NiTi SMA Superelastic Micro Cables: Thermomechanical Behavior and Fatigue Life under Dynamic Loadings
Abstract
1. Introduction
2. Methodology
2.1. Experimental Procedure
2.1.1. Cable Material and Geometry
2.1.2. Chemical Characterization
2.1.3. Thermal Characterization
2.1.4. Mechanical Characterization
2.2. Theoretical Procedure
3. Results and Discussion
3.1. Experimental Analysis
3.1.1. Chemical Composition
3.1.2. Transformation Temperatures
3.1.3. Isothermal Quasi-Static Superelastic Response of the Core Wire
3.1.4. Quasi-Static Superelastic Response
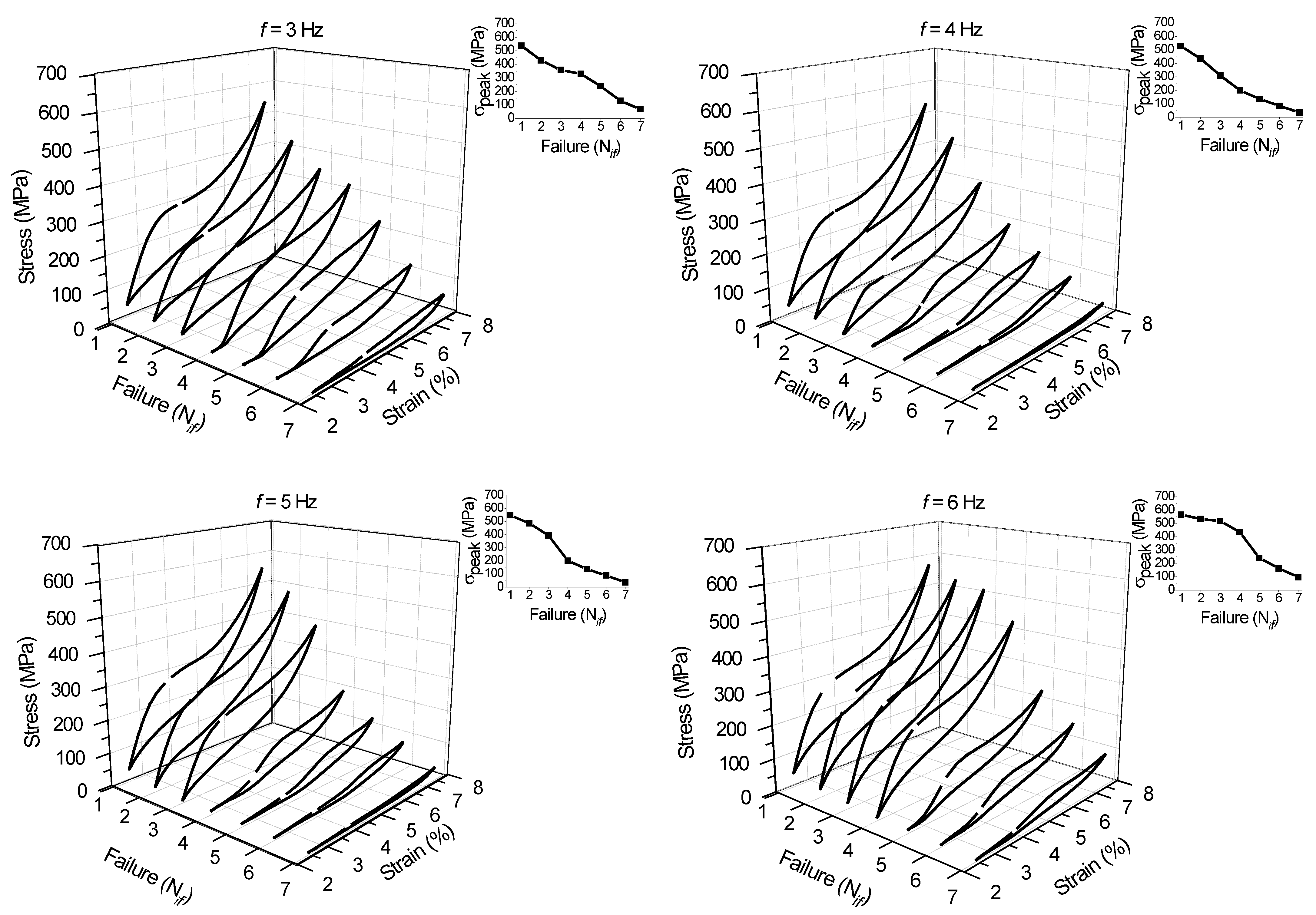
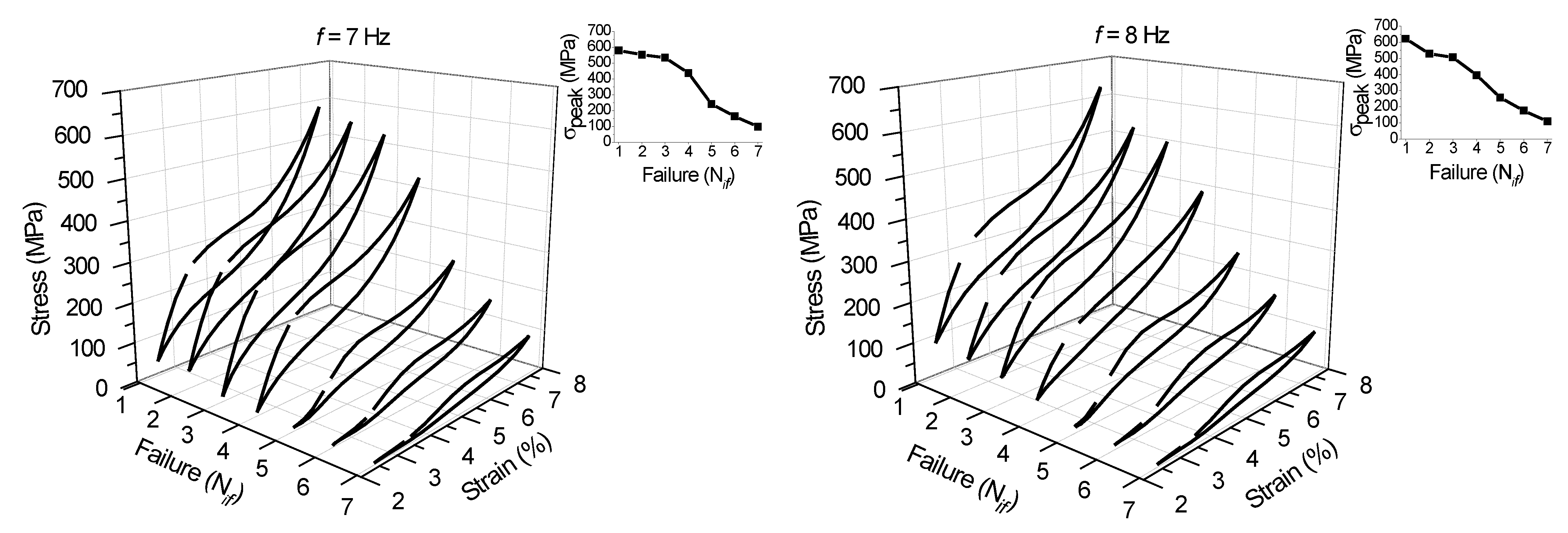
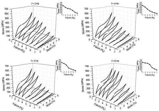
3.1.5. Superelastic Response in Dynamic Regime
3.2. Theoretical Analysis
3.2.1. Functional Properties
3.2.2. Structural and Functional Fatigue
4. Conclusions
- As expected, with an increasing number of cycles, an increase in internal temperature and a decrease in energy dissipation capacity of both micro cable and wire reference element is observed;
- The self-heating frequency, above which the SMA element experiences a significant accumulation of latent heat and can no longer sustain an isothermal cycling, was approximately 1 Hz for the micro cable, while it was 1.76 Hz for the reference wire element. The difference is mostly due to the extra heat release caused by friction in the micro cable, causing it to heat faster. Determining the self-heating frequency of SMA elements is of utmost importance when dynamic applications are in sight;
- The temperature reached after 128 cycles increased 80% (from 27 °C to 49 °C) from 0.25 Hz to 10 Hz for the micro cable, and 52% (28 °C to 43 °C) for the wire. The significantly stronger heating in the micro cable is associated with friction between the wires;
- Dissipated energy per cycle and equivalent viscous damping factor decrease much faster with cycling as the loading frequency increases. This decrease reached 49% at 10 Hz for only 128 cycles, while it was 17% at 0.25 Hz. Very little difference was observed between the micro cable and the wire;
- Due to the rapid increase in the temperature of the micro cable with increasing frequencies, which significantly stiffens the SMA due to the Clausius–Clapeyron law, the structural fatigue life (up to the failure of the first filament of the micro cable) was half the fatigue life of the wire. However, due to the cable geometry, the delayed failure compared to that of a single wire is much more beneficial for sensoring applications.
Author Contributions
Funding
Institutional Review Board Statement
Informed Consent Statement
Data Availability Statement
Acknowledgments
Conflicts of Interest
References
- Lagoudas, D.C. (Ed.) Shape Memory Alloys: Modeling and Engineering Applications; Springer: Boston, MA, USA, 2008; ISBN 9780387476858. [Google Scholar] [CrossRef]
- Duerig, T.W.; Pelton, A.R.; Bhattacharya, K. The Measurement and Interpretation of Transformation Temperatures in Nitinol. Shap. Mem. Superelasticity 2017, 3, 485–498. [Google Scholar] [CrossRef]
- Grassi, E.N.D.; Chagnon, G.; de Oliveira, H.M.R.; Favier, D. Anisotropy and Clausius-Clapeyron relation for forward and reverse stress-induced martensitic transformations in polycrystalline NiTi thin walled tubes. Mech. Mater. 2020, 146, 103392. [Google Scholar] [CrossRef]
- Kan, Q.; Yu, C.; Kang, G.; Li, J.; Yan, W. Experimental observations on rate-dependent cyclic deformation of super-elastic NiTi shape memory alloy. Mech. Mater. 2016, 97, 48–58. [Google Scholar] [CrossRef]
- Shaw, J.A.; Kyriakides, S. Thermomechanical aspects of NiTi. J. Mech. Phys. Solids 1995, 43, 1243–1281. [Google Scholar] [CrossRef]
- Nemat-Nasser, S.; Choi, J.Y.; Guo, W.G.; Isaacs, J.B. Very high strain-rate response of a NiTi shape-memory alloy. Mech. Mater. 2005, 37, 287–298. [Google Scholar] [CrossRef]
- de Souza, E.F.; da Silva, P.C.S.; Grassi, E.N.D.; de Araújo, C.J.; de Lima, A.G.B. Critical Frequency of Self-Heating in a Superelastic Ni-Ti Belleville Spring: Experimental Characterization and Numerical Simulation. Sensors 2021, 21, 7140. [Google Scholar] [CrossRef]
- Reedlunn, B.; Daly, S.; Shaw, J. Superelastic shape memory alloy cables: Part I-Isothermal tension experiments. Int. J. Solids. Struct. 2013, 50, 3009–3026. [Google Scholar] [CrossRef]
- Reedlunn, B.; Daly, S.; Shaw, J. Superelastic shape memory alloy cables: Part II-Subcomponent isothermal responses. Int. J. Solids. Struct. 2013, 50, 3027–3044. [Google Scholar] [CrossRef]
- Biggs, D.B.; Shaw, J.A. Experimental characterization of shape memory alloy actuator cables. In Behavior and Mechanics of Multifunctional Materials and Composites; SPIE: Washington, DC, USA, 2016; Volume 9800. [Google Scholar] [CrossRef]
- Mas, B.; Biggs, D.; Vieito, I.; Cladera, A.; Shaw, J.; Martínez-Abella, F. Superelastic shape memory alloy cables for reinforced concrete applications. Constr. Build. Mater. 2017, 148, 307–320. [Google Scholar] [CrossRef]
- Sherif, M.M.; Ozbulut, O.E. Tensile and superelastic fatigue characterization of NiTi shape memory cables. Smart Mater. Struct. 2018, 27, 015007. [Google Scholar] [CrossRef]
- Fang, C.; Zheng, Y.; Chen, J.; Yam, M.C.H.; Wang, W. Superelastic NiTi SMA cables: Thermal-mechanical behavior, hysteretic modelling and seismic application. Eng. Struct. 2019, 183, 533–549. [Google Scholar] [CrossRef]
- Shi, F.; Ozbulut, O.E.; Li, Z.; Wu, Z.; Ren, F.; Zhou, Y. Effects of ambient temperature on cyclic response and functional fatigue of shape memory alloy cables. J. Build. Eng. 2022, 52, 104340. [Google Scholar] [CrossRef]
- Speicher, M.; Hodgson, D.E.; DesRoches, R.; Leon, R.T. Shape Memory Alloy Tension/Compression Device for Seismic Retrofit of Buildings. J. Mater. Eng. Perform. 2009, 18, 746–753. [Google Scholar] [CrossRef]
- Duerig, T.W.; Bhattacharya, K. The Influence of the R-Phase on the Superelastic Behavior of NiTi. Shap. Mem. Superelasticity 2015, 1, 153–161. [Google Scholar] [CrossRef]
- Araújo, M.S.O.; da Silva, P.C.S.; de Araújo, C.J. Mechanical behavior and fatigue life of micro welded joints obtained by TIG spots in NiTi wires. Smart Mater. Struct. 2019, 28, 125008. [Google Scholar] [CrossRef]
- Orgéas, L.; Favier, D. Stress-induced martensitic transformation of a NiTi alloy in isothermal shear, tension and compression. Acta. Mater. 1998, 46, 5579–5591. [Google Scholar] [CrossRef]
- Miyazaki, S.; Otsuka, K. Deformation and transition behavior associated with the R-phase in Ti–Ni alloys. Metall. Mater. Trans. A 1986, 17, 53–63. [Google Scholar] [CrossRef]
- Sherif, M.M.; Ozbulut, O.E. Thermomechanical and electrical response of a superelastic NiTi shape memory alloy cable. J. Intell. Mater. Syst. Struct. 2020, 31, 2229–2242. [Google Scholar] [CrossRef]
- de Oliveira Ramos, A.D.; de Araújo, C.J.; de Oliveira, H.M.R.; Macêdo, G.A.; de Lima, A.G.B. An experimental investigation of the superelastic fatigue of NiTi SMA wires. J. Braz. Soc. Mech. Sci. Eng. 2018, 40, 206. [Google Scholar] [CrossRef]
- Araújo, M.S.O.; Grassi, E.N.D.; de Araújo, C.J. Fatigue tests of superelastic NiTi wires: An analysis using factorial design in single cantilever bending. Smart Mater. Struct. 2021, 30, 125017. [Google Scholar] [CrossRef]

























Publisher’s Note: MDPI stays neutral with regard to jurisdictional claims in published maps and institutional affiliations. |
© 2022 by the authors. Licensee MDPI, Basel, Switzerland. This article is an open access article distributed under the terms and conditions of the Creative Commons Attribution (CC BY) license (https://creativecommons.org/licenses/by/4.0/).
Share and Cite
Silva, P.C.S.; Grassi, E.N.D.; Araújo, C.J.; Delgado, J.M.P.Q.; Lima, A.G.B. NiTi SMA Superelastic Micro Cables: Thermomechanical Behavior and Fatigue Life under Dynamic Loadings. Sensors 2022, 22, 8045. https://doi.org/10.3390/s22208045
Silva PCS, Grassi END, Araújo CJ, Delgado JMPQ, Lima AGB. NiTi SMA Superelastic Micro Cables: Thermomechanical Behavior and Fatigue Life under Dynamic Loadings. Sensors. 2022; 22(20):8045. https://doi.org/10.3390/s22208045
Chicago/Turabian StyleSilva, Paulo C. S., Estephanie N. D. Grassi, Carlos J. Araújo, João M. P. Q. Delgado, and Antonio G. B. Lima. 2022. "NiTi SMA Superelastic Micro Cables: Thermomechanical Behavior and Fatigue Life under Dynamic Loadings" Sensors 22, no. 20: 8045. https://doi.org/10.3390/s22208045
APA StyleSilva, P. C. S., Grassi, E. N. D., Araújo, C. J., Delgado, J. M. P. Q., & Lima, A. G. B. (2022). NiTi SMA Superelastic Micro Cables: Thermomechanical Behavior and Fatigue Life under Dynamic Loadings. Sensors, 22(20), 8045. https://doi.org/10.3390/s22208045

