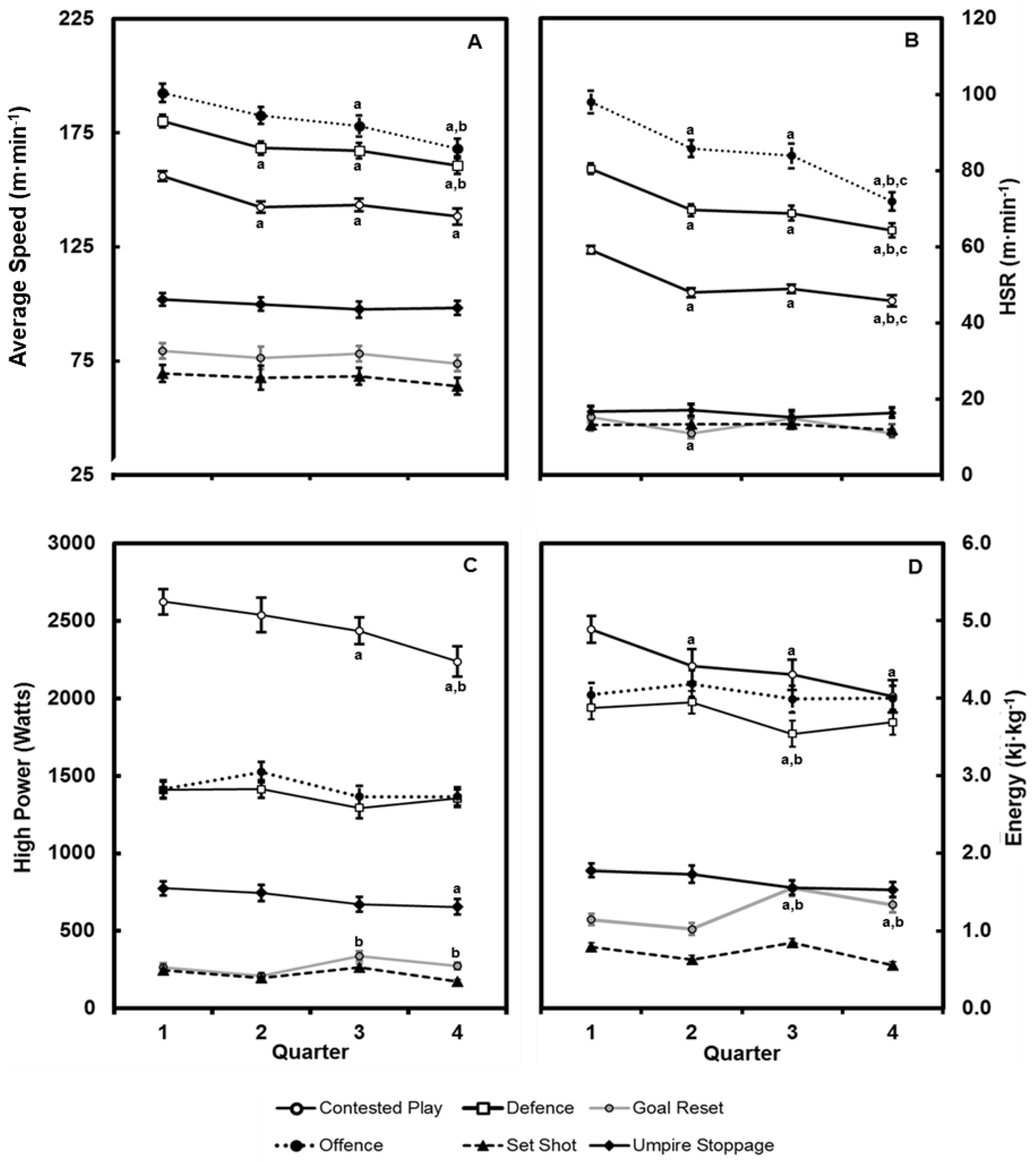
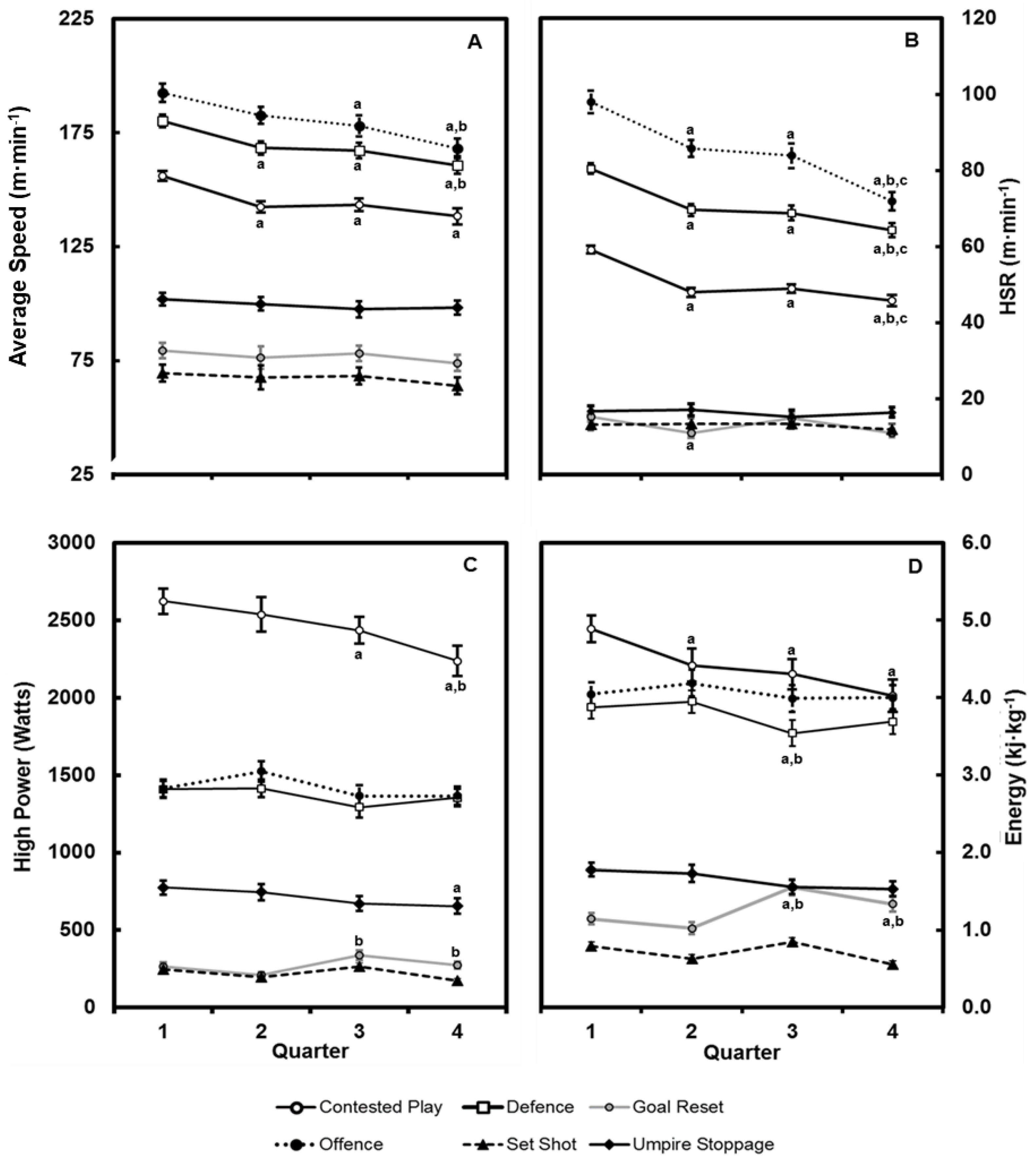
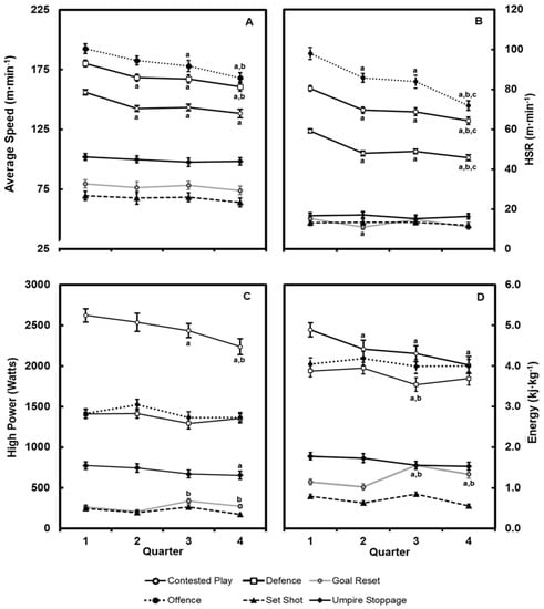
3. Results
4. Discussion
5. Conclusions
Author Contributions
Funding
Institutional Review Board Statement
Informed Consent Statement
Data Availability Statement
Acknowledgments
Conflicts of Interest
References
- Gray, A.J.; Jenkins, D.G. Match analysis and the physiological demands of Australian Football. Sports Med. 2010, 40, 347–360. [Google Scholar] [CrossRef] [PubMed]
- Coutts, A.J.; Kempton, T.; Sullivan, C.; Bilsborough, J.; Cordy, J.; Rampinini, E. Metabolic power and energetic costs of professional Australian Football match-play. J. Sci. Med. Sport 2015, 18, 219–224. [Google Scholar] [CrossRef] [PubMed]
- Coutts, A.J.; Quinn, J.; Hocking, J.; Castagna, C.; Rampinini, E. Match running performance in elite Australian Rules Football. J. Sci. Med. Sport 2010, 13, 543–548. [Google Scholar] [CrossRef] [PubMed]
- Brewer, C.; Dawson, B.; Heasman, J.; Stewart, G.; Cormack, S. Movement pattern comparisons in elite (AFL) and sub-elite (WAFL) Australian football games using GPS. J. Sci. Med. Sport 2010, 13, 618–623. [Google Scholar] [CrossRef]
- Johnston, R.J.; Watsford, M.L.; Pine, M.J.; Spurrs, R.W.; Murphy, A.; Pruyn, E.C. Movement demands and match performance in professional Australian football. Int. J. Sports Med. 2012, 33, 89–93. [Google Scholar] [CrossRef]
- Sullivan, C.; Bilsborough, J.C.; Cianciosi, M.; Hocking, J.; Cordy, J.; Coutts, A.J. Match score affects activity profile and skill performance in professional Australian Football players. J. Sci. Med. Sport 2014, 17, 326–331. [Google Scholar] [CrossRef]
- Johnston, R.J.; Watsford, M.L.; Austin, D.J.; Pine, M.J.; Spurrs, R.W. Movement Profiles, Match Events, and Performance in Australian Football. J. Strength Cond. Res. 2016, 30, 2129–2137. [Google Scholar] [CrossRef]
- Robertson, S.; Back, N.; Bartlett, J.D. Explaining match outcome in elite Australian Rules football using team performance indicators. J. Sports Sci. 2016, 34, 637–644. [Google Scholar] [CrossRef]
- Sheehan, W.B.; Tribolet, R.; Watsford, M.L.; Novak, A.R.; Rennie, M.; Fransen, J. Improving the interpretation of skill indicators in professional Australian Football. J. Sci. Med. Sport 2020, 23, 872–878. [Google Scholar] [CrossRef]
- Bradley, P.S.; Sheldon, W.; Wooster, B.; Olsen, P.; Boanas, P.; Krustrup, P. High-intensity running in English FA Premier League soccer matches. J. Sports Sci. 2009, 27, 159–168. [Google Scholar] [CrossRef]
- Dellal, A.; Chamari, K.; Wong, D.P.; Ahmaidi, S.; Keller, D.; Barros, R.; Bisciotti, G.N.; Carling, C. Comparison of physical and technical performance in European soccer match-play: FA Premier League and La Liga. Eur. J. Sport Sci. 2011, 11, 51–59. [Google Scholar] [CrossRef]
- Di Salvo, V.; Gregson, W.; Atkinson, G.; Tordoff, P.; Drust, B. Analysis of high intensity activity in Premier League soccer. Int. J. Sports Med. 2009, 30, 205–212. [Google Scholar] [CrossRef] [PubMed]
- Gabbett, T.J.; Polley, C.; Dwyer, D.B.; Kearney, S.; Corvo, A. Influence of field position and phase of play on the physical demands of match-play in professional rugby league forwards. J. Sci. Med. Sport 2014, 17, 556–561. [Google Scholar] [CrossRef] [PubMed]
- Sykes, D.; Twist, C.; Nicholas, C.; Lamb, K. Changes in locomotive rates during senior elite rugby league matches. J. Sports Sci. 2011, 29, 1263–1271. [Google Scholar] [CrossRef] [PubMed]
- Dawson, B.; Hopkinson, R.; Appleby, B.; Stewart, G.; Roberts, C. Player movement patterns and game activities in the Australian Football League. J. Sci. Med. Sport 2004, 7, 278–291. [Google Scholar] [CrossRef] [PubMed]
- Carling, C. Interpreting physical performance in professional soccer match-play: Should we be more pragmatic in our approach? Sports Med. 2013, 43, 655–663. [Google Scholar] [CrossRef] [PubMed]
- Wisbey, B.; Montgomery, P.G.; Pyne, D.B.; Rattray, B. Quantifying movement demands of AFL football using GPS tracking. J. Sci. Med. Sport 2010, 13, 531–536. [Google Scholar] [CrossRef]
- Rennie, M.J.; Kelly, S.J.; Bush, S.; Spurrs, R.W.; Austin, D.J.; Watsford, M.L. Phases of match-play in professional Australian Football: Distribution of physical and technical performance. J. Sports Sci. 2020, 38, 1682–1689. [Google Scholar] [CrossRef]
- Sheehan, W.; Tribolet, R.; Novak, A.R.; Fransen, J.; Watsford, M.L. An assessment of physical and spatiotemporal behaviour during different phases of match play in professional Australian football. J. Sports Sci. 2021, 39, 2232–2241. [Google Scholar] [CrossRef]
- Black, G.M.; Gabbett, T.J.; Naughton, G.A.; McLean, B.D. The effect of intense exercise periods on physical and technical performance during elite Australian Football match-play: A comparison of experienced and less experienced players. J. Sci. Med. Sport 2016, 19, 596–602. [Google Scholar] [CrossRef]
- Aughey, R.J. Australian football player work rate: Evidence of fatigue and pacing? Int. J. Sports Physiol. Perform. 2010, 5, 394–405. [Google Scholar] [CrossRef] [PubMed]
- Delaney, J.A.; Thornton, H.R.; Burgess, D.J.; Dascombe, B.J.; Duthie, G.M. Duration-specific running intensities of Australian Football match-play. J. Sci. Med. Sport 2017, 20, 689–694. [Google Scholar] [CrossRef] [PubMed]
- Kempton, T.; Coutts, A.J. Factors affecting exercise intensity in professional rugby league match-play. J. Sci. Med. Sport 2016, 19, 504–508. [Google Scholar] [CrossRef] [PubMed]
- Johnston, R.J.; Watsford, M.L.; Austin, D.; Pine, M.J.; Spurrs, R.W. Player acceleration and deceleration profiles in professional Australian football. J. Sports Med. Phys. Fit. 2015, 55, 931–939. [Google Scholar]
- Johnston, R.J.; Watsford, M.L.; Kelly, S.J.; Pine, M.J.; Spurrs, R.W. Validity and interunit reliability of 10 Hz and 15 Hz GPS units for assessing athlete movement demands. J. Strength Cond. Res 2014, 28, 1649–1655. [Google Scholar] [CrossRef] [PubMed]
- di Prampero, P.E.; Fusi, S.; Sepulcri, L.; Morin, J.-B.; Belli, A.; Antonutto, G. Sprint running: A new energetic approach. J. Exp. Biol. 2005, 208 Pt 14, 2809–2816. [Google Scholar] [CrossRef] [PubMed]
- Osgnach, C.; Poser, S.; Bernardini, R.; Rinaldo, R.; DI Prampero, P.E. Energy cost and metabolic power in elite soccer: A new match analysis approach. Med. Sci. Sports Exerc. 2010, 42, 170–178. [Google Scholar] [CrossRef]
- Rennie, M.J.; Watsford, M.L.; Spurrs, R.W.; Kelly, S.J.; Pine, M.J. Phases of match-play in professional Australian Football: Descriptive analysis and reliability assessment. J. Sci. Med. Sport 2018, 21, 635–639. [Google Scholar] [CrossRef]
- Hopkins, W.G.; Marshall, S.W.; Batterham, A.M.; Hanin, J. Progressive statistics for studies in sports medicine and exercise science. Med. Sci. Sports Exerc. 2009, 41, 3–13. [Google Scholar] [CrossRef]
- Dillon, P.A.; Kempton, T.; Ryan, S.; Hocking, J.; Coutts, A.J. Interchange rotation factors and player characteristics influence physical and technical performance in professional Australian Rules football. J. Sci. Med. Sport 2018, 21, 317–321. [Google Scholar] [CrossRef]
- Duffield, R.; Coutts, A.J.; Quinn, J. Core temperature responses and match running performance during intermittent-sprint exercise competition in warm conditions. J. Strength Cond. Res. 2009, 23, 1238–1244. [Google Scholar] [CrossRef] [PubMed]
- Buchheit, M.; Al Haddad, H.; Simpson, B.M.; Palazzi, D.; Bourdon, P.C.; Di Salvo, V.; Mendez-Villanueva, A. Monitoring accelerations with GPS in football: Time to slow down? Int. J. Sports Physiol. Perform. 2014, 9, 442–445. [Google Scholar] [CrossRef] [PubMed]
- Yu, C.; Huang, T.-Y.; Ma, H.-P. Motion Analysis of Football Kick Based on an IMU Sensor. Sensors 2022, 22, 6244. [Google Scholar] [CrossRef] [PubMed]
- Yang, Y.; Wang, L.; Su, S.; Watsford, M.; Wood, L.M.; Duffield, R. Inertial Sensor Estimation of Initial and Terminal Contact during In-Field Running. Sensors 2022, 22, 4812. [Google Scholar] [CrossRef] [PubMed]
- Perri, T.; Reid, M.; Murphy, A.; Howle, K.; Duffield, R. Prototype Machine Learning Algorithms from Wearable Technology to Detect Tennis Stroke and Movement Actions. Sensors 2022, 22, 8868. [Google Scholar] [CrossRef] [PubMed]


Publisher’s Note: MDPI stays neutral with regard to jurisdictional claims in published maps and institutional affiliations. |
© 2022 by the authors. Licensee MDPI, Basel, Switzerland. This article is an open access article distributed under the terms and conditions of the Creative Commons Attribution (CC BY) license (https://creativecommons.org/licenses/by/4.0/).
Share and Cite
Rennie, M.J.; Kelly, S.J.; Bush, S.; Spurrs, R.W.; Sheehan, W.B.; Watsford, M.L. Phases of Match-Play in Professional Australian Football: Positional Demands and Match-Related Fatigue. Sensors 2022, 22, 9887. https://doi.org/10.3390/s22249887
Rennie MJ, Kelly SJ, Bush S, Spurrs RW, Sheehan WB, Watsford ML. Phases of Match-Play in Professional Australian Football: Positional Demands and Match-Related Fatigue. Sensors. 2022; 22(24):9887. https://doi.org/10.3390/s22249887
Chicago/Turabian StyleRennie, Michael J., Stephen J. Kelly, Stephen Bush, Robert W. Spurrs, William B. Sheehan, and Mark L. Watsford. 2022. "Phases of Match-Play in Professional Australian Football: Positional Demands and Match-Related Fatigue" Sensors 22, no. 24: 9887. https://doi.org/10.3390/s22249887
APA StyleRennie, M. J., Kelly, S. J., Bush, S., Spurrs, R. W., Sheehan, W. B., & Watsford, M. L. (2022). Phases of Match-Play in Professional Australian Football: Positional Demands and Match-Related Fatigue. Sensors, 22(24), 9887. https://doi.org/10.3390/s22249887
