Next Article in Journal
Decision Support System for Emergencies in Microgrids
Previous Article in Journal
Deep Reinforcement Learning Based Resource Allocation for D2D Communications Underlay Cellular Networks
 
 
Font Type:
Arial Georgia Verdana
Font Size:
Aa Aa Aa
Line Spacing:
Column Width:
Background:
Article

Mathematical Model and Synthetic Data Generation for Infra-Red Sensors

Institute of Electronics and Computer Science, 14 Dzerbenes St., LV-1006 Riga, Latvia
*
Author to whom correspondence should be addressed.
Sensors 2022, 22(23), 9458; https://doi.org/10.3390/s22239458
Submission received: 25 October 2022 / Revised: 30 November 2022 / Accepted: 1 December 2022 / Published: 3 December 2022
(This article belongs to the Section Sensors Development)

Abstract

A key challenge in further improving infrared (IR) sensor capabilities is the development of efficient data pre-processing algorithms. This paper addresses this challenge by providing a mathematical model and synthetic data generation framework for an uncooled IR sensor. The developed model is capable of generating synthetic data for the design of data pre-processing algorithms of uncooled IR sensors. The mathematical model accounts for the physical characteristics of the focal plane array, bolometer readout, optics and the environment. The framework permits the sensor simulation with a range of sensor configurations, pixel defectiveness, non-uniformity and noise parameters.

1. Introduction

Nowadays, infrared (IR) imaging systems are of particular interest since they support a wide range of applications in many fields across civilian and military use-cases, i.e., IR imaging enables night vision, significantly improves the safety of autonomous systems and is a good candidate for sensor fusion [1]. The development of IR sensors has a growing tendency—it brings improved comfort and size, reduces costs and optimizes detection capabilities [2,3,4].
One of the key challenges to further improve sensor capabilities is the development of efficient algorithms for IR data pre-processing [4,5]. The main goal of the research presented in this paper is to enhance IR camera calibration and design by emulating image sensor raw data that contains side effects of non-uniformity fixed pattern noises (FPN) and averts different kinds of dead and defective pixels, so that the resulting image after processing is appropriate for further use.
To achieve this goal, we have created a mathematical model of IR image sensor and corresponding software (https://github.com/edi-riga/applause-ir-modelling) (accessed on 30 November 2022) that imitates data of a real sensor with FPN and defective pixel (DP) side effects. The output data of the mathematical model was used to apply and adjust existing FPN and DP correction algorithms and to develop a complete calibration procedure of an IR image sensor, for example, for register transfer level (RTL) implementation and variety of sensor configurations. The mathematical model also provides flexibility to emulate raw data of different image formats: VGA, HD, etc.
From the physical perspective, an IR sensor has both external and internal noise sources. Internal noise sources are mainly the atoms of the IR detector, which can vibrate slightly even at low temperatures, and elementary particles that spread and move in a vacuum at a variable rate. External noise sources are ambient temperature fluctuations, electrical supply and related disturbances. Regardless of the heat generated by the IR camera, which can be determined during manufacturing and measured using an integrated thermal sensor, the properties of the IR detectors may change over time, affecting the image quality due to ambient temperature fluctuations [4,6].
Still, one of the main challenges in IR imaging is to achieving continuous correction of non-uniformity in real-time. The IR detector does not have a smooth temperature-impedance relation, and the IR readout circuit’s amplifier has a non-uniform current–voltage characteristic; further, to compensate for the effect of the sensor’s temperature, the readout circuit usually amplifies the difference between active and hidden bolometer readings, therefore producing horizontal or (less often) vertical lines in the raw images. The main factors causing noise are the variation in the bolometer responsiveness and the non-uniform radiation produced by the detector. These noise effects manifest as undesirable image artifacts that human observers are particularly sensitive to [4]. Furthermore, the computational complexity for uncooled thermal imaging systems is still the main factor that reduces the imaging performance and encumbers further image processing tasks, such as image fusion [4,5].
In order to account for the FPN, it is necessary to carry out a non-uniformity correction (NUC). NUC techniques have several methods, but the main ones are generally classified into two categories: scene-based methods and calibration-based methods [7]. The scene-based methods require that camera moves by a specific field of view (FOV) angle during the correction procedure, and the scene-based NUC methods are too complex to implement in the camera’s on-board processing hardware [8]. Here, we utilize the calibration-based methods due to simplified integration and implementation, also reducing latency, which is crucial for real-time control systems [9,10]. To accurately calculate the gain and offset parameters for each pixel’s detector, black-body calibration must be performed at different sensor temperatures [7,11].
Another consideration for the image quality is the correction of defective pixels. The production of the different microbolometer arrays in the IR cameras results in discrepant characteristic curves and noise for all pixels, so the pixel that is significantly different from the mean is defined as non-functional or defective [12,13]. Defective pixels are easy to spot because they are usually isolated and have radically different readings, degrading the image quality. There are several types of defective pixels, but the most common causes are excessive and low responsivity. Excessively responsive pixels always output a near-full-scale pixel value, while low responsivity pixels consistently return a value close to zero [14].
Regardless of the noise caused by the imaging sensing technology (microbolometer), additional inaccurate pixel values emerge due to defects in other manufacturing processes or due to signal conversion. Simultaneously, the sensor may unevenly overheat due to internal losses further affecting data readout. Therefore, calibration is required to prevent discrepancies between pixel voltage and observed temperature [14,15].

2. Related Work

To get rid of the above-described non-uniformity (FPN, DP, strip noise) many techniques have been developed in recent years on the correcting algorithms for infrared images.
One of the alternatives to reducing the cost of an IR camera is to produce an uncooled sensor that consists of a microbolometer focal plane arrays (FPAs) that operate at room temperature. Tempelhahn et al. [16] proposed a solution by developing a compensation method with calibration measurements at ambient temperatures without the thermal sensor stabilization to obtain the uncertainty of the low-temperature measurements. They also compared the results with the shutter-based approach, showing that the residual absolute temperature deviations are significantly lower than for a camera with a shutter, but the disadvantages of this type of approach are the calibration time (≈11 h) and a large number of continuous correction factor pixels (up to 1024 × 768).
Liu et al. [5] also worked on the challenge of shutter-less uncooled IR cameras by combining the features of scene-based and calibration-based methods. The advantage of their method is the stability against changes in FPA temperature, but it requires the change of the target scene. The proposed algorithm competes by requiring less computational resources and memory; nonetheless, its utilization in real-time applications is challenging because stable NUC factor estimation requires multiple image frames.
The specific aspect of readout amplifier-generated vertical or horizontal strips is addressed by Cao et al. [4], who propose an efficient NUC algorithm for removing strip noise without disrupting the fine detail of the image. The initial original images are decomposed using wavelet decomposition into three scale levels: large, medium and small, where each level consists of additional directional components. The small scale vertical component contains a lot of strip noise and better removes noise with a small filter. In contrast, using a large vertical component with a large controlled filter allows to save image details more efficiently. The results show that by using such a multi-level filtering scheme, the proposed method can better eliminate strip noise and protect the image from blurring compared to other algorithms [17,18,19,20].
Budzier and Gerlach [13,21] described a calibration process of uncooled infrared cameras based on microbolometers for accurate temperature measurement and the mathematical and physical aspects of an uncooled IR camera based on the radiometric model to determine the temperature-proportional output signal replacement. First, the bias voltage of the microbolometer is adjusted as required. Then it corrects the first bad pixels that may have erroneous behavior and performs the NUC, while adjusting the temperature dependence. Further, a second defective pixel correction is performed. This type of calibration is a complex process and requires a uniform ambient temperature. If the ambient temperature changes, a shutter is required.
To avoid factors causing focal plane to drift over time, such as a change in ambient temperature and variation in the transistor bias voltages, Zuo et al. [7] proposed a scene-based NUC method. The proposed scene-based algorithm competes by requiring less computing and memory resources; nonetheless, real-time processing is still a challenge because multiple image frames are required to estimate stable NUC factors.
Notably, there are other alternative calibrating techniques, such as calibration on the focal plane array discussed by Pron and Bouache [22]. However, such methods are suitable only for cooled IR camera data, which are easier to correct, and are not applicable for uncooled thermal sensors. This work aims to reduce the cost of IR cameras by assisting new algorithm development and validation for varying FPA characteristics and assisting the development (including) uncooled and shutter-less IR cameras.
This work also assists algorithm design for real-time performance and energy efficiency. Further tailoring of the acquisition and sensor degradation models supports online calibration using a range of input variables (sensor temperature, ambient temperature, degradation indicators and others), i.e., enables robust shutter-less cameras. The proposed modeling approach can be combined with modern AI-based methods [23], e.g., object tracking task for infrared images [24] as well as to improve quality assurance and inspection applications such as infrared thermography [25], drones for the prevention of fire detection [26], material defect detection [27] and even wind turbine erosion detection [28] while incorporating physical models of different materials.

3. Data Acquisition Modeling

In general, the theoretical basis for the mathematical calibration utilizes the radiometric model of the uncooled IR camera. Temperature transfers in several ways (conduction, convection and radiation), and importantly every warm body radiates heat. Hence, several factors must be taken into account: radiance, absorption properties, lens effects, power distribution over the sensor surface, non-uniformity, V-R characterization of the microbolometer arrays, and the readout properties.

3.1. Radiance and Absorption

Valuable resource describing the fundamentals of the IR model, detector operation and testing is provided by Vincent et al. [6] and by Kruse and Skatrud [29]. Figure 1 illustrates a system where the IR sensor with a lens receives heat from an object characterized by radiant flux— Φ . The body radiates heat, which is absorbed by the pixels of the microbolometer FPA. It is converted into a raw signal voltage that is embodied in the captured image, and its pixel values depend on the radiated flux, apart from the internal camera heat. For the mathematical model, we assume this object to be a black-body (BB),I confirm the format of all text - normal the radiance of which is predictable and corresponds to the Planck’s function curve. Planck’s function is [30]:
B ( λ , T ) = 2 h c 2 λ 5 1 e h c / λ K T 1 ,
where h denotes Planck’s constant [J · s], c is the speed of light in a vacuum [m/s], λ is the wavelength [m], K is Boltzmann’s constant [J · K−1], and T is the temperature of the source [K].
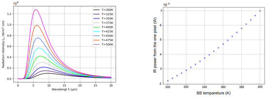
The radiant flux emitted by the unit surface area d A 1 is characterized by the object radiant exitance: M = Φ 1 / d A 1 [W/m2], while the IR sensor receives irradiance on the unit surface area d A 2 : E = Φ 2 / d A 2 [W/m2], where Φ 1 and Φ 2 denotes the radiated fluxes emitted by the object and received by the sensor. BB has a characteristic radiance L (shown in Figure 2, Left ) that indicates how much of the surface radiated power is received by an optical system observing from a certain viewing angle. In Figure 2, Right, the relationship is illustrated when the power is integrated per unit area in a temperature range (from 300 to 400 K) and an almost linear relationship is represented. The BB radiance L at a known temperature and for limited band, is calculated by integrating Planck’s Law (from Equation (1)):
L = 2 h c 2 ε t λ 1 λ 2 d λ λ 5 ( e h c K T λ 1 ) ,
where ε t is transmitted BB emissivity and for any particular system (Figure 1), the limits λ 1 and λ 2 are determined by the spectral range of the sensor. Further, in order to illustrate the developed software, we will utilize a wavelength λ range from 8 to 15 μ m. We can transform the expression (2) into numerical series [31] integrating from zero to a specifically chosen wavelength λ :
L = 0 λ L d λ = C 1 C 2 4 T 4 π n = 1 e n x n x 3 + 3 x 2 n + 6 x n 2 + 6 n 3 ,
where x = h c / ( λ K T ) , constants of integrals: C 1 = 2 π h c 2 and C 2 = h c / K . The expression for in-band wavelength range integral of blackbody radiance is calculated as follows:
λ 1 λ 2 L d λ = 0 λ 2 L d λ 0 λ 1 L d λ = C 1 C 2 4 T 4 π ( n = 1 e n x 2 n x 2 3 + 3 x 2 2 n + 6 x 2 n 2 + 6 n 3 n = 1 e n x 1 n x 1 3 + 3 x 1 2 n + 6 x 1 n 2 + 6 n 3 ) ,
where x 1 = h c / ( λ 1 K T ) , x 2 = h c / ( λ 2 K T ) . We can transform constant before the integral into simpler view: C 1 C 2 4 T 4 / π = 2 K 4 T 4 / ( h 3 c 2 ) . The tolerance of the result depends on count of summing row members—n.

3.2. Lens Effects

Sensor optics are described by the principal planes and focal points. The size of the scene S is determined by the field of view (FOV) and the distance D of the scene to the principal plane of the optics:
S = 2 D tan FOV 2 .
Likewise, in the scene, object size A radiating a single pixel is given by its instantaneous field of view (IFOV):
A = 2 D tan IFOV 2 ,
then expressing FOV (seen Figure 3), which depends on the sensor size l and focal length f, is:
FOV = 2 arctan l 2 f .
However, for a single pixel with a pixel size of a: IFOV = 2 arctan ( a / ( 2 f ) ) [32].
Figure 4 illustrates the path of the radiation from an object-side area element d A 1 through the entrance pupil of the optics to the image-side area element d A 2 . We assume that the sensor “observes” the scene via a round aperture, and the projected solid angle of a round aperture is:
Ω = π sin 2 ϕ 2 .
Assuming a lossless environment, the object side radiation flux Φ 1 :
Φ 1 = d A 1 π L 1 ω 0 sin 2 ϕ 1 ,
is identical to the image side radiation flux Φ 2 , i.e., Φ 1 = Φ 2 . For convenience and unit adjustment, we can assume ω 0 = 1 [ s r ] . Therefore:
d A 1 L 1 sin 2 ϕ 1 = d A 2 L 2 sin 2 ϕ 2 .
Finally, the image-side irradiance E is calculated as:
E = Φ 2 d A 2 = π τ L 2 ω 0 sin 2 ϕ 2 ,
where τ models the transmission losses in the optics.

3.3. Power Distribution

The power distribution across the sensor surface is a continuous function, i.e., the cosine 4th power-law [33] applicable to surface area and also for every pixel. The surface of the pixel closer to the center of the sensor receives more power flow than the one further away. In order to elucidate IR power P t distribution on the surface area A of the sensor, first, we determine IR power on a single center pixel— P p i x —on the surface of the sensitive area of this single pixel A s e n s .
We apply the law of cosine 4th (illustrated in Figure 5) power only within the entire sensor area, as we calculate the discrete values of the power flow that reaches every pixel, depending on its distance from the center of the lens and the center of the sensor. For this purpose, calculating cos 4 β is required for every pixel, where the angle β is formed by the center of the sensor and a point on the optics. We utilize this data by multiplying every value with P p i x . The result is a power distribution over the sensor area for every pixel. Therefore, the area of a single center pixel is used as a reference.
Assuming that the reference pixel is located in the middle of the sensor, its received IR power can be determined using the equation:
P p i x = π L A s e n s sin 2 ϕ 2 ,
where ϕ —angle of FOV, but A s e n s —the sensitive area of this pixel. Using this value we can calculate IR power distribution for every pixel of the sensor, by utilizing the “natural vignetting” (cosine to the 4th law):
E p i x = d Φ 12 d A 2 = L A 1 cos 4 β d 2 d A 1 .
Figure 6 illustrates how the power reaches a specific pixel, where point O is the exit pupil’s center of the lens. The small horizontal squares represent the pixels of the sensor. The red square represents the single-pixel area at the center of the sensor. The distance l between point O and the center of the sensor is also the focal length. Further, we can compute the distances between the point O and every pixel center, e.g., point P. The angle β is formed by the pixel, point O and sensor’s center.
In our model we assume that IR power incident on any pixel-sensitive surface is reduced by cos 4 β factor in comparison with the I R power incident on the red square area in the center of the sensor; hence, Equation (12). Figure 7 illustrates the sensor pixel power distribution corresponding to blackbody temperatures from 300 K to 500 K with 25 K increments, we use previously calculated value of in-band wavelength range integral of blackbody radiance at given temperature and the optical parameter-focal length is taken 0.0212 mm.

3.4. Mircobolometer Characterization

A microbolometer is characterized by temperature T dependent electrical resistance and essentially is a thermal sensor that receives radiation from the optical system with its front surface and depends on changes in electrical resistance R to measure the heating effect due to IR radiation. Microbolometers are separated from the thermal reservoir silicon substrate by electrically conductive microbolometer support beams. The microbolometers are installed in a vacuum housing to reduce their sensitivity to temperature changes and improve stability, and accordingly, this reduces the sensor’s temperature deviations due to heating and changes in ambient temperature. Usually, the resistance is measured with a constant current, which is supplied only during measurement. Notably, the current heats up the bolometer and further affects the electrical resistance. This relationship can be described by the microbolometer heat balance equation:
C d T d t = I 2 R ( T ) + ε P t + ε P s ( 2 A ) ε σ T 4 Q g ( T T s ) ,
where C is heat capacitance [J/K], T is the microbolometer’s temperature dependent on the exchange of energy [K], T s is the underlying substrate temperature of the microbolometer [K], I is the electric measurement current [ A ] , R is the temperature-dependent microbolometer resistance [ Ω ] , Q refers to all radiation input power ( ε —emissivity, P t IR power incident on microbolometer from target, P s IR power from surroundings, 2 ( A ) ε σ T 4 —Stefan’s law), and g is thermal conductance between the bolometer and its supporting structure [W/K].
The microbolometer heat balance Equation (14) in thermal equilibrium is:
Q + I 2 R ( T ) g ( T T s ) = 0 ,
Converting equation and expressing via the temperature difference obtains:
T T s = I V + Q g ,
where V = I R ( T ) —voltage across the device [ V ] . R temperature dependence is determined by the thermal resistance coefficient: α = d R / R d T . Usually, in the working temperature range, the temperature–resistance relationship is linear, and it can be expressed as Δ R = α T Δ T .
Further, the microbolometer’s resistance depends on the temperature as:
R ( T ) = R 0 ( T ) exp Δ E a K T ,
where Δ E a is activation energy [ J ] and R 0 is microbolometer resistance at ambient temperature, i.e., R 0 = R T a / ( exp ( E a / ( K T s ) ) ) [ Ω ] . Respectively, the voltage is given by:
V = I R 0 ( T s ) exp Δ E a K T ,
For a semiconductor TCR (temperature coefficient of resistance), the steady-state VI curve of the microbolometer at temperature T is given by coupling Equations (16) and (18). Eliminating T between these equations gives the VI relation:
V = I R 0 ( T s ) exp Δ E a K ( T s + I V + Q g ) ,
with the initial conditions:
t 0 = 0 Q ( t 0 ) = 0 I ( t 0 ) = 0 .

3.5. Readout

Thus far, the resulting data corresponds to the signal at the input of the Read-Out Integrated Circuit (ROIC) that is responsible for multiplexing detectors and producing voltages corresponding to the changes. Figure 8 illustrates the basic functions provided by the ROIC: converting detector signal to voltage, multiplexing, and driving the resulting data streams to external electronics. Modern ROICs may also incorporate on-chip ADCs, limiting susceptibility of the analog signal interference, reducing the overall system size, weight and power [6].
Notably, there is a variety of choices concerning ROIC design: internal or external ADC(s), signal retrieval based on integrator or voltage sampler, signal multiplexing (from unit cells) using voltage or charge, data sampling using snapshot (global) or rolling integration modes, variety of sampling methods, etc. Furthermore, detector may incorporate “hidden” bolometers for sensor’s temperature compensation, which can also be a part of ROIC’s functionality. Thus, modeling is highly dependent on the actual ROIC’s design.
In our model, we assume non-biased readout, i.e., there is no bias current applied to the microbolometer at time t 0 . At the time t > t 0 the amount of heat generated by applying bias current is:
I V ( t ) t
and the amount of heat generated by IR radiation is:
Q 1 exp τ t
In the current IR simulation model, we use a couple of equations. Equation (19) represents active pixels (that receive IR power). However, in skimming for pixels, we utilize the same Equation (19) while neglecting the effect of Q. In general, the equation for the microbolometer’s output voltage after measurement time depends on input IR power as follows:
V ( t ) = I R 0 ( T 0 ) exp Δ E a K [ T 0 + I V ( t ) t g + Q g 1 exp τ t ] .
To obtain output values of ROIC integrators for each pixel, first, it is necessary to find momentary values and integral equations for active and skimming pixels. For different types of pixels (active, boundary, skimming), we can expand Equation (19):
V = I B R 0 exp Δ E a K ( T 0 + ( I B V + Q o p t + Q c a m g ) ( 1 exp ( τ t ) ) .
IR power Q that is impinged on the pixel consists of IR power sum: radiated via optics— Q o p t , and IR power radiated by the internal surface of the camera body— Q c a m , it is: Q = Q o p t + Q c a m . The skimming pixels do not receive any IR radiation, so for them— Q o p t = 0 . Further, the readout electronics may integrate this voltage using specific electronic circuits, convert the reading to a digital value and perform either analogue or digital temperature compensation.

4. Data Synthesis and Results

Variability requirement for the IR imaging, sensor composition and readout specifics has caused a design of a model-based simulation framework. The framework is written in Python programming language and is published online under the MIT license. The published repository includes an example configuration using four previously described models: blackbody, optics, bolometers and readout electronics.
Each model is implemented as a derived Python Model class, necessitating it to provide standardized functionality. The model must incorporate a standardized input/output data interface and may be provided with parameterized arguments, where each parameter essentially increases the modelling space by a factor of two. The model may also provide callbacks for ensuring result caching (for faster design space exploration) and output data display. Figure 9 illustrates an example of a high-level simulation. Note that simulation may be expanded with better representations of the real-world complexities, i.e., source may be replaced with an actual (more complex) scene, and an additional model may represent such environmental effects as fog, etc.
The initially suggested model computes emitted power of a black body to the center of camera optics and uses that information to further calculate the power distribution across bolometers, as previously described in Section 3. The bolometer model utilizes Plank’s black body radiation function to integrate the actual power observer by every pixel. The readout model utilizes a theoretical temperature compensation mechanism, where correction is performed within the ROIC electronics. The readout model showcases two approaches where both column- and row-based compensation is used.
Table 1 illustrates the generated output of the simulated model in a variety of configurations. This data can be further utilized to simulate data for a variety of sensor and ambient temperatures, noise sources and sensor’s aging effects, thus making the model useful for algorithm design for uncooled IR sensors.
The “X” axis represents images with a variate degree of randomization for physical parameters, while the images on the “Y” axis correspond to a range of blackbody temperatures. Tolerance is a coefficient by which the nominal value of the correct physical parameter and its obtained part is accepted as one standard deviation for normal distributions. For example, if the nominal value of a physical parameter is 10 6 , and the coefficient is 0.01, then 10 8 is given as the standard deviation for the parameter. For each temperature and randomization, there are two pictures: one with a single skimming (blind) pixel row, and the other with a skimming column.
One of the next processing steps in thermal imaging cameras usually incorporates some kind of nonuniformity correction (NUC) algorithm. To simplify hardware implementation, linear correction (two-point NUC) with fixed-point binary number representation may be used. When trying to conserve the hardware resources and the memory requirements for correction coefficient storage, the calculation precision choice becomes increasingly important. Table 2 shows simulation results of linear nonuniformity correction with different calibration coefficient fractional part widths. It can be immediately noticed that the microbolometer array’s nonuniformity, although not completely compensated, becomes significantly less apparent even at low coefficient resolutions. Correction of the cosine 44th power law effect, due to its gradient nature, is more demanding, with insufficient calculation precision causing noticeable circular artefacts.

5. Conclusions

Cost reduction of IR imaging solutions is a key challenge, and solving it would increase technologies’ availability and bring benefits to a range of applications, e.g., safety, quality control and system analysis. This work addresses this major challenge by supporting further development of efficient data pre-processing algorithms by reviewing the IR sensor mathematical model, designing a model-based simulation tool and displaying experimental results facilitating the development of algorithms, including shutterless IR cameras.
In general, IR imaging is a complex task, and the development in recent years has brought significantly cheaper and more efficient products. Several studies have proposed different algorithms for uncooled IR cameras’ offline/online calibration and provided a general description of their camera radiometric models. Our proposed data acquisition model approach gives more insight into the relationship between radiance/absorption, IR optics, bolometer design and camera electronics, including readout properties.
The initially developed simulation framework incorporates models for IR blackbody, optics, bolometers and readout electronics. The model permits the generation of simulated data that can facilitate the innovation of calibration algorithms for uncooled IR cameras and account for the runtime degradation of sensors. Notably, the simulation framework is extendable to incorporate additional models (scene, atmospheric effects, degradation, etc.). The framework is published online.
The main advantage of the proposed modeling approach is the ability to parameterize different conditions, thus generating data for representing varying conditions, defining algorithm design challenges and validation. This exploration has been conceptualized by showcasing the parameterization of a fixed-point nonuniformity correction algorithm.
In the future, the modeling and framework can be extended to enable the projection of an actual projected scene, extend the framework to support temporal simulations, develop the model for incorporating other noise sources, add additional readout electronics configurations/models, and simulate such environmental effects as fog. An improved model can be leveraged to further improve physical sensor structure (e.g., cap design, heat dispersion, consequences of the vacuum quality) and readout electronics for increased sensitivity and improved algorithm design (e.g., explore temporal noise filtering while increasing sensor’s readout frequency and employing multi-frame analysis).

Author Contributions

Conceptualization, L.L., V.P. and R.N.; Data curation, A.C.; Formal analysis, V.P.; Funding acquisition, K.O.; Investigation, V.P. and A.C.; Methodology, L.L. and R.N.; Project administration, R.N. and K.O.; Resources, L.L.; Software, V.P., R.N. and A.C.; Supervision, R.N. and K.O.; Validation, A.C.; Visualization, L.L. and A.C.; Writing—original draft preparation, L.L., R.N. and A.C.; Writing—review and editing, R.N. and K.O. All authors have read and agreed to the published version of the manuscript.

Funding

This work is the result of activities within the APPLAUSE project, which has received funding ECSEL Joint Undertaking (JU) under grant agreement No 826588. The JU receives support from the European Union’s Horizon 2020 research and innovation programme and from Belgium, Germany, Netherlands, Finland, Austria, France, Hungary, Latvia, Norway, Switzerland and Israel.

Institutional Review Board Statement

Not applicable.

Informed Consent Statement

Not applicable.

Data Availability Statement

Developed simulation framework: https://github.com/edi-riga/applause-ir-modelling (accessed on 30 November 2022).

Conflicts of Interest

The authors declare no conflict of interest.

References

  1. Ma, J.; Ma, Y.; Li, C. Infrared and visible image fusion methods and applications: A survey. Inf. Fusion 2019, 45, 153–178. [Google Scholar] [CrossRef]
  2. Gade, R.; Moeslund, T.B. Thermal cameras and applications: A survey. Mach. Vis. Appl. 2014, 25, 245–262. [Google Scholar] [CrossRef]
  3. Fortune Business Insights (Thermal Imaging Market) Kernel Description. Available online: https://www.fortunebusinessinsights.com/thermal-imaging-market-102588 (accessed on 31 March 2022).
  4. Cao, Y.; He, Z.; Yang, J.; Ye, X.; Cao, Y. A multi-scale non-uniformity correction method based on wavelet decomposition and guided filtering for uncooled long wave infrared camera. Signal Process. Image Commun. 2018, 60, 13–21. [Google Scholar] [CrossRef]
  5. Liu, C.; Sui, X.; Gu, G.; Chen, Q. Shutterless non-uniformity correction for the long-term stability of an uncooled long-wave infrared camera. Meas. Sci. Technol. 2018, 29, 025402. [Google Scholar] [CrossRef]
  6. Vincent, J.D.; Hodges, S.E.; Vampola, J.; Stegall, M.; Pierce, G. Fundamentals of Infrared and Visible Detector Operation and Testing; Wiley: Hoboken, NJ, USA, 2016. [Google Scholar]
  7. Zuo, C.; Chen, Q.; Gu, G.; Sui, X. Scene-based nonuniformity correction algorithm based on interframe registration. J. Opt. Soc. Am. A 2011, 28, 1164–1176. [Google Scholar] [CrossRef]
  8. Averbuch, A.; Liron, G.; Bobrovsky, B.Z. Scene based non-uniformity correction in thermal images using Kalman filter. Image Vis. Comput. 2007, 25, 833–851. [Google Scholar] [CrossRef]
  9. Čech, M.; Beltman, A.J.; Ozols, K. Pushing Mechatronic Applications to the Limits via Smart Motion Control. Appl. Sci. 2021, 11, 8337. [Google Scholar] [CrossRef]
  10. Novickis, R.; Levinskis, A.; Fescenko, V.; Kadikis, R.; Ozols, K.; Ryabokon, A.; Schorn, R.; Koszescha, J.; Solmaz, S.; Stettinger, G.; et al. Development and Experimental Validation of High Performance Embedded Intelligence and Fail-Operational Urban Surround Perception Solutions of the PRYSTINE Project. Appl. Sci. 2021, 12, 168. [Google Scholar] [CrossRef]
  11. Schulz, M.; Caldwell, L. Nonuniformity correction and correctability of infrared focal plane arrays. Infrared Phys. Technol. 1995, 36, 763–777. [Google Scholar] [CrossRef]
  12. Dudas, J.; Jung, C.; Chapman, G.H.; Koren, Z.; Koren, I. Robust detection of defects in imaging arrays. In Image Quality and System Performance III; Electronic Imaging: San Jose, CA, USA, 2006; Volume 6059, pp. 286–297. [Google Scholar] [CrossRef]
  13. Budzier, H.; Gerlach, G. Calibration of Infrared Cameras with Microbolometers. In Proceedings of the AMA Conferences—IRS² 2015, Nuremberg, Germany, 19–21 May 2015. [Google Scholar] [CrossRef]
  14. Yongji, L.; Xiaojun, Y. A Design of Dynamic Defective Pixel Correction for Image Sensor. In Proceedings of the 2020 IEEE International Conference on Artificial Intelligence and Information Systems (ICAIIS), Dalian, China, 20–22 March 2020; pp. 713–716. [Google Scholar]
  15. Cho, C.Y.; Chen, T.M.; Wang, W.S.; Liu, C.N. Real-Time Photo Sensor Dead Pixel Detection for Embedded Devices. In Proceedings of the 2011 International Conference on Digital Image Computing: Techniques and Applications, Noosa, QLD, Australia, 6–8 December 2011; pp. 164–169. [Google Scholar] [CrossRef]
  16. Tempelhahn, A.; Budzier, H.; Krause, V.; Gerlach, G. Shutter-less calibration of uncooled infrared cameras. J. Sens. Sens. Syst. 2016, 8, 9–16. [Google Scholar] [CrossRef]
  17. Qian, W.; Chen, Q.; Gu, G.; Guan, Z. Correction method for stripe nonuniformity. Appl. Opt. 2010, 49, 1764–1773. [Google Scholar] [CrossRef] [PubMed]
  18. Narayanan, B.; Hardie, R.C.; Muse, R.A. Scene-based nonuniformity correction technique that exploits knowledge of the focal-plane array readout architecture. Appl. Opt. 2005, 44, 3482–3491. [Google Scholar] [CrossRef]
  19. Tendero, Y.; Landeau, S.; Gilles, J. Non-uniformity Correction of Infrared Images by Midway Equalization. Image Process. Line 2012, 2, 134–146. [Google Scholar] [CrossRef]
  20. Zhao, J.; Zhou, Q.; Chen, Y.; Liu, T.; Feng, H.; Xu, Z.; Li, Q. Single image stripe nonuniformity correction with gradient-constrained optimization model for infrared focal plane arrays. Opt. Commun. 2013, 296, 47–52. [Google Scholar] [CrossRef]
  21. Budzier, H.; Gerlach, G. Calibration of uncooled thermal infrared cameras. J. Sens. Sens. Syst. 2015, 8, 187–197. [Google Scholar] [CrossRef]
  22. Pron, H.; Bouache, T. Alternative thermal calibrations of focal plane array infrared cameras. Quant. Infrared Thermogr. J. 2016, 13, 94–108. [Google Scholar] [CrossRef]
  23. Giulio, U.; Arents, J.; Latella, A. AI in Industrial Machinery; River Publishers: Aalborg, Denmark, 2021; pp. 177–183. [Google Scholar]
  24. Yuan, D.; Shu, X.; Liu, Q.; He, Z. Structural target-aware model for thermal infrared tracking. Neurocomputing 2022, 491, 44–56. [Google Scholar] [CrossRef]
  25. Wei, Y.; Su, Z.; Mao, S.; Zhang, D. An Infrared Defect Sizing Method Based on Enhanced Phase Images. Sensors 2020, 20, 3626. [Google Scholar] [CrossRef] [PubMed]
  26. Sousa, M.J.; Moutinho, A.; Almeida, M. Thermal Infrared Sensing for Near Real-Time Data-Driven Fire Detection and Monitoring Systems. Sensors 2020, 20, 6803. [Google Scholar] [CrossRef]
  27. Zhuo, L.; Yang, X.; Zhu, J.; Huang, Z.; Chao, J.; Xie, W. Size determination of interior defects by reconstruction of subsurface virtual heat flux for step heating thermography. Ndt Int. 2023, 133, 102734. [Google Scholar] [CrossRef]
  28. Jensen, F.; Terlau, M.; Sorg, M.; Fischer, A. Active Thermography for the Detection of Sub-Surface Defects on a Curved and Coated GFRP-Structure. Appl. Sci. 2021, 11, 9545. [Google Scholar] [CrossRef]
  29. Kruse, P.W.; Skatrud, D.D. Uncooled Infrared Imaging Arrays and Systems; Academic Press: San Diego, CA, USA.
  30. Michels, T.E. Planck Functions and Integrals; Methods of Computation; TN D-4446; National Aeronautics and Space Administration: Washington, DC, USA, 1968.
  31. Chang, S.; Rhee, K. Blackbody radiation functions. Int. Comm. Heat Mass Transfer 1984, 11, 451–455. [Google Scholar] [CrossRef]
  32. Helmunt Budzier, G.G. Thermal Infrared Sensors; Wiley: Chichester, UK, 2011. [Google Scholar]
  33. Gardner, I.C. Validity of the cosine-fourth-power law of illumination. J. Res. Natl. Bur. Stand. 1947, 39, 213. [Google Scholar] [CrossRef]
Figure 1. A system where an IR sensor with a lens receives radiant flux Φ from the BB.
Figure 1. A system where an IR sensor with a lens receives radiant flux Φ from the BB.
Sensors 22 09458 g001
Figure 2. Radiant spectral exitance of BB temperatures from 300 to 500 K. (Left): relationship between the BB radiant spectral exitance and the wavelength. (Right): relationship between the IR power impugned on one pixel sensitive area, located in the middle of the sensor.
Figure 2. Radiant spectral exitance of BB temperatures from 300 to 500 K. (Left): relationship between the BB radiant spectral exitance and the wavelength. (Right): relationship between the IR power impugned on one pixel sensitive area, located in the middle of the sensor.
Sensors 22 09458 g002
Figure 3. FOV in a sensor array.
Figure 3. FOV in a sensor array.
Sensors 22 09458 g003
Figure 4. Path of the IR radiation from the object to the image.
Figure 4. Path of the IR radiation from the object to the image.
Sensors 22 09458 g004
Figure 5. The power flow arriving at the edges of the sensor is smaller by a factor of cos 4 β compared to the center. The distance d (with the radiation flux ϕ ) needs to travel a longer distance than the distance d with the radiation flux ϕ thus, the received power on the center of the sensor is greater than on the edges.
Figure 5. The power flow arriving at the edges of the sensor is smaller by a factor of cos 4 β compared to the center. The distance d (with the radiation flux ϕ ) needs to travel a longer distance than the distance d with the radiation flux ϕ thus, the received power on the center of the sensor is greater than on the edges.
Sensors 22 09458 g005
Figure 6. IR sensor power reaching single-pixel.
Figure 6. IR sensor power reaching single-pixel.
Sensors 22 09458 g006
Figure 7. Visualization of IR power distribution over sensor area following cos 4 β law at different BB temperatures.
Figure 7. Visualization of IR power distribution over sensor area following cos 4 β law at different BB temperatures.
Sensors 22 09458 g007
Figure 8. The basic signal path elements within ROIC (integrator, multiplexer, output driver) [6].
Figure 8. The basic signal path elements within ROIC (integrator, multiplexer, output driver) [6].
Sensors 22 09458 g008
Figure 9. The high-level concept of the Python-based simulation framework.
Figure 9. The high-level concept of the Python-based simulation framework.
Sensors 22 09458 g009
Table 1. Output data of the simulated model at variety of blackbody source temperatures (300–500 K) and bolometer and readout nominal values: microbolometer resistance at ambient temperature ( R T a = 10 6 [ Ω ] ), thermal conductivity ( g = 10 7 [W/K]), thermal capacity ( C = 5 · 10 9 [W s/K]) and tolerances ( ε ). σ R T a , σ g and σ C represent standard deviation of the parameters, where σ R T a = ε R T a . “rows” and “columns” refer to the used temperature correction method (column or row skimming pixels are used for the compensation).
Table 1. Output data of the simulated model at variety of blackbody source temperatures (300–500 K) and bolometer and readout nominal values: microbolometer resistance at ambient temperature ( R T a = 10 6 [ Ω ] ), thermal conductivity ( g = 10 7 [W/K]), thermal capacity ( C = 5 · 10 9 [W s/K]) and tolerances ( ε ). σ R T a , σ g and σ C represent standard deviation of the parameters, where σ R T a = ε R T a . “rows” and “columns” refer to the used temperature correction method (column or row skimming pixels are used for the compensation).
ε (Tolerance) 10 4 10 5 5 · 10 6 3 · 10 6 10 6
Standard Deviations σ R Ta = 100, σ g = 10 11 , σ C = 5 · 10 13 σ R Ta = 10, σ g = 10 12 , σ C = 5 · 10 14 σ R Ta = 5,
σ g = 5 · 10 13 ,
σ C = 2.5 · 10 14
σ R Ta = 3,
σ g = 3 · 10 13 ,
σ C = 1.5 · 10 14
σ R Ta = 1,
σ g = 10 13 ,
σ C = 5 · 10 15
300 KrowsSensors 22 09458 i001Sensors 22 09458 i002Sensors 22 09458 i003Sensors 22 09458 i004Sensors 22 09458 i005
columnsSensors 22 09458 i006Sensors 22 09458 i007Sensors 22 09458 i008Sensors 22 09458 i009Sensors 22 09458 i010
320 KrowsSensors 22 09458 i011Sensors 22 09458 i012Sensors 22 09458 i013Sensors 22 09458 i014Sensors 22 09458 i015
columnsSensors 22 09458 i016Sensors 22 09458 i017Sensors 22 09458 i018Sensors 22 09458 i019Sensors 22 09458 i020
340 KrowsSensors 22 09458 i021Sensors 22 09458 i022Sensors 22 09458 i023Sensors 22 09458 i024Sensors 22 09458 i025
columnsSensors 22 09458 i026Sensors 22 09458 i027Sensors 22 09458 i028Sensors 22 09458 i029Sensors 22 09458 i030
360 KrowsSensors 22 09458 i031Sensors 22 09458 i032Sensors 22 09458 i033Sensors 22 09458 i034Sensors 22 09458 i035
columnsSensors 22 09458 i036Sensors 22 09458 i037Sensors 22 09458 i038Sensors 22 09458 i039Sensors 22 09458 i040
380 KrowsSensors 22 09458 i041Sensors 22 09458 i042Sensors 22 09458 i043Sensors 22 09458 i044Sensors 22 09458 i045
columnsSensors 22 09458 i046Sensors 22 09458 i047Sensors 22 09458 i048Sensors 22 09458 i049Sensors 22 09458 i050
400 KrowsSensors 22 09458 i051Sensors 22 09458 i052Sensors 22 09458 i053Sensors 22 09458 i054Sensors 22 09458 i055
columnsSensors 22 09458 i056Sensors 22 09458 i057Sensors 22 09458 i058Sensors 22 09458 i059Sensors 22 09458 i060
Table 2. Nonuniformity correction with varying fractional part widths of the correction coefficients. Simulation parameters: microbolometer resistance at ambient temperature R T a = 123 [ Ω ] , thermal conductivity g = 10 7 [W/K], thermal capacity C = 1 · 10 9 [Ws/K] and tolerance ε = 10 5 .
Table 2. Nonuniformity correction with varying fractional part widths of the correction coefficients. Simulation parameters: microbolometer resistance at ambient temperature R T a = 123 [ Ω ] , thermal conductivity g = 10 7 [W/K], thermal capacity C = 1 · 10 9 [Ws/K] and tolerance ε = 10 5 .
Fixed-Point Bits in CoefficientsUncorrected3 Bits4 Bits5 Bits6 Bits
300 KSensors 22 09458 i061Sensors 22 09458 i062Sensors 22 09458 i063Sensors 22 09458 i064Sensors 22 09458 i065
350 KSensors 22 09458 i066Sensors 22 09458 i067Sensors 22 09458 i068Sensors 22 09458 i069Sensors 22 09458 i070
400 KSensors 22 09458 i071Sensors 22 09458 i072Sensors 22 09458 i073Sensors 22 09458 i074Sensors 22 09458 i075
Publisher’s Note: MDPI stays neutral with regard to jurisdictional claims in published maps and institutional affiliations.

Share and Cite

MDPI and ACS Style

Leja, L.; Purlans, V.; Novickis, R.; Cvetkovs, A.; Ozols, K. Mathematical Model and Synthetic Data Generation for Infra-Red Sensors. Sensors 2022, 22, 9458. https://doi.org/10.3390/s22239458

AMA Style

Leja L, Purlans V, Novickis R, Cvetkovs A, Ozols K. Mathematical Model and Synthetic Data Generation for Infra-Red Sensors. Sensors. 2022; 22(23):9458. https://doi.org/10.3390/s22239458

Chicago/Turabian Style

Leja, Laura, Vitālijs Purlans, Rihards Novickis, Andrejs Cvetkovs, and Kaspars Ozols. 2022. "Mathematical Model and Synthetic Data Generation for Infra-Red Sensors" Sensors 22, no. 23: 9458. https://doi.org/10.3390/s22239458

APA Style

Leja, L., Purlans, V., Novickis, R., Cvetkovs, A., & Ozols, K. (2022). Mathematical Model and Synthetic Data Generation for Infra-Red Sensors. Sensors, 22(23), 9458. https://doi.org/10.3390/s22239458

Note that from the first issue of 2016, this journal uses article numbers instead of page numbers. See further details here.

Article Metrics

Back to TopTop