Measurement of Restrained and Unrestrained Shrinkage of Reinforced Concrete Using Distributed Fibre Optic Sensors
Abstract
1. Introduction
2. Materials and Methods
2.1. Specimens and Instrumentation
2.2. Test Setup
3. Results and Discussion
3.1. Measuring Unrestrained Shrinkage in Prisms
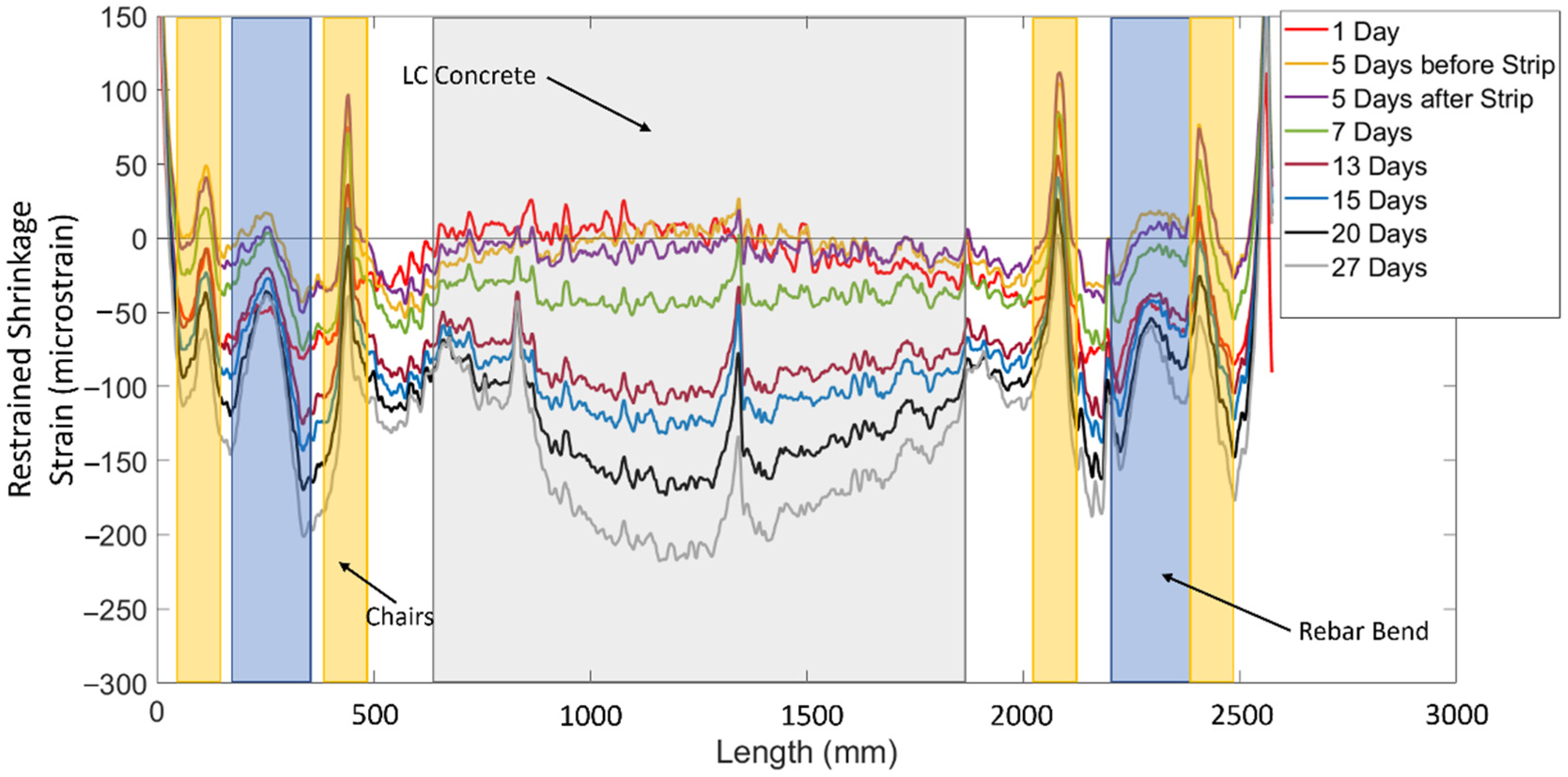
3.2. Measuring Restrained Shrinkage in Deep Concrete Beams
3.3. Measuring Restrained Shrinkage in One Way Concrete Slabs
3.4. Comparison of DFOS Shrinkage Measurements to Code Procedures
4. Conclusions
- DFOS can be used to measure the distributed unrestrained shrinkage strain profiles along the length of a concrete prism. However, the results shed light on the complexity of unrestrained shrinkage in the test specimens, in terms of both its spatial and temporal variation, suggesting that further research is required to better understand the end behaviour, fibre bond effects, early-stage unrestrained shrinkage, and thermal effects. The current experimental campaign only reported second stage shrinkage strains and averaged strains from the middle third to account for these complexities.
- DFOS were able to measure the restrained shrinkage behaviour in large-scale deep beams and one-way slab strips. In concrete members with prismatic geometry fabricated with Ordinary Portland Cement concrete, restrained shrinkage strains were uniformly distributed and were −153 microstrain at 28 days on average for the studied specimens. A normal distribution of shrinkage strain measurements existed in these specimens.
- Distributed restrained shrinkage strain measurements in functionally graded deep beams with embedded high strength concrete struts had nonlinear shrinkage strain profiles that had maximum compressive strains in the centre of the beam and minimum strains at the ends. These distributions formed over time rather than during early-stage shrinkage. However, in slab strips with horizontal functional grading above the reinforcement, functional grading was shown to have a minimal effect on the shrinkage behaviour. Overall, functional grading only affected restrained shrinkage strain distributions if the grading crossed the reinforcement.
- Distributed restrained shrinkage strain measurements were also found to vary depending on the concrete mix. While the uniform normal concrete had uniform shrinkage strain distributions, the ultra low cement concretes without SCMs experienced shrinkage strains that were up to 80% lower compared to the normal concrete and were less influenced by the presence of functional grading. Low cement concretes with SCMs had nonlinear strain distributions that formed during early-stage shrinkage, and only uniform increases in shrinkage occurred thereafter.
- Compared to other researchers, the unrestrained shrinkage strains were approximately 200 microstrain higher, which is attributed to the inherent variance of shrinkage measurements and thermal effects. Furthermore, the unrestrained and restrained shrinkage strains for uniform specimens were compared to the ACI 209 model. The ACI model, while providing relatively accurate predictions for some specimens, did not capture the variability that exists with concrete shrinkage.
Author Contributions
Funding
Institutional Review Board Statement
Informed Consent Statement
Data Availability Statement
Acknowledgments
Conflicts of Interest
References
- Ismail, M.A.; Mueller, C.T. Minimizing embodied energy of reinforced concrete floor systems in developing countries through shape optimization. Eng. Struct. 2021, 246, 112955. [Google Scholar] [CrossRef]
- Neville, A.M. Properties of Concrete; Longman: London, UK, 1995; Volume 4, p. 1995. [Google Scholar]
- Bado, M.F.; Casas, J.R.; Dey, A.; Berrocal, C.G.; Kaklauskas, G.; Fernandez, I.; Rempling, R. Characterization of concrete shrinkage induced strains in internally-restrained RC structures by distributed optical fiber sensing. Cem. Concr. Compos. 2021, 120, 104058. [Google Scholar] [CrossRef]
- Wu, L.; Farzadnia, N.; Shi, C.; Zhang, Z.; Wang, H. Autogenous shrinkage of high performance concrete: A review. Constr. Build. Mater. 2017, 149, 62–75. [Google Scholar] [CrossRef]
- Holt, E. Contribution of mixture design to chemical and autogenous shrinkage of concrete at early ages. Cem. Concr. Res. 2005, 35, 464–472. [Google Scholar] [CrossRef]
- Toledo Filho, R.D.; Ghavami, K.; Sanjuán, M.A.; England, G.L. Free, restrained and drying shrinkage of cement mortar composites reinforced with vegetable fibres. Cem. Concr. Compos. 2005, 27, 537–546. [Google Scholar] [CrossRef]
- Havlásek, P.; Jirásek, M. Multiscale modeling of drying shrinkage and creep of concrete. Cem. Concr. Res. 2016, 85, 55–74. [Google Scholar] [CrossRef]
- Henkensiefken, R.; Bentz, D.; Nantung, T.; Weiss, J. Volume change and cracking in internally cured mixtures made with saturated lightweight aggregate under sealed and unsealed conditions. Cem. Concr. Compos. 2009, 31, 427–437. [Google Scholar] [CrossRef]
- Torrenti, J.M.; Granger, L.; Diruy, M.; Genin, P. Modeling concrete shrinkage under variable ambient conditions. ACI Mater. J. 1999, 96, 35–39. [Google Scholar]
- ASTM C 157; Standard Test Method for Length Change of Hardened Hydraulic Cement Mortar and Concrete, Annual Book of ASTM Standards. ASTM: West Conshohocken, PA, USA, 2017.
- ASTM C 512; Standard Test Method for Creep of Concrete in Compression, Annual Book of ASTM Standards. ASTM: West Conshohocken, PA, USA, 2015.
- Kreger, S.T.; Gifford, D.K.; Froggatt, M.E.; Sang, A.K.; Duncan, R.G.; Wolfe, M.S.; Soller, B.J. High-resolution extended distance distributed fiber-optic sensing using Rayleigh backscatter. Sens. Syst. Netw. Phenom. Technol. Appl. NDE Health Monit. 2007, 6530, 477–486. [Google Scholar]
- Regier, R.; Hoult, N.A. Concrete deterioration detection using distributed sensors. Proc. Inst. Civ. Eng. Struct. Build. 2015, 168, 118–126. [Google Scholar] [CrossRef]
- Barrias, A.; Casas, J.R.; Villalba, S. Embedded distributed optical fiber sensors in reinforced concrete structures—A case study. Sensors 2018, 18, 980. [Google Scholar] [CrossRef] [PubMed]
- Poldon, J.J.; Hoult, N.A.; Bentz, E.C. Understanding Reinforcement Behavior Using Distributed Measurements of Shear Tests. ACI Struct. J. 2021, 118, 255–266. [Google Scholar]
- Yager, J.; Hoult, N.A.; Bentz, E. Evaluating the behaviour of functionally graded reinforced concrete without transverse reinforcement using distributed sensing. Constr. Build. Mater. 2021, 295, 123612. [Google Scholar] [CrossRef]
- Villalba, S.; Casas, J.R. Application of optical fiber distributed sensing to health monitoring of concrete structures. Mech. Syst. Signal Process. 2013, 39, 441–451. [Google Scholar] [CrossRef]
- Brault, A.; Hoult, N. Monitoring reinforced concrete serviceability performance using fiber-optic sensors. ACI Struct. J. 2019, 116, 57–70. [Google Scholar] [CrossRef]
- Yager, J.; Hoult, N.A.; Bentz, E.C.; Woods, J. Shear-critical deep beams with embedded functionally graded concrete struts. ACI Struct. J. 2022, 119, 245–257. [Google Scholar]
- Wong, A.C.; Childs, P.A.; Berndt, R.; Macken, T.; Peng, G.D.; Gowripalan, N. Simultaneous measurement of shrinkage and temperature of reactive powder concrete at early-age using fibre Bragg grating sensors. Cem. Concr. Compos. 2007, 29, 490–497. [Google Scholar] [CrossRef]
- Slowik, V.; Schlattner, E.; Klink, T. Experimental investigation into early age shrinkage of cement paste by using fibre Bragg gratings. Cem. Concr. Compos. 2004, 26, 473–479. [Google Scholar] [CrossRef]
- Coetzee, W.Z.; Van Eck, S.; Grobler, M.F.; Vannucci, M.J.; Manuel, R.M.; Bester, J. Embedded Fibre Bragg Gratings to measure shrinkage during the early age of concrete. In Proceedings of the AFRICON, Addis Ababa, Ethiopia, 14–17 September 2015; pp. 1–5. [Google Scholar]
- Kwan, A.K.H.; Au, F.T.K.; Wong, H.H.C.; Ng, P.L. Shrinkage of Hong Kong granite aggregate concrete. Mag. Concr. Res. 2010, 62, 115–126. [Google Scholar] [CrossRef]
- Davis, M.B.; Hoult, N.A.; Bajaj, S.; Bentz, E.C. Distributed sensing for shrinkage and tension stiffening measurement. ACI Struct. J. 2017, 114, 753–764. [Google Scholar] [CrossRef]
- Poldon, J.J.; Bentz, E.C.; Hoult, N.A. Assessing beam shear behavior with distributed longitudinal strains. Struct. Concr. 2022, 23, 1555–1571. [Google Scholar] [CrossRef]
- CSA A23.1-19; Concrete Materials and Methods of Concrete Construction. CSA Group: Mississauga, ON, Canada, 2019.
- Brault, A.; Hoult, N.A. Distributed Reinforcement Strains: Measurement and Application. ACI Struct. J. 2019, 116, 115–127. [Google Scholar] [CrossRef]
- Luna Technologies. Luna ODiSI 6000 Data Sheet; Luna Technologies: Blacksburg, VA, USA, 2022. [Google Scholar]
- Pothisiri, T.; Panedpojaman, P. Modeling of bonding between steel rebar and concrete at elevated temperatures. Constr. Build. Mater. 2012, 27, 130–140. [Google Scholar] [CrossRef]
- Barker, C.; Hoult, N.A.; Zhang, M. Development of an axial strain measurement system for rails. J. Perform. Constr. Facil. 2021, 35, 04020145. [Google Scholar] [CrossRef]
- Mehdi Mirzazadeh, M.; Green, M.F. Fiber optic sensors and digital image correlation for measuring deformations in reinforced concrete beams. J. Bridge Eng. 2018, 23, 04017144. [Google Scholar] [CrossRef]
- Knaack, A.M.; Kurama, Y.C. Creep and Shrinkage of Normal-Strength Concrete with Recycled Concrete Aggregates. ACI Mater. J. 2015, 112, 451–462. [Google Scholar] [CrossRef]
- Alsayed, S.H. Influence of superplasticizer, plasticizer, and silica fume on the drying shrinkage of high-strength concrete subjected to hot-dry field conditions. Cem. Concr. Res. 1998, 28, 1405–1415. [Google Scholar] [CrossRef]
- Tritsch, N.; Darwin, D.; Browning, J. Evaluating Shrinkage and Cracking Behavior of Concrete Using Restrained Ring and Free Shrinkage Tests; University of Kansas Center for Research: Lawrence, KS, USA, 2005. [Google Scholar]
- Lomboy, G.; Wang, K.; Ouyang, C. Shrinkage and fracture properties of semiflowable self-consolidating concrete. J. Mater. Civ. Eng. 2011, 23, 1514–1524. [Google Scholar] [CrossRef]
- Ghazy, A.; Bassuoni, M.T. Shrinkage of nanomodified fly ash concrete as repair material. ACI Mater. J. 2017, 114, 877–888. [Google Scholar]
- Nuruddin, M.F.; Memon, F.A.; Shafiq, N.; Demie, S. Drying Shrinkage of Fly Ash-Based Self-Compacting Geopolymer Concrete. Appl. Mech. Mater. 2014, 567, 362–368. [Google Scholar] [CrossRef]
- Myers, D.; Kang, T.H.; Ramseyer, C. Early-age properties of polymer fiber-reinforced concrete. Int. J. Concr. Struct. Mater. 2008, 2, 9–14. [Google Scholar]
- Bentz, D.P.; Snyder, K.A. Protected paste volume in concrete: Extension to internal curing using saturated lightweight fine aggregate. Cem. Concr. Res. 1999, 29, 1863–1867. [Google Scholar] [CrossRef]
- Samouh, H.; Rozière, E.; Wisniewski, V.; Loukili, A. Consequences of longer sealed curing on drying shrinkage, cracking and carbonation of concrete. Cem. Concr. Res. 2017, 95, 117–131. [Google Scholar] [CrossRef]
- ACI 209R-08; ACI Committee 209, Prediction of Creep, Shrinkage and Temperature Effects in Concrete Structures. American Concrete Institute: Farmington Hills, MI, USA, 2008.
- Al-Saleh, S.A. Comparison of theoretical and experimental shrinkage in concrete. Constr. Build. Mater. 2014, 72, 326–332. [Google Scholar] [CrossRef]













| Concrete Type | Average Compressive Strength (MPa) | Age at Test (Days) |
|---|---|---|
| SCM1 | 24.6 | 28 |
| SCM2 | 24.4 | 28 |
| C1 | 40.8 | 28 |
| OC-NSC | 49.7 | 118 |
| LCC-ARCH | 42.9 | 49 |
| LCC-HYBD | 45.6 | 46 |
| LCC-DIAG | 47.0 | 49 |
| ULCC-DIAG-LC | 24.8 | 28 |
| ULCC-DIAG-FOH | 11.3 | 29 |
| HF-ARCH | 69.6 | 49 |
| HF-HYBD | 73.5 | 46 |
| HF-DIAG | 69.7 | 49 |
| HF-DIAG-LC | 76.1 | 28 |
| HF-DIAG-FOH | 79.8 | 28 |
| Day | 7 | 14 | 21 | 28 | 35 | 42 | 49 |
|---|---|---|---|---|---|---|---|
| SCM1 Average | −205 | −369 | −451 | −485 | −501 | −508 | −509 |
| SCM1 St. Dev. | 8.2 | 24.3 | 17.2 | 20.2 | 22.6 | 23.8 | 25.2 |
| SCM1 COV | 4.0% | 6.6% | 3.8% | 4.2% | 4.5% | 4.7% | 4.9% |
| SCM2 Average | −227 | −403 | −462 | −490 | −503 | −511 | −513 |
| SCM2 St. Dev. | 42.6 | 21.5 | 18.3 | 22.1 | 28.1 | 32.3 | 35.6 |
| SCM2 COV | 18.8% | 5.3% | 4.0% | 4.5% | 5.6% | 6.3% | 7.0% |
| C1 Average | −236 | −391 | −447 | −477 | −492 | −498 | −527 |
| C1 St. Dev. | 8.3 | 16.7 | 20.3 | 23.5 | 25.4 | 26.9 | 27.9 |
| C1 COV | 3.5% | 4.3% | 4.5% | 4.9% | 5.2% | 5.4% | 5.3% |
| Experimental Comparison | Shrinkage Strains at 28 Days (Microstrain) |
|---|---|
| [33] | −200 |
| [34] | −290 |
| [35] | −310 |
| [36] | −220 |
| [37] | −250 |
| [38] | −280 |
| Average | −258 |
| St. Dev. | 38.9 |
| Concrete Type | Prism Unrestrained Shrinkage at 28 Days (Microstrain) | ACI Model Prediction (Microstrain) | % Difference | Slab/Beam Unrestrained Shrinkage at 28 Days (Microstrain) | ACI Model Prediction (Microstrain) | % Difference |
|---|---|---|---|---|---|---|
| SCM1 | 485 | 343 | +41% | 55 | 99 | −44% |
| SCM2 | 490 | 343 | +43% | 212 | 213 | −0.5% |
| C1 | 477 | 343 | +39% | 157 | 133 | +18% |
| NSC | - | - | - | 148 | 70 | +111% |
Publisher’s Note: MDPI stays neutral with regard to jurisdictional claims in published maps and institutional affiliations. |
© 2022 by the authors. Licensee MDPI, Basel, Switzerland. This article is an open access article distributed under the terms and conditions of the Creative Commons Attribution (CC BY) license (https://creativecommons.org/licenses/by/4.0/).
Share and Cite
Yager, J.S.; Hoult, N.A.; Bentz, E.C.; Woods, J.E. Measurement of Restrained and Unrestrained Shrinkage of Reinforced Concrete Using Distributed Fibre Optic Sensors. Sensors 2022, 22, 9397. https://doi.org/10.3390/s22239397
Yager JS, Hoult NA, Bentz EC, Woods JE. Measurement of Restrained and Unrestrained Shrinkage of Reinforced Concrete Using Distributed Fibre Optic Sensors. Sensors. 2022; 22(23):9397. https://doi.org/10.3390/s22239397
Chicago/Turabian StyleYager, Jacob S., Neil A. Hoult, Evan C. Bentz, and Joshua E. Woods. 2022. "Measurement of Restrained and Unrestrained Shrinkage of Reinforced Concrete Using Distributed Fibre Optic Sensors" Sensors 22, no. 23: 9397. https://doi.org/10.3390/s22239397
APA StyleYager, J. S., Hoult, N. A., Bentz, E. C., & Woods, J. E. (2022). Measurement of Restrained and Unrestrained Shrinkage of Reinforced Concrete Using Distributed Fibre Optic Sensors. Sensors, 22(23), 9397. https://doi.org/10.3390/s22239397

