Spiking Neural Networks for Structural Health Monitoring
Abstract
1. Introduction
2. Theory
2.1. Neural Engineering Framework
2.1.1. Representation
2.1.2. Transformation
2.1.3. Dynamics
2.2. Cepstrum
3. Methods
3.1. Overview
3.2. Datasets
3.3. Architecture
- : Fourier transform;
- : Log transform;
- : Inverse Fourier transform.
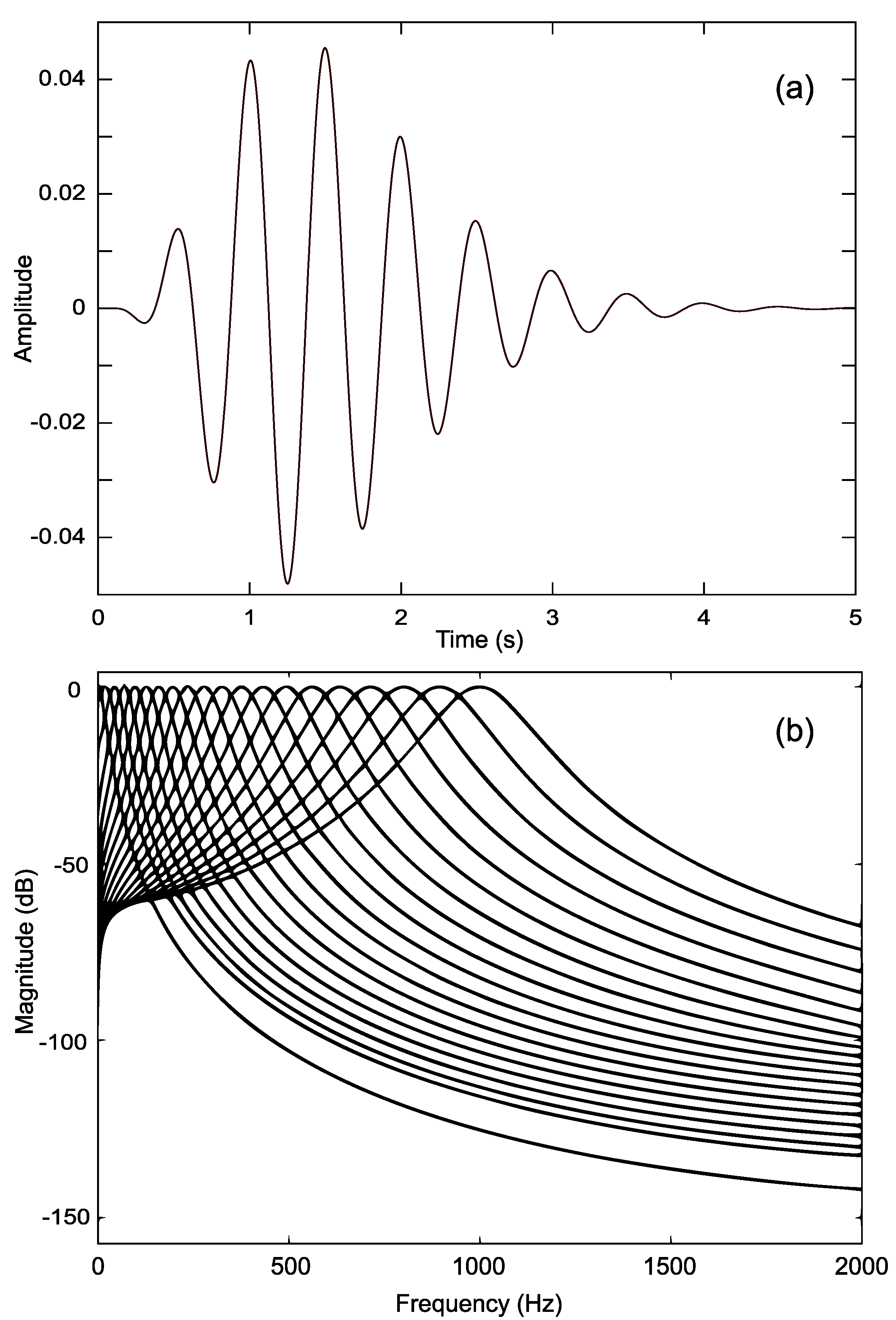
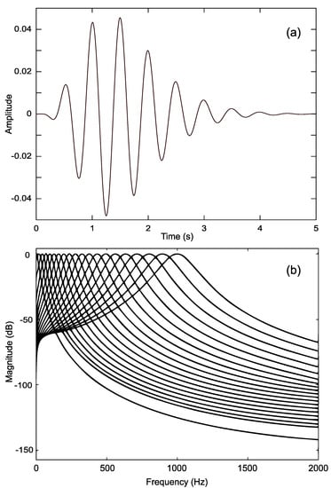
3.4. Filterbank
3.5. SNN
3.6. Damage Classification
4. Results
5. Discussion and Conclusions
Author Contributions
Funding
Institutional Review Board Statement
Informed Consent Statement
Data Availability Statement
Acknowledgments
Conflicts of Interest
Appendix A
References
- Farrar, C.R.; Worden, K. An introduction to structural health monitoring. Philos. Trans. R. Soc. A Math. Phys. Eng. Sci. 2007, 365, 303–315. [Google Scholar] [CrossRef]
- Ko, J.; Ni, Y. Technology developments in structural health monitoring of large-scale bridges. Eng. Struct. 2005, 27, 1715–1725. [Google Scholar] [CrossRef]
- Kim, S.; Pakzad, S.; Culler, D.; Demmel, J.; Fenves, G.; Glaser, S.; Turon, M. Health monitoring of civil infrastructures using wireless sensor networks. In Proceedings of the IPSN 2007: The Sixth International Symposium on Information Processing in Sensor Networks, Cambridge, MA, USA, 25–27 April 2007; ACM Press: New York, NY, USA, 2007; pp. 254–263. [Google Scholar] [CrossRef]
- Lynch, J.P.; Loh, K.J. A Summary Review of Wireless Sensors and Sensor Networks for Structural Health Monitoring. Shock Vib. Dig. 2006, 38, 91–128. [Google Scholar] [CrossRef]
- Spencer, B.F.; Ruiz-Sandoval, M.E.; Kurata, N. Smart sensing technology: Opportunities and challenges. Struct. Control. Health Monit. 2004, 11, 349–368. [Google Scholar] [CrossRef]
- Cao, S.; Li, J. A survey on ambient energy sources and harvesting methods for structural health monitoring applications. Adv. Mech. Eng. 2017, 9, 168781401769621. [Google Scholar] [CrossRef]
- Tokognon, A.C.; Gao, B.; Tian, G.Y.; Yan, Y. Structural Health Monitoring Framework Based on Internet of Things: A Survey. IEEE Internet Things J. 2017, 4, 629–635. [Google Scholar] [CrossRef]
- Alonso, L.; Barbaran, J.; Chen, J.; Diaz, M.; Llopis, L.; Rubio, B. Middleware and communication technologies for structural health monitoring of critical infrastructures: A survey. Comput. Stand. Interfaces 2018, 56, 83–100. [Google Scholar] [CrossRef]
- Loubet, G.; Takacs, A.; Gardner, E.; De Luca, A.; Udrea, F.; Dragomirescu, D. LoRaWAN Battery-Free Wireless Sensors Network Designed for Structural Health Monitoring in the Construction Domain. Sensors 2019, 19, 1510. [Google Scholar] [CrossRef] [PubMed]
- Buckley, T.; Ghosh, B.; Pakrashi, V. A Feature Extraction & Selection Benchmark for Structural Health Monitoring. Struct. Health Monit. 2022, 14759217221111141. [Google Scholar] [CrossRef]
- Buckley, T.; Ghosh, B.; Pakrashi, V. Edge structural health monitoring (E-SHM) using low-power wireless sensing. Sensors 2021, 21, 6760. [Google Scholar] [CrossRef]
- Abdaoui, A.; El Fouly, T.M.; Ahmed, M.H. Impact of time synchronization error on the mode-shape identification and damage detection/localization in WSNs for structural health monitoring. J. Netw. Comput. Appl. 2017, 83, 181–189. [Google Scholar] [CrossRef]
- Krishnan, M.; Bhowmik, B.; Hazra, B.; Pakrashi, V. Real time damage detection using recursive principal components and time varying auto-regressive modeling. Mech. Syst. Signal Process. 2018, 101, 549–574. [Google Scholar] [CrossRef]
- Srbinovski, B.; Magno, M.; O’Flynn, B.; Pakrashi, V.; Popovici, E. Energy aware adaptive sampling algorithm for energy harvesting wireless sensor networks. In Proceedings of the 2015 IEEE Sensors Applications Symposium (SAS), Zadar, Croatia, 13–15 April 2015; pp. 1–6. [Google Scholar] [CrossRef]
- Vathakkattil Joseph, G.; Hao, G.; Pakrashi, V. Extreme value estimates using vibration energy harvesting. J. Sound Vib. 2018, 437, 29–39. [Google Scholar] [CrossRef]
- Vathakkattil Joseph, G.; Hao, G.; Pakrashi, V. Fragility analysis using vibration energy harvesters. Eur. Phys. J. Spec. Top. 2019, 228, 1625–1633. [Google Scholar] [CrossRef]
- Farrar, C.; Worden, K. Structural Health Monitoring: A Machine Learning Perspective; John Wiley & Sons, Ltd.: Hoboken, NJ, USA, 2012. [Google Scholar]
- Min, J.; Park, S.; Yun, C.B.; Lee, C.G.; Lee, C. Impedance-based structural health monitoring incorporating neural network technique for identification of damage type and severity. Eng. Struct. 2012, 39, 210–220. [Google Scholar] [CrossRef]
- Bandara, R.P.; Chan, T.H.; Thambiratnam, D.P. Structural damage detection method using frequency response functions. Struct. Health Monit. 2014, 13, 418–429. [Google Scholar] [CrossRef]
- Dackermann, U.; Smith, W.A.; Randall, R.B. Damage identification based on response-only measurements using cepstrum analysis and artificial neural networks. Struct. Health Monit. 2014, 13, 430–444. [Google Scholar] [CrossRef]
- Guo, T.; Wu, L.; Wang, C.; Xu, Z. Damage detection in a novel deep-learning framework: A robust method for feature extraction. Struct. Health Monit. 2020, 19, 424–442. [Google Scholar] [CrossRef]
- Mandal, S.; Zhak, S.M.; Sarpeshkar, R. A bio-inspired active radio-frequency silicon cochlea. IEEE J. Solid-State Circuits 2009, 44, 1814–1828. [Google Scholar] [CrossRef]
- Lobo, J.L.; Del Ser, J.; Bifet, A.; Kasabov, N. Spiking Neural Networks and online learning: An overview and perspectives. Neural Netw. 2020, 121, 88–100. [Google Scholar] [CrossRef]
- Nawrocki, R.A.; Voyles, R.M.; Shaheen, S.E. A Mini Review of Neuromorphic Architectures and Implementations. IEEE Trans. Electron Devices 2016, 63, 3819–3829. [Google Scholar] [CrossRef]
- Oppenheim, A.; Schafer, R. From frequency to quefrency: A history of the cepstrum. IEEE Signal Process. Mag. 2004, 21, 95–106. [Google Scholar] [CrossRef]
- Childers, D.G.; Skinner, D.P.; Kemerait, R.C. The Cepstrum: A Guide to Processing. Proc. IEEE 1977, 65, 1428–1443. [Google Scholar] [CrossRef]
- Henriquez, P.; Alonso, J.B.; Ferrer, M.A.; Travieso, C.M. Review of automatic fault diagnosis systems using audio and vibration signals. Systems 2014, 44, 642–652. [Google Scholar] [CrossRef]
- Liang, B.; Iwnicki, S.D.; Zhao, Y. Application of power spectrum, cepstrum, higher order spectrum and neural network analyses for induction motor fault diagnosis. Mech. Syst. Signal Process. 2013, 39, 342–360. [Google Scholar] [CrossRef]
- Fazel, A.; Chakrabartty, S. An overview of statistical pattern recognition techniques for speaker verification. IEEE Circuits Syst. Mag. 2011, 11, 62–81. [Google Scholar] [CrossRef]
- Zheng, F.; Zhang, G.; Song, Z. Comparison of different implementations of MFCC. J. Comput. Sci. Technol. 2001, 16, 582–589. [Google Scholar] [CrossRef]
- Balsamo, L.; Betti, R.; Beigi, H. A structural health monitoring strategy using cepstral features. J. Sound Vib. 2014, 333, 4526–4542. [Google Scholar] [CrossRef]
- Mei, Q.; Gul, M. A crowdsourcing-based methodology using smartphones for bridge health monitoring. Struct. Health Monit. 2019, 18, 1602–1619. [Google Scholar] [CrossRef]
- Dackermann, U.; Smith, W.A.; Alamdari, M.M.; Li, J.; Randall, R.B. Cepstrum-based damage identification in structures with progressive damage. Struct. Health Monit. 2019, 18, 87–102. [Google Scholar] [CrossRef]
- Cheng, H.; Wang, F.; Huo, L.; Song, G. Detection of sand deposition in pipeline using percussion, voice recognition, and support vector machine. Struct. Health Monit. 2020, 147592172091889. [Google Scholar] [CrossRef]
- Lakshmi, K.; Rao, A.R.M.; Gopalakrishnan, N. Singular spectrum analysis combined with ARMAX model for structural damage detection. Struct. Control Health Monit. 2017, 24, e1960. [Google Scholar] [CrossRef]
- Cao, Y.; Chen, Y.; Khosla, D. Spiking Deep Convolutional Neural Networks for Energy-Efficient Object Recognition. Int. J. Comput. Vis. 2015, 113, 54–66. [Google Scholar] [CrossRef]
- Esser, S.K.; Merolla, P.A.; Arthur, J.V.; Cassidy, A.S.; Appuswamy, R.; Andreopoulos, A.; Berg, D.J.; McKinstry, J.L.; Melano, T.; Barch, D.R.; et al. Convolutional networks for fast, energy-efficient neuromorphic computing. Proc. Natl. Acad. Sci. USA 2016, 113, 11441–11446. [Google Scholar] [CrossRef] [PubMed]
- Han, B.; Sengupta, A.; Roy, K. On the energy benefits of spiking deep neural networks: A case study. In Proceedings of the International Joint Conference on Neural Networks, Vancouver, BC, Canada, 24–29 July 2016; Institute of Electrical and Electronics Engineers Inc.: New York City, NY, USA, 2016; Volume 2016, pp. 971–976. [Google Scholar] [CrossRef]
- Bekolay, T. Biologically Inspired Methods in Speech Recognition and Synthesis: Closing The Loop. Ph.D. Thesis, University of Waterloo, Waterloo, ON, Canada, 2016. [Google Scholar]
- Davies, M.; Srinivasa, N.; Lin, T.H.; Chinya, G.; Cao, Y.; Choday, S.H.; Dimou, G.; Joshi, P.; Imam, N.; Jain, S.; et al. Loihi: A Neuromorphic Manycore Processor with On-Chip Learning. IEEE Micro 2018, 38, 82–99. [Google Scholar] [CrossRef]
- Pang, L.; Liu, J.; Harkin, J.; Martin, G.; McElholm, M.; Javed, A.; McDaid, L. Case Study—Spiking Neural Network Hardware System for Structural Health Monitoring. Sensors 2020, 20, 5126. [Google Scholar] [CrossRef]
- Zanatta, L.; Barchi, F.; Burrello, A.; Bartolini, A.; Brunelli, D.; Acquaviva, A. Damage Detection in Structural Health Monitoring with Spiking Neural Networks. In Proceedings of the 2021 IEEE International Workshop on Metrology for Industry 4.0 & IoT (MetroInd4. 0&IoT), Rome, Italy, 7–9 June 2021; pp. 105–110. [Google Scholar]
- Micu, E.A.; OBrien, E.J.; Bowe, C.; Fitzgerald, P.; Pakrashi, V. Bridge damage and repair detection using an instrumented train. J. Bridge Eng. 2022, 27, 05021018. [Google Scholar] [CrossRef]
- Inturi, V.; Balaji, S.V.; Gyanam, P.; Pragada, B.P.V.; Geetha Rajasekharan, S.; Pakrashi, V. An integrated condition monitoring scheme for health state identification of a multi-stage gearbox through Hurst exponent estimates. Struct. Health Monit. 2022, 14759217221092828. [Google Scholar] [CrossRef]
- Eliasmith, C.; Anderson, C. Neural Engineering: Computation, Representation, and Dynamics in Neurobiological Systems; MIT Press: Cambridge, MA, USA, 2004. [Google Scholar]
- Voelker, A.R. Dynamical Systems in Spiking Neuromorphic Hardware. Ph.D. Thesis, University of Waterloo, Waterloo, ON, Canada, 2019. [Google Scholar]
- Deng, L.; Wu, Y.; Hu, X.; Liang, L.; Ding, Y.; Li, G.; Zhao, G.; Li, P.; Xie, Y. Rethinking the performance comparison between SNNS and ANNS. Neural Netw. 2020, 121, 294–307. [Google Scholar] [CrossRef]
- Bekolay, T.; Bergstra, J.; Hunsberger, E.; DeWolf, T.; Stewart, T.C.; Rasmussen, D.; Choo, X.; Voelker, A.R.; Eliasmith, C. Nengo: A Python tool for building large-scale functional brain models. Front. Neuroinform. 2014, 7, 48. [Google Scholar] [CrossRef]
- Bogert, B.P. The quefrency alanysis of time series for echoes; Cepstrum, pseudo-autocovariance, cross-cepstrum and saphe cracking. Time Ser. Anal. 1963, 209–243. [Google Scholar]
- Vetterli, M.; Nussbaumer, H.J. Simple FFT and DCT algorithms with reduced number of operations. Signal Process. 1984, 6, 267–278. [Google Scholar] [CrossRef]
- Civera, M.; Ferraris, M.; Ceravolo, R.; Surace, C.; Betti, R. The Teager-Kaiser Energy Cepstral Coefficients as an Effective Structural Health Monitoring Tool. Appl. Sci. 2019, 9, 5064. [Google Scholar] [CrossRef]
- Martinelli, F.; Dellaferrera, G.; Mainar, P.; Cernak, M. Spiking neural networks trained with backpropagation for low power neuromorphic implementation of voice activity detection. In Proceedings of the ICASSP 2020—2020 IEEE International Conference on Acoustics, Speech and Signal Processing (ICASSP), Barcelona, Spain, 4–8 May 2020; pp. 8544–8548. [Google Scholar]
- Wu, X.; Dang, B.; Wang, H.; Wu, X.; Yang, Y. Spike-Enabled Audio Learning in Multilevel Synaptic Memristor Array-Based Spiking Neural Network. Adv. Intell. Syst. 2022, 4, 2100151. [Google Scholar] [CrossRef]
- Tang, G.; Shah, A.; Michmizos, K.P. Spiking Neural Network on Neuromorphic Hardware for Energy-Efficient Unidimensional SLAM. Proceedings of the IEEE International Conference on Intelligent Robots and Systems, Macau, China, 3–8 November 2019; Institute of Electrical and Electronics Engineers Inc.: New York City, NY, USA, 2019; pp. 4176–4181. [Google Scholar] [CrossRef]
- Blouw, P.; Choo, X.; Hunsberger, E.; Eliasmith, C. Benchmarking keyword spotting efficiency on neuromorphic hardware. In Proceedings of the 7th Annual Neuro-inspired Computational Elements Workshop, Albany, NY, USA, 26–28 March 2019; ACM International Conference Proceeding Series; Association for Computing Machinery: New York, NY, USA, 2019; pp. 1–8. [Google Scholar] [CrossRef]
- Jaksic, V. Bridge-Vehicle Interaction for Structural Health Monitoring: Potentials, Applications, and Limitations. Ph.D. Thesis, University College Cork, Cork, Ireland, 2014. [Google Scholar]
- Patterson, R.D. Auditory filter shapes derived with noise stimuli. J. Acoust. Soc. Am. 1976, 59, 640–654. [Google Scholar] [CrossRef]
- Slaney, M. An Efficient Implementation of the Patterson-Holdsworth Auditory Filter Bank; Technical Report; Apple Computer, Inc.: Cupertino, CA, USA, 1993. [Google Scholar]
- Frenkel, C.; Indiveri, G. ReckOn: A 28nm Sub-mm2 Task-Agnostic Spiking Recurrent Neural Network Processor Enabling On-Chip Learning over Second-Long Timescales. In Proceedings of the 2022 IEEE International Solid-State Circuits Conference (ISSCC), San Francisco, CA, USA, 20–26 February 2022; Volume 65, pp. 1–3. [Google Scholar]
- Buhler, F.N.; Brown, P.; Li, J.; Chen, T.; Zhang, Z.; Flynn, M.P. A 3.43 TOPS/W 48.9 pJ/pixel 50.1 nJ/classification 512 analog neuron sparse coding neural network with on-chip learning and classification in 40nm CMOS. In Proceedings of the 2017 Symposium on VLSI Circuits, Kyoto, Japan, 5–8 June 2017; pp. C30–C31. [Google Scholar]
- Amravati, A.; Nasir, S.B.; Thangadurai, S.; Yoon, I.; Raychowdhury, A. A 55nm time-domain mixed-signal neuromorphic accelerator with stochastic synapses and embedded reinforcement learning for autonomous micro-robots. In Proceedings of the 2018 IEEE International Solid-State Circuits Conference-(ISSCC), San Francisco, CA, USA, 11–15 February 2018; pp. 124–126. [Google Scholar]
- Chen, G.K.; Kumar, R.; Sumbul, H.E.; Knag, P.C.; Krishnamurthy, R.K. A 4096-neuron 1M-synapse 3.8-pJ/SOP spiking neural network with on-chip STDP learning and sparse weights in 10-nm FinFET CMOS. IEEE J. -Solid-State Circuits 2018, 54, 992–1002. [Google Scholar] [CrossRef]
- Kim, D.; She, X.; Rahman, N.M.; Chekuri, V.C.K.; Mukhopadhyay, S. Processing-in-memory-based on-chip learning with spike-time-dependent plasticity in 65-nm cmos. IEEE Solid-State Circuits Lett. 2020, 3, 278–281. [Google Scholar] [CrossRef]







Publisher’s Note: MDPI stays neutral with regard to jurisdictional claims in published maps and institutional affiliations. |
© 2022 by the authors. Licensee MDPI, Basel, Switzerland. This article is an open access article distributed under the terms and conditions of the Creative Commons Attribution (CC BY) license (https://creativecommons.org/licenses/by/4.0/).
Share and Cite
Joseph, G.V.; Pakrashi, V. Spiking Neural Networks for Structural Health Monitoring. Sensors 2022, 22, 9245. https://doi.org/10.3390/s22239245
Joseph GV, Pakrashi V. Spiking Neural Networks for Structural Health Monitoring. Sensors. 2022; 22(23):9245. https://doi.org/10.3390/s22239245
Chicago/Turabian StyleJoseph, George Vathakkattil, and Vikram Pakrashi. 2022. "Spiking Neural Networks for Structural Health Monitoring" Sensors 22, no. 23: 9245. https://doi.org/10.3390/s22239245
APA StyleJoseph, G. V., & Pakrashi, V. (2022). Spiking Neural Networks for Structural Health Monitoring. Sensors, 22(23), 9245. https://doi.org/10.3390/s22239245

